搜索
      上传资料 赚现金

      2025年中考数学总复习课件(山东省专用)52 第二部分 题型七 二次函数综合题

      • 6.51 MB
      • 2025-05-08 07:50:38
      • 101
      • 0
      • 教习网3589236
      加入资料篮
      立即下载
      2025年中考数学总复习课件(山东省专用)52 第二部分   题型七 二次函数综合题第1页
      高清全屏预览
      1/60
      2025年中考数学总复习课件(山东省专用)52 第二部分   题型七 二次函数综合题第2页
      高清全屏预览
      2/60
      2025年中考数学总复习课件(山东省专用)52 第二部分   题型七 二次函数综合题第3页
      高清全屏预览
      3/60
      2025年中考数学总复习课件(山东省专用)52 第二部分   题型七 二次函数综合题第4页
      高清全屏预览
      4/60
      2025年中考数学总复习课件(山东省专用)52 第二部分   题型七 二次函数综合题第5页
      高清全屏预览
      5/60
      2025年中考数学总复习课件(山东省专用)52 第二部分   题型七 二次函数综合题第6页
      高清全屏预览
      6/60
      2025年中考数学总复习课件(山东省专用)52 第二部分   题型七 二次函数综合题第7页
      高清全屏预览
      7/60
      2025年中考数学总复习课件(山东省专用)52 第二部分   题型七 二次函数综合题第8页
      高清全屏预览
      8/60
      还剩52页未读, 继续阅读

      2025年中考数学总复习课件(山东省专用)52 第二部分 题型七 二次函数综合题

      展开

      这是一份2025年中考数学总复习课件(山东省专用)52 第二部分 题型七 二次函数综合题,共60页。
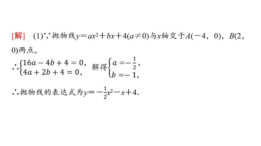
      类型一 线段、周长最值问题【典例1】 如图,在平面直角坐标系中,抛物线y=ax2+bx+4(a≠0)与x轴交于A(-4,0),B(2,0)两点(点A在点B的左侧),与y轴交于点C,点D(0,3),连接AD.(1)求抛物线的表达式;(2)点P是线段AO上一点(不含端点),过点P作PQ⊥x轴交抛物线于点Q,交线段AD于点E,点F是直线AD上一点,连接FQ,FQ=EQ,求△FEQ的周长最大值.
      归纳总结 与二次函数相关的线段、图形周长最值问题,先转化为平行于y轴线段两个端点纵坐标的差(或平行于x轴线段两个端点横坐标的差),再利用含有未知数的式子表示出来,进而转化为二次函数的最值问题.
      (3)直线l绕点C逆时针旋转,与直线CA重合时终止运动,在旋转过程中,直线l与线段AB交于点P,点P与点A,B不重合,点M为线段CP的中点.①过点P作PE⊥CB于点E,PF⊥CA于点F,连接ME,MF,在旋转的过程中∠EMF的大小是否发生变化?若不变化,求出∠EMF的度数;若发生变化,请说明理由.②在①的条件下,连接EF,请写出线段EF的最小值.
      类型二 图形面积问题【典例2】 如图,抛物线y=ax2+bx+c过x轴上点A(-1,0)、点B(5,0),过y轴上点C(0,-5),点P(m,n)(0<m<5)是抛物线上的一个动点.(1)求该二次函数的表达式;(2)求四边形OCPB面积的最大值;(3)当点P的横坐标m满足2<m<5时,过点P作PE⊥x轴,交BC于点E,再过点P作PF∥x轴,交抛物线于点F,连接EF,求使△PEF为等腰直角三角形的点P的坐标.
      (3)如图,∵y=x2-4x-5=(x-2)2-9,∴抛物线对称轴为直线x=2,当点P的横坐标m满足2<m<5时,点P在对称轴右侧,∴PF=2(m-2)=2m-4,由(2)知PE=(m-5)-(m2-4m-5)=-m2+5m,当PE=PF时,△PEF为等腰直角三角形,∴-m2+5m=2m-4,整理得m2-3m-4=0,解得m=4或m=-1(不符合题意,舍去),此时n=42-4×4-5=-5,即点P(4,-5),∴当点P的坐标为(4,-5)时,△PEF为等腰直角三角形.
      归纳总结 二次函数中图形面积的计算,常常转化为线段的最值问题.
      [对点演练][项目式学习试题]某数学试验小组在探究“关于x的二次三项式ax2+bx+3的性质(a,b为常数)”时,进行了如下活动.(1)【试验操作】取不同的x的值,计算代数式ax2+bx+3的值.
      根据表格,计算出a,b的值;
      (2)【观察猜想】试验小组组员通过观察表格,提出以下猜想:①代数式ax2+bx+3的值随着x的增大而减小;②当x=1时,代数式ax2+bx+3有最小值,最小值是2.上述猜想中正确的是:________;(填写序号)(3)【验证猜想】请对正确的猜想进行证明;
      (4)【归纳运用】根据试验经验解决下列问题:   如图所示,小丽想借助院中互相垂直的两面墙(墙体足够长),在墙角区域用6 m长的篱笆围成一个长方形小菜园.当AB为何值时,长方形小菜园ABCD的面积最大,并求出最大面积.
      (3)证明:由(1)知ax2+bx+3=x2-2x+3=(x-1)2+2.∵(x-1)2≥0,∴(x-1)2+2≥2,当x=1时,取等号,∴当x=1时,代数式ax2+bx+3有最小值,最小值是2.(4)设AB=x m,则AD=(6-x) m,长方形的面积为S m2,则S=x(6-x)=-x2+6x=-(x-3)2+9,∵-1<0,∴当x=3时,S有最大值,最大值为9,∴当AB=3 m时,长方形小菜园ABCD的面积最大,最大面积为9 m2.
      类型三 特殊三角形的存在性问题【典例3】 (2024·高唐一模)在平面直角坐标系中,抛物线y=ax2+bx-3与x轴交于点A(-1,0)和点B(3,0),与y轴交于点C.(1)求抛物线的表达式及顶点坐标;(2)若点P为第四象限内抛物线上一点,当△PBC面积最大时,求点P的坐标;(3)若点P为抛物线上一点,点Q是线段BC上一点(点Q不与两端点重合),是否存在以P,Q,O为顶点的三角形是等腰直角三角形?若存在,请写出满足条件的点P的坐标;若不存在,请说明理由.
      [解] (1)设抛物线的表达式为y=a(x+1)(x-3)=a(x2-2x-3),则-3a=-3,解得a=1,则抛物线的表达式为y=x2-2x-3,由抛物线的表达式知,顶点坐标为(1,-4).
      (3)当∠QOP为直角时,则点Q与点B或点C重合,不符合题意;当∠OQP为直角时,即OQ⊥BC,则点P与点B或C重合,故点P的坐标为(3,0)或(0,-3).
      [对点演练]如图,二次函数y=x2-2x-3的图象与x轴交于A,B两点,与y轴交于点C,M为抛物线的顶点.(1)求A,B两点的坐标;(2)求△MBC的面积;(3)对称轴上是否存在点N,使得以B,C,N为顶点的三角形是直角三角形?若存在,求出点N的坐标;若不存在,请说明理由.
      类型四 特殊四边形的存在性问题【典例4】 如图1,抛物线y=ax2+bx+3(a≠0)与x轴交于点A(-1,0),B(3,0),与y轴交于点C,连接AC,BC.
      (1)求该抛物线及直线BC对应的函数表达式;(2)如图2,在BC上方的抛物线上有一动点P(不与B,C重合),过点P作PD∥AC,交BC于点D,过点P作PE∥y轴,交BC于点E.在点P运动的过程中,请求出△PDE周长的最大值及此时点P的坐标;(3)如图3,若点P是该抛物线上一动点,问在点P运动的过程中,坐标平面内是否存在点Q,使以B,C,P,Q为顶点,BC为对角线的四边形是矩形?若存在,请求出此时点Q的坐标;若不存在,请说明理由.
      归纳总结 特殊图形的存在问题,一定要分类讨论,考虑全面,防止漏掉答案的情况.
      [解] (1)由题意得,y=a(x+1)(x-3)=a(x2-2x-3),则-3a=3,解得a=-1,则抛物线的表达式为y=-x2+2x+3.
      (2)如图,分别过点D,A作y轴的平行线交BC于点H,G,则△AEG∽△DEH,则DE∶AE=DH∶AG=1∶2,由点B,C的坐标得,直线BC的表达式为y=-x+3,则点G(-1,4),即AG=4,则DH=2,设点D(x,-x2+2x+3),则点H(x,-x+3),则DH=2=-x2+2x+3-(-x+3),解得x=1或x=2,即点D的坐标为(1,4)或(2,3).
      [对点演练]如图1所示,直线y=x+c与x轴交于A(-4,0),与y轴交于点C,抛物线y=-x2+bx+c经过A,C.(1)求抛物线的表达式;(2)点E在抛物线的对称轴上,求CE+OE的最小值;(3)如图2所示,M是线段OA上的一个动点(不含端点),过点M垂直于x轴的直线与直线AC和抛物线分别交于点P,N.若以C,P,N为顶点的三角形与△APM相似,求△NPC的面积.
      [解] (1)将A(-4,0)代入y=x+c,∴c=4,将A(-4,0)和c=4代入y=-x2+bx+c,∴b=-3,∴抛物线的表达式为y=-x2-3x+4.
      [对点演练](2024·肥城二模)如图,抛物线y=ax2+bx+2经过A(-1,0),B(4,0)两点,D(x,y)为抛物线上第一象限内的一个动点.(1)求抛物线所对应的函数表达式;(2)当△BCD的面积最大时,求点D的坐标;(3)过点D作DE⊥BC,垂足为点E,是否存在点D,使∠DCE=2∠ABC?若存在,求点D的横坐标;若不存在,请说明理由.
      (3)存在,理由:当∠DCE=2∠ABC时,取点F(0,-2),连接BF.∵OC=OF,OB⊥CF,∴∠ABC=∠ABF,∴∠CBF=2∠ABC.∵∠DCE=2∠ABC,∴∠DCE=∠CBF,∴CD∥BF.
      类型七 与圆相关的问题【典例7】 如图,在平面直角坐标系中,顶点为(4,-1)的抛物线交y轴于A点,交x轴于B,C两点(点B在点C的左侧),已知A点坐标为(0,3).(1)求此抛物线的表达式;(2)已知点P是抛物线上的一个动点,且位于A,C两点之间(不与A,C重合),连接AC.当点P运动到什么位置时,△PAC的面积最大?求出此时点P的坐标;(3)过点B作线段AB的垂线交抛物线于点D,如果以点C为圆心的圆与直线BD相切,请判断抛物线的对称轴l与⊙C有怎样的位置关系,并给出证明.
      [对点演练]如图1,在平面直角坐标系中,抛物线y=ax2+bx+c与x轴分别相交于A,B两点,与y轴相交于点C,如表给出了这条抛物线上部分点(x,y)的坐标值:
      (1)求出这条抛物线的表达式及顶点M的坐标;(2)P是抛物线对称轴上一动点,求△APC周长的最小值;(3)如图2,点D是第四象限内抛物线上一动点,过点D作DF⊥x轴,垂足为F,△ABD的外接圆与DF相交于点E.试问:线段EF的长是否为定值?如果是,请求出这个定值;如果不是,请说明理由.
      [解] (1)根据表格可得出A(-1,0),B(3,0),C(0,3),设抛物线的表达式为y=a(x+1)(x-3),将C(0,3)代入,得3=a(0+1)(0-3),解得a=-1,∴y=-(x+1)(x-3)=-x2+2x+3=-(x-1)2+4,∴该抛物线的表达式为y=-x2+2x+3,顶点M坐标为(1,4).
      (3)线段EF的长为定值.理由如下:如图2,连接BE,设D(t,-t2+2t+3),且t>3,∵EF⊥x轴,∴DF=-(-t2+2t+3)=t2-2t-3,∵F(t,0),∴BF=OF-OB=t-3,AF=t-(-1)=t+1,∵四边形ABED是圆内接四边形,∴∠DAF+∠BED=180°,∵∠BEF+∠BED=180°,∴∠DAF=∠BEF,

      相关课件

      2025年中考数学总复习课件(山东省专用)52 第二部分 题型七 二次函数综合题:

      这是一份2025年中考数学总复习课件(山东省专用)52 第二部分 题型七 二次函数综合题,共60页。

      2025年中考数学总复习课件(山东省专用)47 第二部分 题型二 二次函数的图象与性质:

      这是一份2025年中考数学总复习课件(山东省专用)47 第二部分 题型二 二次函数的图象与性质,共36页。PPT课件主要包含了①②③④,-2<x<1等内容,欢迎下载使用。

      2025年中考数学总复习课件(山东省专用)51 第二部分 题型六 反比例函数综合题:

      这是一份2025年中考数学总复习课件(山东省专用)51 第二部分 题型六 反比例函数综合题,共31页。

      资料下载及使用帮助
      版权申诉
      • 1.电子资料成功下载后不支持退换,如发现资料有内容错误问题请联系客服,如若属实,我们会补偿您的损失
      • 2.压缩包下载后请先用软件解压,再使用对应软件打开;软件版本较低时请及时更新
      • 3.资料下载成功后可在60天以内免费重复下载
      版权申诉
      若您为此资料的原创作者,认为该资料内容侵犯了您的知识产权,请扫码添加我们的相关工作人员,我们尽可能的保护您的合法权益。
      入驻教习网,可获得资源免费推广曝光,还可获得多重现金奖励,申请 精品资源制作, 工作室入驻。
      版权申诉二维码
      欢迎来到教习网
      • 900万优选资源,让备课更轻松
      • 600万优选试题,支持自由组卷
      • 高质量可编辑,日均更新2000+
      • 百万教师选择,专业更值得信赖
      微信扫码注册
      手机号注册
      手机号码

      手机号格式错误

      手机验证码 获取验证码 获取验证码

      手机验证码已经成功发送,5分钟内有效

      设置密码

      6-20个字符,数字、字母或符号

      注册即视为同意教习网「注册协议」「隐私条款」
      QQ注册
      手机号注册
      微信注册

      注册成功

      返回
      顶部
      中考一轮 精选专题 初中月考 教师福利
      添加客服微信 获取1对1服务
      微信扫描添加客服
      Baidu
      map