搜索
      上传资料 赚现金

      2026届高三数学二轮复习课件:数学思想方法 第5讲 客观题速解技巧(含解析)

      • 1.54 MB
      • 2026-02-23 22:26:15
      • 3
      • 1
      加入资料篮
      立即下载
      17953439第1页
      高清全屏预览
      1/28
      17953439第2页
      高清全屏预览
      2/28
      17953439第3页
      高清全屏预览
      3/28
      17953439第4页
      高清全屏预览
      4/28
      17953439第5页
      高清全屏预览
      5/28
      17953439第6页
      高清全屏预览
      6/28
      17953439第7页
      高清全屏预览
      7/28
      17953439第8页
      高清全屏预览
      8/28
      还剩20页未读, 继续阅读

      2026届高三数学二轮复习课件:数学思想方法 第5讲 客观题速解技巧(含解析)

      展开

      这是一份2026届高三数学二轮复习课件:数学思想方法 第5讲 客观题速解技巧(含解析),共28页。PPT课件主要包含了应用二图解法,应用三验证法,应用四估算法等内容,欢迎下载使用。
      应用一 特例(特值)法
      目 录 索 引
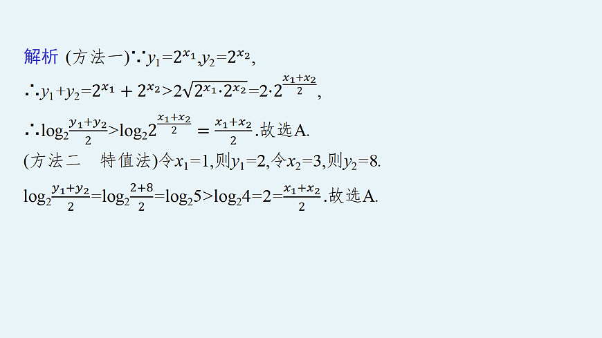
      【思想概述】 客观题在数学试卷中所占比重较大,是能否得到高分的关键.如果能根据题目特点,运用恰当的方法速解数学客观题,则既能提高正确率,还能节省时间,达到事半功倍的效果.常用的速解技巧有特例法、图解法、排除法、估算法等.
      例4 (1)(2025山西晋中三模)下列频率分布直方图中,平均数大于中位数的是(  )
      解析 对于选项A和B,由图形的对称性,易得平均数等于中位数,所以A和B错误;对于选项C,易得平均数小于中位数,所以C错误;对于选项D,易得平均数大于中位数,所以D正确.故选D.
      (2)(2025安徽三模)如图,高为h的圆锥形容器里装了一定量的水,下列容器内水的体积最接近容器容积一半的是(  )

      相关课件

      2026届高三数学二轮复习课件:数学思想方法 第5讲 客观题速解技巧(含解析):

      这是一份2026届高三数学二轮复习课件:数学思想方法 第5讲 客观题速解技巧(含解析),共28页。PPT课件主要包含了应用二图解法,应用三验证法,应用四估算法等内容,欢迎下载使用。

      2026届高三数学二轮复习课件:思想方法 第5讲 客观题解法技巧(含解析):

      这是一份2026届高三数学二轮复习课件:思想方法 第5讲 客观题解法技巧(含解析),共72页。PPT课件主要包含了题型概述,方法二特例法,方法一直接法,方法三排除法,方法四构造法,专题强化练,方法五估算法等内容,欢迎下载使用。

      2026届高三数学二轮复习课件数学思想方法 第5讲 客观题速解技巧:

      这是一份2026届高三数学二轮复习课件数学思想方法 第5讲 客观题速解技巧,共28页。

      资料下载及使用帮助
      版权申诉
      • 1.电子资料成功下载后不支持退换,如发现资料有内容错误问题请联系客服,如若属实,我们会补偿您的损失
      • 2.压缩包下载后请先用软件解压,再使用对应软件打开;软件版本较低时请及时更新
      • 3.资料下载成功后可在60天以内免费重复下载
      版权申诉
      若您为此资料的原创作者,认为该资料内容侵犯了您的知识产权,请扫码添加我们的相关工作人员,我们尽可能的保护您的合法权益。
      入驻教习网,可获得资源免费推广曝光,还可获得多重现金奖励,申请 精品资源制作, 工作室入驻。
      版权申诉二维码
      高考专区
      • 精品推荐
      • 所属专辑122份
      欢迎来到教习网
      • 900万优选资源,让备课更轻松
      • 600万优选试题,支持自由组卷
      • 高质量可编辑,日均更新2000+
      • 百万教师选择,专业更值得信赖
      微信扫码注册
      手机号注册
      手机号码

      手机号格式错误

      手机验证码 获取验证码 获取验证码

      手机验证码已经成功发送,5分钟内有效

      设置密码

      6-20个字符,数字、字母或符号

      注册即视为同意教习网「注册协议」「隐私条款」
      QQ注册
      手机号注册
      微信注册

      注册成功

      返回
      顶部
      学业水平 高考一轮 高考二轮 高考真题 精选专题 初中月考 教师福利
      添加客服微信 获取1对1服务
      微信扫描添加客服
      Baidu
      map