搜索
      上传资料 赚现金

      2026学年新北师大版初中数学八年级下册5.2分式的运算(第4课时)习题课件(含答案)

      • 27.61 MB
      • 2026-03-02 15:54:59
      • 11
      • 0
      • 拥慌.
      加入资料篮
      立即下载
      17982290第1页
      1/25
      17982290第2页
      2/25
      17982290第3页
      3/25
      17982290第4页
      4/25
      17982290第5页
      5/25
      17982290第6页
      6/25
      17982290第7页
      7/25
      17982290第8页
      8/25
      还剩17页未读, 继续阅读

      初中数学北师大版(2024)八年级下册(2024)第五章 分式与分式方程2 分式的运算习题ppt课件

      展开

      这是一份初中数学北师大版(2024)八年级下册(2024)第五章 分式与分式方程2 分式的运算习题ppt课件,共25页。
      1.(2025河南平顶山鲁山三模)计算a+1+ 的结果是( )A.       B.       C.a-1      D.a2
      2.(2025湖北中考)计算 -x的结果是_________.
      3.计算 - 的结果是_________.
      4.(2025江苏扬州中考)计算: ÷ =___________.
          x-2    
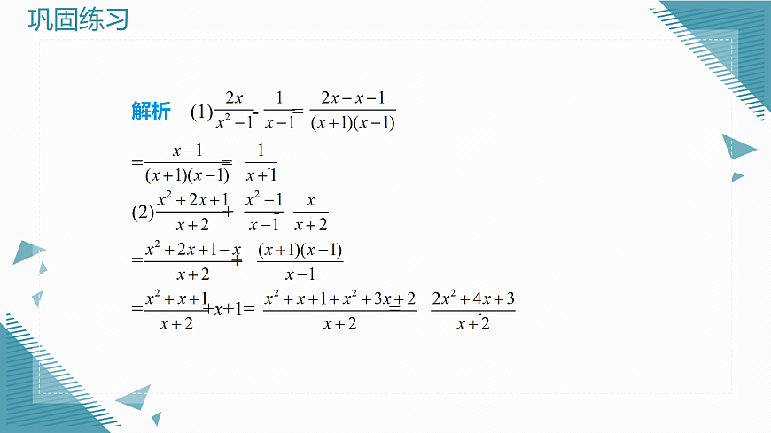
      5.(2025江苏南京玄武期中)计算:(1) - .(2) + - .
      解析    (1) - = = = .(2) + - = + = +x+1= = .
      6.化简:(1)(2025陕西中考) ÷ .(2)(2025江西中考) ÷ .
      解析    (1) ÷ = · = · =x+2.(2) ÷ = · = · = .
      7.(2025河南驻马店泌阳期末)请你阅读小明同学的解题过程, 思考并完成任务.先化简,再求值: · ,其中x=-3.解: · = ·  第一步= ·  第二步
      = ·  第三步=x+2. 第四步当x=-3时,原式=-3+2=-1.任务一:以上解题过程中,第_______步用到了约分,约分的依 据是____.任务二:请你用与小明同学不同的方法,完成化简求值.任务三:根据平时的学习经验,就分式化简时需要注意的事项 给同学们提一条建议.
      解析 任务一:四;分式的基本性质.任务二:原式= · = · - · = - = =x+2.当x=-3时,原式=-3+2=-1.任务三:答案不唯一,如去括号时不要漏乘,注意变号,结果要化 成最简分式或整式.
      8.(2024河北中考,★★☆)已知A为整式,若计算 - 的结果为 ,则A= ( )A.x      B.y      C.x+y      D.x-y
      解析 ∵ - = ,∴ = + = + = = = = = ,∴A=x.故选A.
      9.(2024黑龙江绥化中考,★★☆)化简: ÷ =_________.
      10.【学科特色·整体思想】(2025四川成都石室中学模拟,★ ★☆)已知m2+2m-3=0,则代数式 · 的值为____.
      11.(2024山东菏泽巨野期末,★★☆)已知 与 的和等于 ,则a+b=_________.
      12.(2025安徽安庆岳西月考,★★☆)化简: + + + .
      13.(2025山东烟台中考,★★☆)先化简,再求值: ÷ ,其中m=(-1)2 025.
      14.(2025江苏南京鼓楼期中,★★☆)已知P=x+2,Q= .(1)当x=1时,P-Q的值为_______.(2)当x>0时,判断P与Q的大小关系,并说明理由.(3)设y= - ,求当x为非负整数时,y的整数值.
      解析    (1)当x=1时,P=1+2=3,Q= = ,∴P-Q=3- = .故答案为 .(2)当x>0时,P≥Q.理由:∵P=x+2,Q= ,∴P-Q=x+2- = - = ,∵x>0,∴x+2>0,又∵(x-2)2≥0,
      ∴P-Q= ≥0,∴P≥Q.(3)∵P=x+2,Q= ,y= - ,∴y= - = ,∵x为非负整数,y是整数,∴当x=0时,y= =2,当x=6时,y= =0.答:当x为非负整数时,y的整数值为0或2.
      15.【新课标·应用意识】(2025江苏南京期中)在一条河里, 甲、乙两船从A港口同时同向逆流出发,分别航行1小时后立 即原路返航,若甲船在静水中的速度为v1,乙船在静水中的速 度为v2,水流速度为v0(v1>v2>v0>0),甲、乙两船是否同时返回A 港?为什么?
      解析 甲、乙两船不能同时返回A港.理由:由题意得,甲船的返航时间为t1= = ,乙船的返航时间为t2= = ,∴t1-t2= - = = ,

      资料下载及使用帮助
      版权申诉
      • 1.电子资料成功下载后不支持退换,如发现资料有内容错误问题请联系客服,如若属实,我们会补偿您的损失
      • 2.压缩包下载后请先用软件解压,再使用对应软件打开;软件版本较低时请及时更新
      • 3.资料下载成功后可在60天以内免费重复下载
      版权申诉
      若您为此资料的原创作者,认为该资料内容侵犯了您的知识产权,请扫码添加我们的相关工作人员,我们尽可能的保护您的合法权益。
      入驻教习网,可获得资源免费推广曝光,还可获得多重现金奖励,申请 精品资源制作, 工作室入驻。
      版权申诉二维码
      初中数学北师大版(2024)八年级下册(2024)电子课本 新教材

      2 分式的运算

      版本: 北师大版(2024)

      年级: 八年级下册(2024)

      切换课文
      • 同课精品
      • 所属专辑40份
      • 课件
      • 教案
      • 试卷
      • 学案
      • 更多
      欢迎来到教习网
      • 900万优选资源,让备课更轻松
      • 600万优选试题,支持自由组卷
      • 高质量可编辑,日均更新2000+
      • 百万教师选择,专业更值得信赖
      微信扫码注册
      手机号注册
      手机号码

      手机号格式错误

      手机验证码 获取验证码 获取验证码

      手机验证码已经成功发送,5分钟内有效

      设置密码

      6-20个字符,数字、字母或符号

      注册即视为同意教习网「注册协议」「隐私条款」
      QQ注册
      手机号注册
      微信注册

      注册成功

      返回
      顶部
      中考一轮 精选专题 初中月考 教师福利
      添加客服微信 获取1对1服务
      微信扫描添加客服
      Baidu
      map