搜索
      上传资料 赚现金

      上海市上海中学2024~2025学年高一下册4月期中测试数学试题(B卷)【附解析】

      • 1.27 MB
      • 2025-06-17 23:03:31
      • 66
      • 0
      • 柏宇
      加入资料篮
      立即下载
      查看完整配套(共2份)
      包含资料(2份) 收起列表
      解析
      上海市上海中学2024-2025学年高一下学期4月期中测试数学试题(B卷)(解析).docx
      预览
      原卷
      上海市上海中学2024-2025学年高一下学期4月期中测试数学试题(B卷).docx
      预览
      正在预览:上海市上海中学2024-2025学年高一下学期4月期中测试数学试题(B卷)(解析).docx
      上海市上海中学2024-2025学年高一下学期4月期中测试数学试题(B卷)(解析)第1页
      高清全屏预览
      1/19
      上海市上海中学2024-2025学年高一下学期4月期中测试数学试题(B卷)(解析)第2页
      高清全屏预览
      2/19
      上海市上海中学2024-2025学年高一下学期4月期中测试数学试题(B卷)(解析)第3页
      高清全屏预览
      3/19
      上海市上海中学2024-2025学年高一下学期4月期中测试数学试题(B卷)第1页
      高清全屏预览
      1/4
      上海市上海中学2024-2025学年高一下学期4月期中测试数学试题(B卷)第2页
      高清全屏预览
      2/4
      还剩16页未读, 继续阅读

      上海市上海中学2024~2025学年高一下册4月期中测试数学试题(B卷)【附解析】

      展开

      这是一份上海市上海中学2024~2025学年高一下册4月期中测试数学试题(B卷)【附解析】,文件包含上海市上海中学2024-2025学年高一下学期4月期中测试数学试题B卷解析docx、上海市上海中学2024-2025学年高一下学期4月期中测试数学试题B卷docx等2份试卷配套教学资源,其中试卷共23页, 欢迎下载使用。
      考生注意:
      1.带2B铅笔、黑色签字笔、科学计算器、考试中途不得传借文具.
      2.本试卷共4页,21道试题,满分150分,考试时间120分钟
      3.请将答案正确填写在答题纸上,作答在原卷上不予评分
      一.填空题(12题共54分,1~6题每题4分,7~12题每题5分)
      1. 1小时内秒针转过了______.(用弧度制表示)
      【答案】
      【解析】
      【分析】利用任意角的定义结合弧度制的性质求解即可.
      【详解】因为1小时内分针转过了,所以1小时内秒针转过了.
      故答案为:
      2. 已知,则___________
      【答案】##
      【解析】
      【分析】由,根据二倍角公式即可求解.
      【详解】由,所以

      故答案为:.
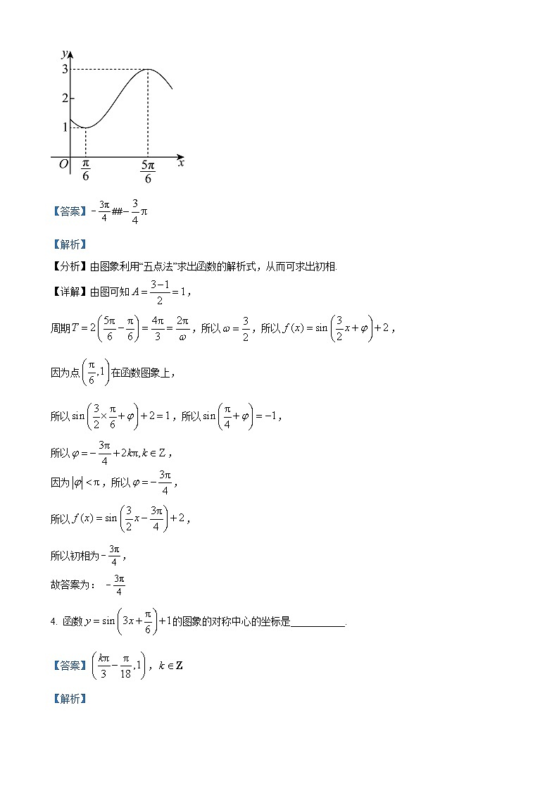
      3. 函数的图象的一部分如图所示,则的初相为______.
      【答案】##
      【解析】
      【分析】由图象利用“五点法”求出函数的解析式,从而可求出初相.
      【详解】由图可知,
      周期,所以,所以,
      因为点在函数图象上,
      所以,所以,
      所以,
      因为,所以,
      所以,
      所以初相为,
      故答案为:
      4. 函数的图象的对称中心的坐标是___________.
      【答案】,
      【解析】
      【分析】方法一:根据正弦函数的性质,利用图象变换方法;方法二:根据正弦函数的性质,利用整体代入方法求解.
      【详解】方法一:图象变换法:
      函数的对称中心是形如的点,其中为整数.
      变换后的函数分析:函数是由原函数经过横向压缩3倍、
      向左平移个单位,再向上平移1个单位得到的.
      对称中心的变换:
      横向压缩3倍后,原对称中心的横坐标变为
      向左平移个单位后,横坐标变为 .
      向上平移1个单位后,纵坐标变为1.
      函数 的图像的对称中心的坐标为:,.
      方法二:利用正弦函数的性质直接求解法:
      求解对称中心:对称中心横坐标满足方程 ,解得 ,纵坐标恒为1.
      最终,函数 的图象的对称中心的坐标为::,.
      故答案为:,.
      5. 已知函数,其中,若在区间上恰有2个零点,则的取值范围是_____.
      【答案】
      【解析】
      【分析】求出的范围,利用正弦函数图像的性质计算即可;
      【详解】函数,其中,在区间上恰有2个零点,
      ,.求得,则的取值范围为.
      故答案为:.
      6. 已知函数在区间上是严格增函数,则的取值范围是________.
      【答案】
      【解析】
      【分析】问题化为在上单调递增,且,结合正弦函数的图象及相关性质列不等式求参数范围.
      【详解】由,则,
      由题意在上单调递增,且,
      所以,则,故,
      综上,,则,故.
      故答案为:
      7. 已知函数,,若函数在区间内单调递增,且函数的图像关于直线对称,则的值为________.
      【答案】
      【解析】
      【详解】由在区间内单调递增,且的图像关于直线对称,可得 ,且,所以
      考点:本题主要考查三角函数的性质.
      8. 已知函数,若满足(a、b、c互不相等),则的取值范围是_______.
      【答案】
      【解析】
      【分析】根据对称性求得,结合对数函数的性质求得正确答案.
      【详解】不妨设,画出的图象如下图所示,
      ,所以.
      令,解得,
      所以,所以.
      故答案为:
      9. 设函数()的图象与直线相交的连续的三个公共点从左到右依次记为,,,若,则正实数的值为______.
      【答案】##0.5
      【解析】
      【分析】作出正弦型三角函数的图象,利用其对称性和周期性求出点横坐标,再代入计算即可.
      【详解】作出函数,的大致图象,如图,令,,
      解得,,
      则函数的图象与直线连续的三个公共点,,,(可以同时往左或往右移动正整数倍周期长度)
      即,关于直线,对称,,
      由于,故,
      而,关于直线,对称,
      故点横坐标为,
      将点横坐标代入,得.
      故答案为:.
      10. 定义:余割.已知为正实数,且对任意实数,均成立,则的取值范围为________.
      【答案】
      【解析】
      【分析】由三角函数新定义,将已知不等式等价转化成,利用同角的三角函数基本关系式化简右式,借助于基本不等式即可求得其最值即可.
      【详解】由已知可得,
      即,
      因为,所以,
      则,
      因,当且仅当时等号成立,
      此时,故.
      故答案为:.
      11. 已知,顺次连接函数与的任意三个相邻的交点都构成一个等腰直角三角形,则________.
      【答案】##
      【解析】
      【分析】根据题意作图,通过图象可知,等腰直角三角形的斜边的长度为三角函数的一个周期,利用等腰直角三角形的性质求出边长,再由三角函数的周期公式求得的值.
      【详解】
      如图所示(根据对称性,其它情况与此本质相同),
      在函数与的交点中,,
      令,又,所以,
      因为三个相邻的交点构成一个等腰直角三角形,
      故等腰直角三角形斜边上的高为,即,
      所以,则.
      故答案为:.
      12. 设集合有______个真子集.
      【答案】##
      【解析】
      【分析】依题意由表达式中角的特征可知当时,的取值各不相同,当时,利用诱导公式以及集合元素的互异性即可求得集合的元素个数为1013,继而得到真子集个数.
      【详解】由题意,当时,,此时,,
      因是奇数,是偶数,且中的任意两组角都不关于对称,所以的取值各不相同,
      因此当时,集合中的取值会随着的增大而增大,所以当时,集合中共有个元素;
      当时,易知
      又因,故,
      即时的取值与时的取值相同,
      根据集合元素的互异性可知,时,并没有增加集合中的元素个数,
      当,易得:

      可得当时,集合中的元素个数只增加了一个0,
      故可得集合的元素个数为1013个,故集合的真子集有个.
      故答案为:.
      二.选择题(4题共18分,13~14每题4分,15~16每题5分)
      13. 函数的最大值为( )
      A. 1B. C. 2D. 3
      【答案】A
      【解析】
      【分析】运用拆角变换,逆用差角的正弦公式,化简函数式,即可求得其最值.
      【详解】因


      ,故其最大值为1.
      故选:A.
      14. 已知函数,则函数的部分图象可以为( )
      A. B. C. D.
      【答案】A
      【解析】
      【分析】由奇偶性可排除BD,再取特殊值可判断AC,从而得解
      【详解】因为的定义域为,且

      所以奇函数,
      故BD错误;
      当时,令,易得,
      解得,
      故易知的图象在轴右侧的第一个交点为,
      又,故C错误,A正确;
      故选:A
      15. 在△ABC中,三个角A、B、C所对的边分别为a、b、c,下列四个条件中有几个是△ABC为直角三角形的充分条件( )
      ①;
      ②;
      ③;
      ④.
      A. 1B. 2C. 3D. 4
      【答案】B
      【解析】
      【分析】分别对各选项化简,分析是否能得出△ABC为直角三角形即可.
      【详解】①由正弦定理,,则,即,
      故或,即或,
      故不能推出△ABC为直角三角形,故①错误;
      ②,则,
      即,故.
      因为,故或,
      即(舍)或,则不能推出△ABC为直角三角形,故②错误;
      ③,则,
      即,
      故,
      即,
      即,故.
      因为,故,即,则△ABC为直角三角形,故③正确;
      ④,则,
      即,
      故,
      故,
      即,故.
      因为,故,即,则△ABC为直角三角形,故④正确.
      综上有③④是△ABC为直角三角形的充分条件.
      故选:B
      16. 已知函数,给出下列结论:
      ①是周期函数; ②在区间上是增函数;
      ③若,则; ④函数在区间上有且仅有1个零点.
      则上述结论中正确的序号为( )
      A. ①B. ①③C. ①②③D. ②③④
      【答案】B
      【解析】
      【分析】先求出解析式,再对①②③④一一验证:对于①:利用周期的定义验证;对于②:取特殊数值排除;对于③:利用三角函数的有界性进行计算,即可判断;对于④:可以求出零点,进行判断.
      【详解】函数,
      对于①:由所以函数的最小正周期为,故①正确;
      对于②:由于,,,,
      故函数在上不是单调增函数,故②错误;
      对于③:函数的最大值为1,若,
      则,
      所以,,,
      故;故③正确;
      对于④:当时,,
      由于,即,解得或,
      所以函数有两个零点,故④错误.
      故选:B.
      三.解答题(共78分,17~19每题14分,20~21每题18分)
      17. 记的内角所对的边分别为,且.
      (1)求;
      (2)若,求外接圆面积的最小值.
      【答案】(1)
      (2)
      【解析】
      【分析】(1)利用正弦定理化边为角,运用和角公式化简求得,即得;
      (2)由余弦定理,结合基本不等式和条件可得,再由正弦定理求得外接圆半径的最小值即可.
      【小问1详解】
      由整理得:,
      由正弦定理,可得
      即,
      因为,所以,即,
      又因为,所以.
      【小问2详解】
      由正弦定理,外接圆的半径,
      要使外接圆的半径最小,只需最小,
      由余弦定理,,
      当且仅当时取等号,此时,则.
      故外接圆面积最小值为.
      18. 幂函数的图像关于y轴对称,且在区间上是严格增函数.
      (1)求f(x)的表达式;
      (2)对任意实数,不等式恒成立,求实数t的取值范围.
      【答案】(1)
      (2)
      【解析】
      【分析】(1)由幂函数的单调性及得m的可能值,再验证奇偶性,得的解析式;
      (2)将条件转化为在上恒成立,求在上的最大值即可.
      【小问1详解】
      因为幂函数为偶函数,在区间上是严格增函数,
      则在区间上单调递减,所以,解得,
      又因为,所以或2,
      当或2时,不是偶函数,舍去;
      当时,是偶函数,合题意,所以.
      【小问2详解】
      对任意实数,不等式恒成立,
      即在上恒成立,
      设,,
      因为在上单调递减,所以,
      所以,即.
      19. 如图,游客从某旅游景区的景点处下上至处有两种路径.一种是从沿直线步行到,另一种是先从沿索道乘缆车到,然后从沿直线步行到.现有甲、乙两位游客从处下山,甲沿匀速步行,速度为.在甲出发后,乙从乘缆车到,在处停留后,再从匀速步行到,假设缆车匀速直线运动的速度为,山路长为1260,经测量,.
      (1)求索道的长;
      (2)问:乙出发多少后,乙在缆车上与甲的距离最短?
      (3)为使两位游客在处互相等待的时间不超过,乙步行的速度应控制在什么范围内?
      【答案】(1)m (2)(3)(单位:m/min)
      【解析】
      【详解】(1)在中,因为,,
      所以,,
      从而.
      由正弦定理,得().
      (2)假设乙出发后,甲、乙两游客距离为,此时,甲行走了,乙距离处,
      所以由余弦定理得,
      由于,即,
      故当时,甲、乙两游客距离最短.
      (3)由正弦定理,
      得().
      乙从出发时,甲已走了(),还需走710才能到达.
      设乙步行的速度为,由题意得,解得,
      所以为使两位游客在处互相等待的时间不超过,乙步行的速度应控制在(单位:)范围内.
      考点:正弦、余弦定理在实际问题中的应用.
      【方法点睛】本题主要考查了正弦、余弦定理在实际问题中的应用,考查了考生分析问题和利用所学知识解决问题的能力,属于中档题.解答应用问题,首先要读懂题意,设出变量建立题目中的各个量与变量的关系,建立函数关系和不等关系求解.本题解得时,利用正余弦定理建立各边长的关系,通过二次函数和解不等式求解,充分体现了数学在实际问题中的应用.
      20. 已知函数
      (1)求函数的最小正周期
      (2)当时,求函数的最大值和最小值
      (3)已知函数,若对任意的,当时,恒成立,求实数的取值范围
      【答案】(1)
      (2)最大值为,最小值为
      (3)
      【解析】
      分析】(1)先由降幂公式,倍角公式,辅助角公式化简,再代入周期公式求解即可;
      (2)由已知结合的范围,利用正弦函数的性质求解即可;
      (3)由已知不等式结合辅助角公式进行化简可得,然后结合正弦函数的单调性求解即可.
      【小问1详解】

      则最小正周期为.
      【小问2详解】

      则函数的最大值为,最小值为.
      【小问3详解】

      因为,

      因为对任意的,当时,恒成立,
      则对任意的,当时,恒成立,

      不妨设,则问题转化成在上单调递减,
      所以,其中,解得,
      所以的取值范围为.
      21. 已知函数的定义域为且满足:对任意的,有恒成立,则称为“”函数.
      (1)分别判断和是否为“”函数
      (2)若函数是“”函数,求的取值范围
      (3)若为上的“”函数,且是以4为周期的周期函数,证明:对任意的,都有:.
      【答案】(1)不是,是
      (2)
      (3)证明见解析
      【解析】
      【分析】(1)利用函数的定义证明即可.
      (2)利用函数的定义建立不等式,求解参数范围即可.
      (3)由题意得到是以为周期的周期函数,不妨设,按分类讨论,并结合“”函数的定义和函数周期性的性质证明结论即可.
      【小问1详解】
      对于,
      由正切函数性质得的定义域不为,则不为“”函数,
      对于,,
      由和差化积公式得,
      两侧同时取绝对值得,
      由余弦函数性质得,
      则,
      如图,我们设,则,圆为单位圆,
      由圆心角性质得,则扇形的弧长为,
      由扇形面积公式得扇形面积公式为,
      由三角形面积公式得,
      由图象得三角形面积一定小于等于扇形面积,
      故,即,故对于恒成立,
      当时,显然成立,
      当时,,且是奇函数,
      得到,而当时,有,
      则,故,
      两侧同时取绝对值得,则,
      故对于恒成立,
      综上可得对于恒成立,
      故,
      即,则是“”函数.
      【小问2详解】
      若函数是“”函数,则,
      即,故,
      因为,所以,得到,
      解得,即的取值范围为.
      【小问3详解】
      由题意得是以为周期的周期函数,不妨设,
      当时,而函数为上的“”函数,
      则,
      当时,不妨设,且,
      由题意得是以为周期的周期函数,得,
      又因为函数为上的“”函数,
      所以

      则对任意的,均有,
      由于是以为周期的周期函数,则对任意,
      存在,使得,
      从而,
      故对任意的,均有.

      相关试卷

      上海市上海中学2024~2025学年高一下册4月期中测试数学试题(B卷)【附解析】:

      这是一份上海市上海中学2024~2025学年高一下册4月期中测试数学试题(B卷)【附解析】,文件包含上海市上海中学2024-2025学年高一下学期4月期中测试数学试题B卷解析docx、上海市上海中学2024-2025学年高一下学期4月期中测试数学试题B卷docx等2份试卷配套教学资源,其中试卷共23页, 欢迎下载使用。

      上海市上海中学2024-2025学年高一下学期4月期中测试数学试题(B卷)(原卷版+解析版):

      这是一份上海市上海中学2024-2025学年高一下学期4月期中测试数学试题(B卷)(原卷版+解析版),共23页。

      上海市上海中学2024-2025学年高一下学期3月月考 数学试题(B卷)(含解析):

      这是一份上海市上海中学2024-2025学年高一下学期3月月考 数学试题(B卷)(含解析),共18页。试卷主要包含了 化简,96, 命题等内容,欢迎下载使用。

      资料下载及使用帮助
      版权申诉
      • 1.电子资料成功下载后不支持退换,如发现资料有内容错误问题请联系客服,如若属实,我们会补偿您的损失
      • 2.压缩包下载后请先用软件解压,再使用对应软件打开;软件版本较低时请及时更新
      • 3.资料下载成功后可在60天以内免费重复下载
      版权申诉
      若您为此资料的原创作者,认为该资料内容侵犯了您的知识产权,请扫码添加我们的相关工作人员,我们尽可能的保护您的合法权益。
      入驻教习网,可获得资源免费推广曝光,还可获得多重现金奖励,申请 精品资源制作, 工作室入驻。
      版权申诉二维码
      欢迎来到教习网
      • 900万优选资源,让备课更轻松
      • 600万优选试题,支持自由组卷
      • 高质量可编辑,日均更新2000+
      • 百万教师选择,专业更值得信赖
      微信扫码注册
      手机号注册
      手机号码

      手机号格式错误

      手机验证码 获取验证码 获取验证码

      手机验证码已经成功发送,5分钟内有效

      设置密码

      6-20个字符,数字、字母或符号

      注册即视为同意教习网「注册协议」「隐私条款」
      QQ注册
      手机号注册
      微信注册

      注册成功

      返回
      顶部
      学业水平 高考一轮 高考二轮 高考真题 精选专题 初中月考 教师福利
      添加客服微信 获取1对1服务
      微信扫描添加客服
      Baidu
      map