新高考数学二轮复习 第1部分 专题6 第3讲 母题突破1 范围、最值问题(含解析)课件PPT
展开1.圆锥曲线的综合问题是高考考查的重点内容,常见的热点题型有: 范围、最值问题,定点、定值问题,探索性问题等.2.以解答题的压轴题形式出现,难度较大.
KAO QING FEN XI
母题突破1 范围、最值问题
❶引入参数,设直线l的方程 ↓❷联立l和E的方程(设而不求,根与系数的关系) ↓❸等积法求出r的表达式 ↓❹函数思想求r的范围
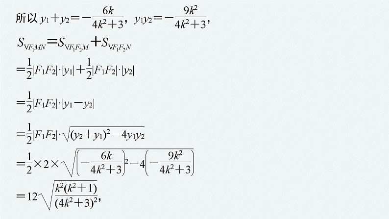
解 设M(x1,y1),N(x2,y2),则△F1MN的周长为4a=8.
当l⊥x轴时,l的方程为x=1,|MN|=3,
当l与x轴不垂直时,设l:y=k(x-1)(k≠0),
令4k2+3=t,则t>3,
解 显然直线l的斜率存在,设l:y=kx+2,A(x1,y1),B(x2,y2),
则Δ=(16k)2-4×4(3+4k2)>0,
解 设直线l的方程为x=my+3(m>0),P(x1,y1),Q(x2,y2),
(2+m2)y2+6my+3=0,
由Δ=36m2-12(2+m2)>0,可得m2>1,
所以|BM|+|BN|的取值范围是(2,6).
求解范围、最值问题的常见方法(1)利用判别式来构造不等关系.(2)利用已知参数的范围,在两个参数之间建立函数关系.(3)利用隐含或已知的不等关系建立不等式.(4)利用基本不等式.
解 显然直线x=0不满足题设条件,故可设直线l:y=kx+2,P(x1,y1),Q(x2,y2).
∵Δ=(16k)2-4×12(1+4k2)>0,
2.(2020·蚌埠模拟)直线y=kx+2交抛物线C:x2=4y于A,B两点,分别过点A,B作抛物线C的切线l1,l2,若l1,l2分别交x轴于点M,N,求四边形ABNM面积的最小值.
Δ=16k2+32>0,设A(x1,y1)B(x2,y2),则
点P到直线AB的距离为
∴四边形ABNM的面积
1.(2020·潍坊模拟)设抛物线E:x2=2py(p>0)的焦点为F,点A是E上一点,且线段AF的中点坐标为(1,1).(1)求抛物线E的标准方程;
得p2-4p+4=0,即p=2.所以抛物线E的标准方程为x2=4y.
(2)若B,C为抛物线E上的两个动点(异于点A),且BA⊥BC,求点C的横坐标的取值范围.
因为x≠x1,得(x+x1)(x1+2)+16=0,
因为Δ=(x+2)2-4(2x+16)≥0,即x2-4x-60≥0,故x≥10或x≤-6.经检验,当x=-6时,不满足题意.所以点C的横坐标的取值范围是(-∞,6)∪[10,+∞).
2.如图,在平面直角坐标系中,已知点F(1,0),过直线l:x=4左侧的动点P作PH⊥l于点H,∠HPF的角平分线交x轴于点M,且|PH|=2|MF|,记动点P的轨迹为曲线C.(1)求曲线C的方程;
解 设P(x,y),由题意可知|MF|=|PF|,
解 由题意,得直线l′的斜率k≠0,设直线l′的方程为x=my+1,
设A(x1,y1),B(x2,y2),所以Δ=(6m)2+36(3m2+4)=144(m2+1)>0恒成立,
专题六 第4讲 母题突破1 范围、最值问题--高三高考数学复习-PPT: 这是一份专题六 第4讲 母题突破1 范围、最值问题--高三高考数学复习-PPT,共54页。PPT课件主要包含了考情分析,母题突破1,最值问题,所以△MFN的面积,解得-1t1,规律方法,专题强化练,又c2=a2+b2等内容,欢迎下载使用。
新高考版高考数学二轮复习(新高考版) 第1部分 专题突破 专题6 第4讲 母题突破3 定值问题课件PPT: 这是一份新高考版高考数学二轮复习(新高考版) 第1部分 专题突破 专题6 第4讲 母题突破3 定值问题课件PPT,共39页。PPT课件主要包含了高考数学二轮复习策略,母题突破3定值问题,专题强化练等内容,欢迎下载使用。
新高考版高考数学二轮复习(新高考版) 第1部分 专题突破 专题6 第4讲 母题突破1 范围、最值问题课件PPT: 这是一份新高考版高考数学二轮复习(新高考版) 第1部分 专题突破 专题6 第4讲 母题突破1 范围、最值问题课件PPT,共40页。PPT课件主要包含了高考数学二轮复习策略,专题强化练等内容,欢迎下载使用。

