搜索
      上传资料 赚现金

      人教版高二数学(上)选择性必修第一册1.3.2空间向量运算的坐标表示【课件】

      • 209.6 KB
      • 2026-01-20 07:54:23
      • 19
      • 0
      • 教习网用户5463947
      加入资料篮
      立即下载
      17318666第1页
      高清全屏预览
      1/13
      17318666第2页
      高清全屏预览
      2/13
      17318666第3页
      高清全屏预览
      3/13
      17318666第4页
      高清全屏预览
      4/13
      17318666第5页
      高清全屏预览
      5/13
      17318666第6页
      高清全屏预览
      6/13
      还剩7页未读, 继续阅读

      高中空间向量教课内容课件ppt

      展开

      这是一份高中空间向量教课内容课件ppt,共13页。
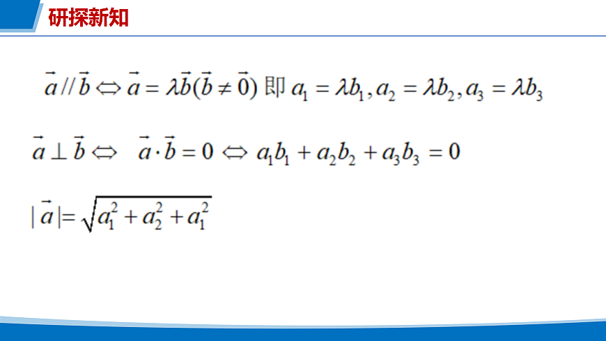
      普通高中教科书数学必修第二册情景引入情景引入情景引入思考:你能由平面向量的坐标运算类比得到空间向量的坐标运算吗?它们是否成立?为什么?研探新知研探新知研探新知例题与练习例题与练习例题与练习例题与练习课堂小结1.知识(1)空间向量的坐标运算;(2)利用空间向量运算坐标表示解决简单的立体几何问题.2.方法(1)类比;(2)数形结合.课后作业课本21页 1-5题

      相关课件 更多

      资料下载及使用帮助
      版权申诉
      • 1.电子资料成功下载后不支持退换,如发现资料有内容错误问题请联系客服,如若属实,我们会补偿您的损失
      • 2.压缩包下载后请先用软件解压,再使用对应软件打开;软件版本较低时请及时更新
      • 3.资料下载成功后可在60天以内免费重复下载
      版权申诉
      若您为此资料的原创作者,认为该资料内容侵犯了您的知识产权,请扫码添加我们的相关工作人员,我们尽可能的保护您的合法权益。
      入驻教习网,可获得资源免费推广曝光,还可获得多重现金奖励,申请 精品资源制作, 工作室入驻。
      版权申诉二维码
      高中数学人教版第二册下B电子课本

      空间向量

      版本: 人教版

      年级: 第二册下B

      切换课文
      • 课件
      • 教案
      • 试卷
      • 学案
      • 更多
      欢迎来到教习网
      • 900万优选资源,让备课更轻松
      • 600万优选试题,支持自由组卷
      • 高质量可编辑,日均更新2000+
      • 百万教师选择,专业更值得信赖
      微信扫码注册
      手机号注册
      手机号码

      手机号格式错误

      手机验证码 获取验证码 获取验证码

      手机验证码已经成功发送,5分钟内有效

      设置密码

      6-20个字符,数字、字母或符号

      注册即视为同意教习网「注册协议」「隐私条款」
      QQ注册
      手机号注册
      微信注册

      注册成功

      返回
      顶部
      学业水平 高考一轮 高考二轮 高考真题 精选专题 初中月考 教师福利
      添加客服微信 获取1对1服务
      微信扫描添加客服
      Baidu
      map