搜索
      上传资料 赚现金

      四川省成都石室中学2026届高三上学期一诊模拟考试数学试卷含解析(word版)

      • 1.63 MB
      • 2025-12-20 20:47:02
      • 73
      • 0
      • 溯舟
      加入资料篮
      立即下载
      查看完整配套(共3份)
      包含资料(3份) 收起列表
      答案
      成都石室中学2025-2026学年度上期高2026届一诊模拟考试数学答案.pdf
      预览
      答案
      成都石室中学2025-2026学年度上期高2026届一诊模拟考试数学答案.docx
      预览
      试卷
      成都石室中学2025-2026学年度上期高2026届一诊模拟考试数学.docx
      预览
      正在预览:成都石室中学2025-2026学年度上期高2026届一诊模拟考试数学答案.pdf
      成都石室中学2025-2026学年度上期高2026届一诊模拟考试数学答案第1页
      高清全屏预览
      1/13
      成都石室中学2025-2026学年度上期高2026届一诊模拟考试数学答案第2页
      高清全屏预览
      2/13
      成都石室中学2025-2026学年度上期高2026届一诊模拟考试数学答案第3页
      高清全屏预览
      3/13
      成都石室中学2025-2026学年度上期高2026届一诊模拟考试数学答案第1页
      高清全屏预览
      1/13
      成都石室中学2025-2026学年度上期高2026届一诊模拟考试数学答案第2页
      高清全屏预览
      2/13
      成都石室中学2025-2026学年度上期高2026届一诊模拟考试数学答案第3页
      高清全屏预览
      3/13
      成都石室中学2025-2026学年度上期高2026届一诊模拟考试数学第1页
      高清全屏预览
      1/4
      成都石室中学2025-2026学年度上期高2026届一诊模拟考试数学第2页
      高清全屏预览
      2/4
      还剩10页未读, 继续阅读

      四川省成都石室中学2026届高三上学期一诊模拟考试数学试卷含解析(word版)

      展开

      这是一份四川省成都石室中学2026届高三上学期一诊模拟考试数学试卷含解析(word版),共5页。试卷主要包含了选择题,填空题,解答题等内容,欢迎下载使用。
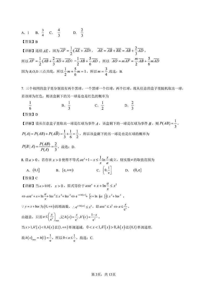
      1. 已知集合 A=x∣x2−x−212025 ,即 −13n>42025 .
      ∵−134=181>42025,−1350 的右顶点为 5,0 ,离心率为 45 ,左、右焦点分别为 F1、F2,P 为椭圆 C 上不同于左、右顶点的任意一点
      (1)求椭圆 C 的方程;
      (2) 求 PF1⋅PF2 的取值范围.
      【详解】(1) 依题意 a=5e=ca=45 ,所以 a=5c=4 ,则 b=a2−c2=3 , 3 分
      所以椭圆 C 的方程为 x225+y29=1 . 5 分
      (2) 设 Px0,y0, −5

      相关试卷 更多

      资料下载及使用帮助
      版权申诉
      • 1.电子资料成功下载后不支持退换,如发现资料有内容错误问题请联系客服,如若属实,我们会补偿您的损失
      • 2.压缩包下载后请先用软件解压,再使用对应软件打开;软件版本较低时请及时更新
      • 3.资料下载成功后可在60天以内免费重复下载
      版权申诉
      若您为此资料的原创作者,认为该资料内容侵犯了您的知识产权,请扫码添加我们的相关工作人员,我们尽可能的保护您的合法权益。
      入驻教习网,可获得资源免费推广曝光,还可获得多重现金奖励,申请 精品资源制作, 工作室入驻。
      版权申诉二维码
      欢迎来到教习网
      • 900万优选资源,让备课更轻松
      • 600万优选试题,支持自由组卷
      • 高质量可编辑,日均更新2000+
      • 百万教师选择,专业更值得信赖
      微信扫码注册
      手机号注册
      手机号码

      手机号格式错误

      手机验证码 获取验证码 获取验证码

      手机验证码已经成功发送,5分钟内有效

      设置密码

      6-20个字符,数字、字母或符号

      注册即视为同意教习网「注册协议」「隐私条款」
      QQ注册
      手机号注册
      微信注册

      注册成功

      返回
      顶部
      学业水平 高考一轮 高考二轮 高考真题 精选专题 初中月考 教师福利
      添加客服微信 获取1对1服务
      微信扫描添加客服
      Baidu
      map