







所属成套资源:人教版(2024)数学八年级上册 同步教学课件
人教版(2024)数学八年级上册-17.2 用公式法分解因式 第2课时 (课件)
展开 这是一份初中数学人教版(2024)八年级上册(2024)17.2 用公式法分解因式示范课ppt课件,共30页。PPT课件主要包含了完全平方式,②中间项是积的2倍,完全平方公式,等号两边互换,a2-2ab+b2,分解因式,是完全平方式,·m·6,·x·2y,2y2等内容,欢迎下载使用。
1.乘法的完全平方公式:(a+b)2=a2+____+b2;(a-b)2=a2-_____+b2.2.填空:(1)(5x-__)2=_____-10xy+y2;(2)(____+____)2=4a2+12ab+9b2.
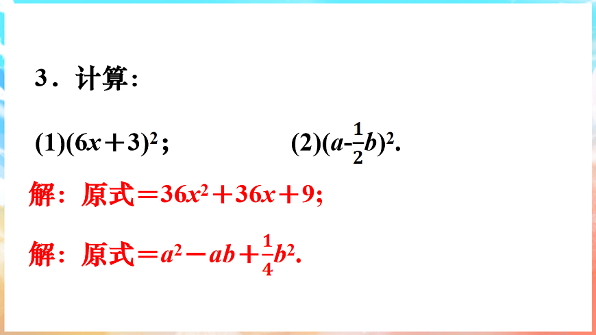
解:原式=36x2+36x+9;
这两个式子有什么特点?
a2 + 2ab + b2a2 – 2ab + b2
注意:①平方项符号相同;
(a + b)2 = a2 + 2ab + b2(a – b)2 = a2 – 2ab + b2
a2 + 2ab + b2 = (a + b)2a2 – 2ab + b2 = (a – b)2
利用完全平方公式可以将形如完全平方式的多项式分解因式.
a2+2ab+b2
(1) (a + b)2 – 12(a + b) + 36;
解:(1) (a + b)2 – 12(a + b) + 36
= (a + b)2 – 2·(a + b)·6 + 62
= (a + b – 6)2
整体思想:设 a + b = m
(2) – x2 + 4xy – 4y2.
(2) – x2 + 4xy – 4y2
= – (x2 – 4xy + 4y2)
= – [x2 – 2·x·2y + (2y)2]
– (x2 – 4xy + 4y2)
= – (x – 2y)2
①先排序,使首项系数不为负;
④检查各因式能否再分解.
运用完全平方公式分解因式,被分解的多项式必须满足三个特点:
其中有两项是平方式,且这两个平方项的符号相同;
③第三项是两个平方项幂的底数的积的±2倍.
有关完全平方公式的常见变形:
a2 + b2 的变形
a2+b2 = (a+b)2–2ab
a2+b2 = (a–b)2+2ab
(a+b)2 = (a–b)2+4ab
(a–b)2 = (a+b)2–4ab
可以看出,把乘法公式的等号两边互换,就可以得到把某些具有特殊形式的多项式分解因式的公式.
运用公式把多项式分解因式的方法叫作公式法.
(1) x2 + 4x + 4;
解:(1) x2 + 4x + 4
= x2 + 2·x·2 + 22
(2) 16x2 – 24x + 9.
(2) 16x2 – 24x + 9
= (4x)2 – 2·4x·3 + 32
= (4x – 3)2
(2)-2x3y+4x2y-2xy;(3)(a-b)2-6(b-a)+9.
解:原式=-2xy(x2-2x+1)
=-2xy(x-1)2;
解:原式=(a-b)2+6(a-b)+9
1. 下列多项式是不是完全平方式?为什么?
(1)a2 – 4a + 4
(3)4b2 + 4b – 1
(4)a2 + ab + b2
2. 分解因式:(1)a2 + 2a + 1; (2)x2 – 12x + 36;
解:(1) a2 + 2a + 1
= a2 + 2·a·1 + 12
(2) x2 – 12x + 36
= x2 – 2·x·6 + 62
(3)4x2 – 4x + 1; (4)4p2 + 12pq + 9q2;
(3) 4x2 – 4x + 1
= (2x)2 – 2·2x·1 + 12
= (2x – 1)2
(4) 4p2 + 12pq + 9q2
= (2p)2 + 2·2p·3q + (3q)2
= (2p + 3q)2
3.分解因式:(1)-m2+10mn-25n2; (2)9(x-y)2-12(x-y)+4.
解:原式=-(m2-10mn+25n2)
=-(m-5n)2;
解:原式=[3(x-y)-2]2
=(3x-3y-2)2.
1.下列各式分解因式正确的是( )A.x2+6xy+9y2=(x+3y)2B.2x2-4xy+9y2=(2x-3y)2C.2x2-8y2=2(x+4y)(x-4y)D.x(x-y)+y(y-x)=(x-y)(x+y)
2,因式分解:(1)m2-4m+4=__________;(2)(x+y)2-12(x+y)+36=__________.
3.分解因式(x-1)2-2(x-1)+1的结果是( )A.(x-1)(x-2) B.x2C.(x+1)2 D.(x-2)2
(a+1)2(a-1)2
- 1.电子资料成功下载后不支持退换,如发现资料有内容错误问题请联系客服,如若属实,我们会补偿您的损失
- 2.压缩包下载后请先用软件解压,再使用对应软件打开;软件版本较低时请及时更新
- 3.资料下载成功后可在60天以内免费重复下载
免费领取教师福利 


.png)





