搜索
      上传资料 赚现金

      2026届高三数学二轮复习课件:板块一 三角函数与平面向量 微专题4 三角中的最值、范围问题(含解析)

      • 2.31 MB
      • 2026-02-23 22:25:04
      • 4
      • 1
      加入资料篮
      立即下载
      17953443第1页
      高清全屏预览
      1/42
      17953443第2页
      高清全屏预览
      2/42
      17953443第3页
      高清全屏预览
      3/42
      17953443第4页
      高清全屏预览
      4/42
      17953443第5页
      高清全屏预览
      5/42
      17953443第6页
      高清全屏预览
      6/42
      17953443第7页
      高清全屏预览
      7/42
      17953443第8页
      高清全屏预览
      8/42
      还剩34页未读, 继续阅读

      2026届高三数学二轮复习课件:板块一 三角函数与平面向量 微专题4 三角中的最值、范围问题(含解析)

      展开

      这是一份2026届高三数学二轮复习课件:板块一 三角函数与平面向量 微专题4 三角中的最值、范围问题(含解析),共42页。PPT课件主要包含了真题体验,精准强化练,热点突破等内容,欢迎下载使用。
      以三角函数、三角形为背景的最值及范围问题是高考的热点,常用的方法主要有:函数的性质(如有界性、单调性)、基本不等式、数形结合等.
      热点一 三角函数式的最值或范围
      热点二 三角形中有关量的最值或范围
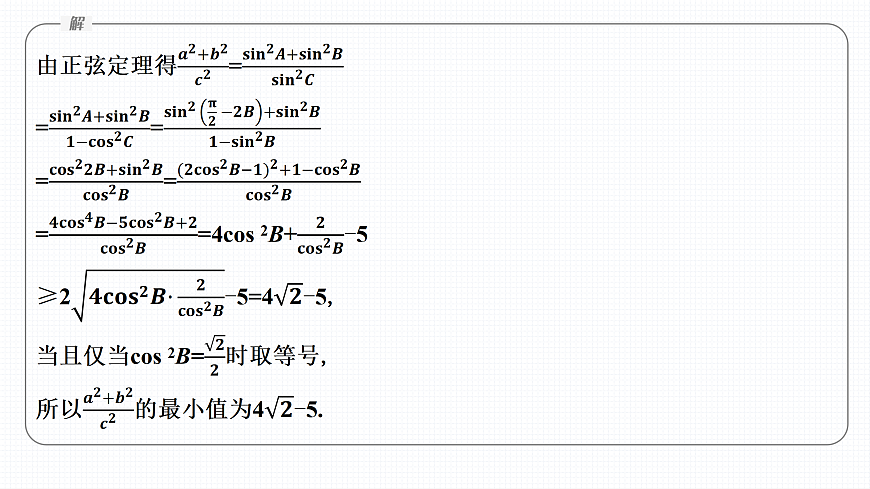
      求三角函数式的最值、范围问题要注意:(1)把三角函数式正确地化简成单一函数形式;(2)根据所给自变量的范围正确地确定ωx+φ的范围,从而根据三角函数的单调性求三角函数式的范围.
      热点二 三角形中有关量的最值或范围 考向1 三角形面积的最值或范围
      (2)若b2+3c2=12-5ac,求△ABC面积的最大值.
      考向2 与三角形周长或边长相关的最值或范围
      (2025·武汉调研)在△ABC中,内角A,B,C所对的边分别为a,b,c.若2a+bcs A-c=btan Bsin A.(1)求B;
      考向3 与三角形的角或三角函数值相关的最值或范围
      求解三角形中的最值、范围问题的注意点(1)涉及求范围的问题,一定要搞清楚变量的范围,若已知边的范围,求角的范围可以利用余弦定理进行转化.(2)注意题目中的隐含条件,如A+B+C=π,0

      相关课件

      2026届高三数学二轮复习课件:板块一 三角函数与平面向量 微专题4 三角中的最值、范围问题(含解析):

      这是一份2026届高三数学二轮复习课件:板块一 三角函数与平面向量 微专题4 三角中的最值、范围问题(含解析),共42页。PPT课件主要包含了真题体验,精准强化练,热点突破等内容,欢迎下载使用。

      2026届高三数学二轮复习课件:板块一 三角函数与平面向量 微专题6 与平面向量有关的最值、范围问题(含解析):

      这是一份2026届高三数学二轮复习课件:板块一 三角函数与平面向量 微专题6 与平面向量有关的最值、范围问题(含解析),共59页。PPT课件主要包含了真题体验,精准强化练,热点突破等内容,欢迎下载使用。

      2026届高三数学二轮复习课件:板块一 三角函数与平面向量 微专题2 三角恒等变换与解三角形(含解析):

      这是一份2026届高三数学二轮复习课件:板块一 三角函数与平面向量 微专题2 三角恒等变换与解三角形(含解析),共71页。PPT课件主要包含了真题体验,精准强化练,热点二求角问题,热点突破等内容,欢迎下载使用。

      资料下载及使用帮助
      版权申诉
      • 1.电子资料成功下载后不支持退换,如发现资料有内容错误问题请联系客服,如若属实,我们会补偿您的损失
      • 2.压缩包下载后请先用软件解压,再使用对应软件打开;软件版本较低时请及时更新
      • 3.资料下载成功后可在60天以内免费重复下载
      版权申诉
      若您为此资料的原创作者,认为该资料内容侵犯了您的知识产权,请扫码添加我们的相关工作人员,我们尽可能的保护您的合法权益。
      入驻教习网,可获得资源免费推广曝光,还可获得多重现金奖励,申请 精品资源制作, 工作室入驻。
      版权申诉二维码
      高考专区
      • 精品推荐
      • 所属专辑122份
      欢迎来到教习网
      • 900万优选资源,让备课更轻松
      • 600万优选试题,支持自由组卷
      • 高质量可编辑,日均更新2000+
      • 百万教师选择,专业更值得信赖
      微信扫码注册
      手机号注册
      手机号码

      手机号格式错误

      手机验证码 获取验证码 获取验证码

      手机验证码已经成功发送,5分钟内有效

      设置密码

      6-20个字符,数字、字母或符号

      注册即视为同意教习网「注册协议」「隐私条款」
      QQ注册
      手机号注册
      微信注册

      注册成功

      返回
      顶部
      学业水平 高考一轮 高考二轮 高考真题 精选专题 初中月考 教师福利
      添加客服微信 获取1对1服务
      微信扫描添加客服
      Baidu
      map