搜索
      上传资料 赚现金

      2025年中考数学总复习课件(山东省专用)51 第二部分 题型六 反比例函数综合题

      • 4.07 MB
      • 2025-05-08 07:50:39
      • 63
      • 0
      • 教习网3589236
      加入资料篮
      立即下载
      2025年中考数学总复习课件(山东省专用)51 第二部分   题型六 反比例函数综合题第1页
      高清全屏预览
      1/31
      2025年中考数学总复习课件(山东省专用)51 第二部分   题型六 反比例函数综合题第2页
      高清全屏预览
      2/31
      2025年中考数学总复习课件(山东省专用)51 第二部分   题型六 反比例函数综合题第3页
      高清全屏预览
      3/31
      2025年中考数学总复习课件(山东省专用)51 第二部分   题型六 反比例函数综合题第4页
      高清全屏预览
      4/31
      2025年中考数学总复习课件(山东省专用)51 第二部分   题型六 反比例函数综合题第5页
      高清全屏预览
      5/31
      2025年中考数学总复习课件(山东省专用)51 第二部分   题型六 反比例函数综合题第6页
      高清全屏预览
      6/31
      2025年中考数学总复习课件(山东省专用)51 第二部分   题型六 反比例函数综合题第7页
      高清全屏预览
      7/31
      2025年中考数学总复习课件(山东省专用)51 第二部分   题型六 反比例函数综合题第8页
      高清全屏预览
      8/31
      还剩23页未读, 继续阅读

      2025年中考数学总复习课件(山东省专用)51 第二部分 题型六 反比例函数综合题

      展开

      这是一份2025年中考数学总复习课件(山东省专用)51 第二部分 题型六 反比例函数综合题,共31页。
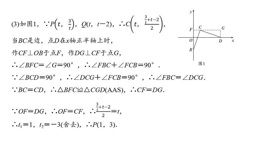
      ②设点N(m,n),若AD为对角线,∵四边形ACDN是平行四边形,A(1,3),D(3,1),C(4,3),∴4+m=1+3,3+1=3+n,∴m=0,n=1,∴点N(0,1);若AC为对角线,∵四边形ADCN是平行四边形,A(1,3),D(3,1),C(4,3),
      ∴3+m=1+4,3+3=1+n,∴m=2,n=5,∴点N(2,5);若AN为对角线,∵四边形ADNC是平行四边形,A(1,3),D(3,1),C(4,3),∴1+m=3+4,3+n=1+3,∴m=6,n=1,∴点N(6,1).综上所述,点N的坐标为(0,1)或(2,5)或(6,1).
      归纳总结 对于存在性问题,一般是先假设其存在,解出来就是存在,解不出来通常就是不存在.

      相关课件

      2025年中考数学总复习课件(山东省专用)51 第二部分 题型六 反比例函数综合题:

      这是一份2025年中考数学总复习课件(山东省专用)51 第二部分 题型六 反比例函数综合题,共31页。

      2025年中考数学总复习课件(山东省专用)52 第二部分 题型七 二次函数综合题:

      这是一份2025年中考数学总复习课件(山东省专用)52 第二部分 题型七 二次函数综合题,共60页。

      2025中考数学二轮复习-反比例函数专题练习【课件】:

      这是一份2025中考数学二轮复习-反比例函数专题练习【课件】,共20页。PPT课件主要包含了复习指导,考点链接,ykx-1,xyk,k的几何含义,k≻0,k≺0,利用等积变换解决问题等内容,欢迎下载使用。

      资料下载及使用帮助
      版权申诉
      • 1.电子资料成功下载后不支持退换,如发现资料有内容错误问题请联系客服,如若属实,我们会补偿您的损失
      • 2.压缩包下载后请先用软件解压,再使用对应软件打开;软件版本较低时请及时更新
      • 3.资料下载成功后可在60天以内免费重复下载
      版权申诉
      若您为此资料的原创作者,认为该资料内容侵犯了您的知识产权,请扫码添加我们的相关工作人员,我们尽可能的保护您的合法权益。
      入驻教习网,可获得资源免费推广曝光,还可获得多重现金奖励,申请 精品资源制作, 工作室入驻。
      版权申诉二维码
      欢迎来到教习网
      • 900万优选资源,让备课更轻松
      • 600万优选试题,支持自由组卷
      • 高质量可编辑,日均更新2000+
      • 百万教师选择,专业更值得信赖
      微信扫码注册
      手机号注册
      手机号码

      手机号格式错误

      手机验证码 获取验证码 获取验证码

      手机验证码已经成功发送,5分钟内有效

      设置密码

      6-20个字符,数字、字母或符号

      注册即视为同意教习网「注册协议」「隐私条款」
      QQ注册
      手机号注册
      微信注册

      注册成功

      返回
      顶部
      中考一轮 精选专题 初中月考 教师福利
      添加客服微信 获取1对1服务
      微信扫描添加客服
      Baidu
      map