







所属成套资源:2026届高三数学二轮复习课件全套(专题+详细解析)
2026届高三数学二轮复习课件:专题突破 专题五 第五讲 定点、定值和探索性问题(含解析)
展开 这是一份2026届高三数学二轮复习课件:专题突破 专题五 第五讲 定点、定值和探索性问题(含解析),共102页。PPT课件主要包含了探究真题明确方向,考点二定值问题,专题强化练,考点三探究性问题,规律方法,思维创新等内容,欢迎下载使用。
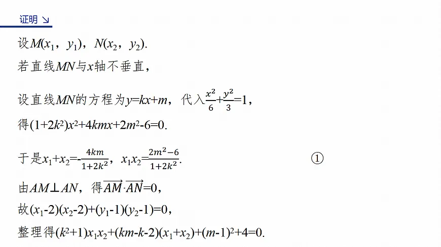
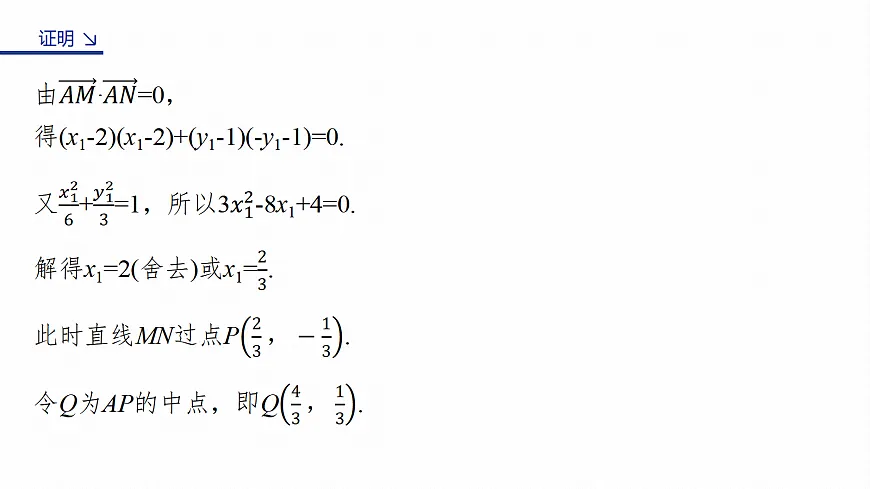
(2)点M,N在C上,且AM⊥AN,AD⊥MN,D为垂足.证明:存在定点Q,使得|DQ|为定值.
(2)记C的左、右顶点分别为A1,A2,过点(-4,0)的直线与C的左支交于M,N两点,M在第二象限,直线MA1与NA2交于点P.证明:点P在定直线上.
命题热度:本讲是历年高考命题常考的内容,属于中高档题目,主要以解答题的形式进行考查.分值约为15~17分.
考查方向:一是要熟练掌握圆锥曲线的定义与方程,这是定义法求解轨迹方程的基础;二是定值、定点的证明与探究,考查数学运算、直观想象、数学建模等核心素养.
考点一 定点(线)问题
(2025·西安模拟)已知点A(-2,0),B(2,0),P是平面内一动点,PQ⊥AB,垂足Q位于线段AB上且不与点A,B重合,4|PQ|2=3|AQ|·|QB|.(1)求动点P的轨迹C的方程;
(2)过点D(1,0)且与曲线C相交的两条线段分别为EF和MN,EF⊥MN(直线EF,MN的斜率均存在,且点E,F,M,N都在曲线C上),若G,H分别是EF和MN的中点,求证:直线GH过定点.
(2)求证:点(k,m)在定直线上.
(2)若直线l交C于P,Q两点,∠PAQ的平分线与x轴垂直,求证:l的倾斜角为定值.
圆锥曲线中定值问题的常见类型及解题策略
(2025·福州模拟)设抛物线C:y2=2px(p>0)的焦点为F,过点F的直线l1交C于A,B两点(点A在第一象限),当l1垂直于x轴时,|AB|=4.(1)求C的方程;
②是否存在以PQ为直径的圆与y轴相切?若存在,求l1,l2的方程;若不存在,请说明理由.
存在性问题通常采用“肯定顺推法”,将不确定的问题明朗化.其步骤为假设满足条件的元素(点、直线、曲线或参数)存在并设出,列出关于待定系数的方程(组),若方程(组)有实数解,则元素(点、直线、曲线或参数)存在;否则,元素(点、直线、曲线或参数)不存在.注意:当结论或条件不唯一时,要分类讨论.
(2)若过点M(1,0)的直线l与双曲线C相交于A,B两点,试问在x轴上是否存在定点N,使直线NA与直线NB关于x轴对称,若存在,求出定点N的坐标;若不存在,请说明理由.
(2)若直线AM与BM分别交直线x=10于P,Q两点,证明:直线AP和AQ的斜率之积为定值.
2.(2025·南京模拟)已知抛物线C:y2=4x的焦点为F,过点P(-1,1)的直线l与C交于A,B两点.(1)若|PF|是|AF|和|BF|的等比中项,求直线l的方程;
(2)若D是C上一点,且直线AD的斜率为2,证明:直线BD经过定点.
(3)在(2)的条件下,已知直线n与双曲线C交于点M,N(异于点D),若以MN为直径的圆经过点D,且DG⊥MN于点G,证明:存在定点H,使得|GH|为定值.
相关课件
这是一份2026届高三数学二轮复习课件:专题突破 专题五 第五讲 定点、定值和探索性问题(含解析),共102页。PPT课件主要包含了探究真题明确方向,考点二定值问题,专题强化练,考点三探究性问题,规律方法,思维创新等内容,欢迎下载使用。
这是一份2026届高三数学二轮复习课件:专题突破 专题五 第一讲 直线与圆(含解析),共102页。PPT课件主要包含了探究真题明确方向,专题强化练,考点三隐圆,思维创新等内容,欢迎下载使用。
这是一份2026届高三数学二轮复习课件:专题5 解析几何 第4讲 圆锥曲线中的定点、定值问题(含解析),共33页。PPT课件主要包含了考点一定点问题,考点二定值问题,考点三定线问题等内容,欢迎下载使用。
相关课件 更多
- 1.电子资料成功下载后不支持退换,如发现资料有内容错误问题请联系客服,如若属实,我们会补偿您的损失
- 2.压缩包下载后请先用软件解压,再使用对应软件打开;软件版本较低时请及时更新
- 3.资料下载成功后可在60天以内免费重复下载
免费领取教师福利 








