







所属成套资源:2026届高三数学二轮复习课件全套(专题+详细解析)
2026届高三数学二轮复习课件:专题突破 专题五 第四讲 范围与最值问题(含解析)
展开 这是一份2026届高三数学二轮复习课件:专题突破 专题五 第四讲 范围与最值问题(含解析),共94页。PPT课件主要包含了探究真题明确方向,专题强化练,考点二范围问题,考点一最值问题,规律方法,思维创新等内容,欢迎下载使用。
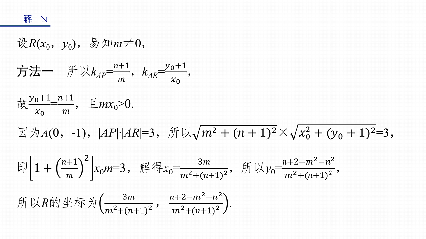
(2)已知动点P不在y轴上,点R在射线AP上,且满足|AP|·|AR|=3.(ⅰ)设P(m,n),求R的坐标(用m,n表示);
(ⅱ)设O为坐标原点,Q是C上的动点,直线OR的斜率是直线OP的斜率的3倍,求|PQ|的最大值.
命题热度:本讲是历年高考命题必考的内容,属于中高档题目,具有一定的难度,主要以解答题的形式进行考查.分值约为13~17分.
考查方向:考查重点是最值与范围问题,主要考查长度、周长、面积、角度、斜率、向量等相关的最值(范围)问题.
(2)O为坐标原点,A,B为曲线E上不同两点,经过A,B两点的直线与圆x2+y2=1相切,求△OAB面积的最大值.
圆锥曲线中的最值问题,常见的方法有(1)函数法:一般需要找出所求几何量的函数解析式,要注意自变量的取值范围.求函数的最值时,一般会用到配方法、基本不等式或者函数的单调性.(2)方程法:根据题目中的等量关系建立方程,根据方程的解的条件得出目标量的不等关系,再求出目标量的最值.(3)不变量法:在平面几何中有一些不变量的最值结果,在求最值时,可以考虑观察图形的几何特点,判断某个特殊位置满足的最值条件,然后再证明.
(2)A,B是C上两点(A,B异于点O),以AB为直径的圆过点O,Q为AB的中点,求直线OQ斜率的最大值.
(2025·海口模拟)设A,B两点的坐标分别为(-1,0),(1,0),直线AM,BM相交于点M,且它们的斜率之积为3.(1)求点M的轨迹方程C;
圆锥曲线中的范围问题的思路就是选用一个合适的变量(这个变量能够表达要解决的问题)建立目标函数或不等关系,然后求解.求解范围问题一定要牢记“先找不等式,有时需要找出两个量之间的关系,然后消去另一个量,保留要求的量”.不等式的来源可以是圆锥曲线的有界性、题目条件中某个量的范围等.
(1)由题意,动圆过定点P(2,0),当圆心不在y轴上时,设圆心T(x,y)(x≠0),弦的中点为R(0,y),连接RT(图略),则由圆的性质得|PT|2=|RT|2+22,∴(x-2)2+y2=x2+4,整理得y2=4x(x≠0).当圆心在y轴上时,易得圆心坐标为(0,0),也满足上式,∴曲线E的方程为y2=4x.
故∠BMF=∠CMF,故直线BM与直线CM关于x轴对称,即点B与点C关于x轴对称,∴线段BC垂直于x轴.
②设M为C上异于A,B的动点,求△MAB面积的最大值.
2.(2025·河南H20联盟联考)已知动圆过定点P(2,0),且在y轴上截得的弦长为4.动圆圆心的轨迹为曲线E.(1)求曲线E的方程;
(2)设过点F(1,0)的直线交曲线E于A,B两点,过点M(-1,0)的直线MA与E的另一个交点为C,点A在M与C之间.①证明:线段BC垂直于x轴;
②记△FBC的面积为S1,△MFC的面积为S2,求5S2-S1的取值范围.
(2)与x轴不重合的直线l'过点N(x0,0)(x0≠0),双曲线E上存在两点A,B关于l'对称,且AB的中点M的横坐标为x'0.①若x0=λx'0,求实数λ的值;
②若A,B为双曲线E右支上两个不同的点,l'过点C(0,4),求∠ACB的取值范围.
相关课件
这是一份2026届高三数学二轮复习课件:专题突破 专题五 第四讲 范围与最值问题(含解析),共94页。PPT课件主要包含了探究真题明确方向,专题强化练,考点二范围问题,考点一最值问题,规律方法,思维创新等内容,欢迎下载使用。
这是一份《新高考数学大二轮复习课件》专题六 第4讲 母题突破1 范围、最值问题,共35页。PPT课件主要包含了考情分析,内容索引,母题突破1,专题强化练,思路分析,跟踪演练,因为t3等内容,欢迎下载使用。
这是一份新教材2022届高考数学人教版一轮复习课件:专题突破五.2 最值与范围问题,共17页。PPT课件主要包含了课堂·题型讲解等内容,欢迎下载使用。
相关课件 更多
- 1.电子资料成功下载后不支持退换,如发现资料有内容错误问题请联系客服,如若属实,我们会补偿您的损失
- 2.压缩包下载后请先用软件解压,再使用对应软件打开;软件版本较低时请及时更新
- 3.资料下载成功后可在60天以内免费重复下载
免费领取教师福利 








