







所属成套资源:2026届高三数学二轮复习课件全套(专题+详细解析)
2026届高三数学二轮复习课件:板块一 三角函数与平面向量 微专题2 三角恒等变换与解三角形(含解析)
展开 这是一份2026届高三数学二轮复习课件:板块一 三角函数与平面向量 微专题2 三角恒等变换与解三角形(含解析),共71页。PPT课件主要包含了真题体验,精准强化练,热点二求角问题,热点突破等内容,欢迎下载使用。
1.利用三角恒等式及其变换对三角函数式化简、求值是高考命题的热点,常以选择题、填空题的形式考查,难度中档偏下. 2.利用三角恒等变换研究三角函数的性质,是高考常见题型,多为中档题. 3.应用正弦定理、余弦定理解三角形是高考的必考内容,主要考查边、角、面积、周长等的计算,既有选择、填空题,也有解答题,难度为中档或偏下.
热点三 利用正、余弦定理求边或角
热点四 三角形的面积问题
1.无条件三角函数式的化简求值要从“角”“名”“形”三个角度分析,注意“1”的代换.2.条件等式的化简求值要探究、发现条件等式与待求式间的内在联系,进而求值.
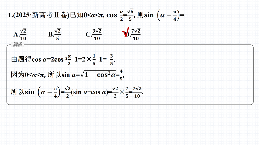
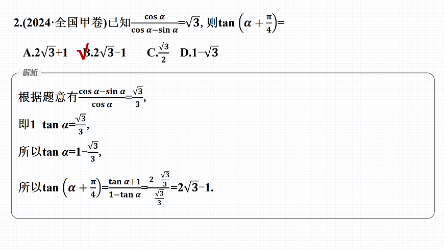
求角问题的解题策略(1)求相关角的某一个三角函数值.(2)由求得的三角函数值求角,如果根据求得的函数值无法唯一确定角的大小,应根据已知角的范围和已知角的三角函数值把所求角的大小作相对精确的估计,以排除多余的解.
法一 因为a=acs B+bcs A,所以由正弦定理可得sin A=sin Acs B+sin Bcs A,即sin A=sin(A+B)=sin C,
当题目条件中出现边和角的“混和体”时有两种方案:(1)全部统一为角,将“边的齐次式”中的边直接化为对应角的正弦;(2)全部统一为边,利用正、余弦定理将角转化为边,最后用因式分解等代数技巧化简即可.
与三角形面积有关问题的解题策略:(1)利用正弦、余弦定理解三角形,求出三角形的相关边、角之后,直接求三角形的面积;(2)把面积作为已知条件之一,与正弦、余弦定理结合求出三角形的其他量.
2.(2025·新乡模拟)在△ABC中,内角A,B,C的对边分别为a,b,c且a=7,b=3,c=5,则A.△ABC为锐角三角形B.△ABC为直角三角形C.△ABC为钝角三角形D.△ABC的形状无法确定
9.(2025·昆明诊断)△ABC的内角A,B,C所对的边分别为a,b,c,满足下列条件的三角形有两个解的是A.c=54,b=39,C=120°B.b=11,a=20,B=30°C.a=2,b=6,A=30°D.b=26,c=15,C=30°
(2)若tan A=tan B+tan C,a=2,求△ABC的面积.
相关课件
这是一份2026届高三数学二轮复习课件:专题1 三角函数与平面向量 第1讲 三角恒等变换(含解析),共29页。PPT课件主要包含了第1讲三角恒等变换,理知识,链高考等内容,欢迎下载使用。
这是一份2026届高三数学二轮复习课件:专题1 三角函数与平面向量 第3讲 解三角形(含解析),共31页。PPT课件主要包含了理知识,链高考等内容,欢迎下载使用。
这是一份2026届高三数学二轮复习课件专题1 三角函数与平面向量 第1讲 三角恒等变换,共29页。
相关课件 更多
- 1.电子资料成功下载后不支持退换,如发现资料有内容错误问题请联系客服,如若属实,我们会补偿您的损失
- 2.压缩包下载后请先用软件解压,再使用对应软件打开;软件版本较低时请及时更新
- 3.资料下载成功后可在60天以内免费重复下载
免费领取教师福利 








