初中数学湘教版(2024)七年级上册(2024)一元一次方程的解法多媒体教学ppt课件
展开
这是一份初中数学湘教版(2024)七年级上册(2024)一元一次方程的解法多媒体教学ppt课件,共26页。PPT课件主要包含了学习目标,课堂导入,还有其他解法吗,-4x17,有其他方法,即要解方程,去分母得,去括号得,合并同类项得,x32等内容,欢迎下载使用。
1.掌握解一元一次方程的基本步骤中应注意的问题,能正确、熟练、灵活地解一元一次方程.2.能利用一元一次方程解决相关问题.
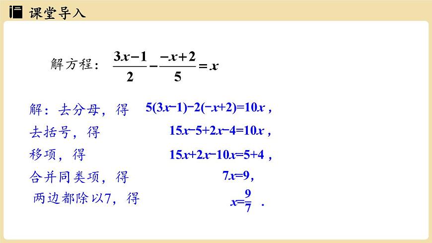
解:去分母,得 去括号,得 移项,得合并同类项,得 两边都除以7,得
5(3x-1)-2(-x+2)=10x ,
15x-5+2x-4=10x ,
15x+2x-10x=5+4 ,
例1 解方程: 0.2(x-2)-0.1(3x+4)=0.3(x+3).
解 :去括号,得 移项,得 合并同类项,得 两边都除以 -0.4,得
0.2x-0.4-0.3x-0.4=0.3x+0.9 ,
0.2x-0.3x-0.3x=0.4+0.4+0.9 ,
-0.4x=1.7 ,
知识点 解一元一次方程
解方程: 0.2(x-2)-0.1(3x+4)=0.3(x+3).
解 :两边同乘以10,得 去括号,得 移项,得 合并同类项,得 两边都除以-4,得
2(x-2)-(3x+4)=3(x+3) ,
2x-4-3x-4=3x+9 ,
2x-3x-3x=9+4+4 ,
解:由题意可知,要解方程:
4(x-10)=3x-8 ,
4x-40=3x-8 ,
结合上述例题,总结解一元一次方程的基本步骤.
解一元一次方程的基本步骤:
ax=b(a,b是常数,a≠0)
解:(1)去分母,得 去括号,得 移项,得
10x-3(3x-1)=6.
10x-9x+3=6.
【课本P109 练习 第1题】
2(2x+1) +7 (x-1)=28.
4x+2+7x-7=28.
(2) 去分母,得 去括号,得 移项,得 合并同类项,得 两边都除以11,得
4x+7x=28-2+7.
4(2x-1)-3(5x+1) =24.
8x-4-15x-3 =24.
8x-15x =24+4+3.
15x-5+2x-4=10x.
(4) 去分母,得 去括号,得 移项,得 合并同类项,得 两边都除以7,得
5(3x-1)-2(-x+2)=10x.
15x+2x-10x=4+5.
2(2x-3)+10=5(3x-1).
4x-6+10=15x-5.
15x-4x=5+10-6.
【课本P109 练习 第2题】
相关课件
这是一份湘教版(2024)七年级上册(2024)一元一次方程的解法习题ppt课件,共24页。
这是一份湘教版(2024)七年级上册(2024)一元一次方程的解法图片ppt课件,共15页。PPT课件主要包含了解去分母得,去括号得,移项得,合并同类项得,两边都除以5得,x-2x-7-3,x-10,x-5,3x3等内容,欢迎下载使用。
这是一份湘教版(2024)七年级上册(2024)一元一次方程的解法课文配套ppt课件,共26页。PPT课件主要包含了学习目标,解去分母得,去括号得,移项得,合并同类项得,两边都除以5得,课堂导入,x-10,x-5,做一做等内容,欢迎下载使用。
相关课件 更多
- 1.电子资料成功下载后不支持退换,如发现资料有内容错误问题请联系客服,如若属实,我们会补偿您的损失
- 2.压缩包下载后请先用软件解压,再使用对应软件打开;软件版本较低时请及时更新
- 3.资料下载成功后可在60天以内免费重复下载
免费领取教师福利

