





所属成套资源:最新人教A版必修第一册数学高一配套课件+教案
- 人教A 版 2019 高中数学高一上学期(必修一)期末高频考点题型专题训练-20 同角三角函数的基本关系(教师版+学生版)试卷3 次下载
- 人教A 版 2019 高中数学高一上学期(必修一)期末高频考点题型专题训练-21 诱导公式(教师版+学生版)试卷3 次下载
- 人教A 版 2019 高中数学高一上学期(必修一)期末高频考点题型专题训练-25 函数y=Asin(ωx+φ) (教师版+学生版)试卷4 次下载
- 人教A 版 2019 高中数学高一上学期(必修一)期末高频考点题型专题训练-26 三角函数的应用(教师版+学生版)试卷5 次下载
- 人教A 版 2019 高中数学高一上学期(必修一)期末高频考点题型专题训练-22 三角函数的图像与性质(1)(教师版+学生版)试卷4 次下载
人教A 版 2019 高中数学高一上学期(必修一)期末高频考点题型专题训练-24 三角恒等变换(教师版+学生版)
展开 这是一份人教A 版 2019 高中数学高一上学期(必修一)期末高频考点题型专题训练-24 三角恒等变换(教师版+学生版),文件包含专题24三角恒等变换3大考点精讲+12大热考题型精练+易错题型+高分必刷教师版docx、专题24三角恒等变换3大考点精讲+12大热考题型精练+易错题型+高分必刷学生版docx等2份试卷配套教学资源,其中试卷共64页, 欢迎下载使用。
TOC \ "1-3" \h \u \l "_Tc25716" 考点1 两角和差的正弦余弦正切 PAGEREF _Tc25716 \h 1
\l "_Tc15346" 【热考题型1】两角和差的正(余)弦公式化简求值 PAGEREF _Tc15346 \h 2
\l "_Tc19010" 【热考题型2】两角和差的正切公式化简求值 PAGEREF _Tc19010 \h 2
\l "_Tc24359" 【热考题型3】求15°、75°等特殊角的三角函数值 PAGEREF _Tc24359 \h 2
\l "_Tc9840" 【热考题型4】逆用和、差角的公式化简求值 PAGEREF _Tc9840 \h 2
\l "_Tc11867" 考点2 二倍角公式 PAGEREF _Tc11867 \h 3
\l "_Tc28211" 【热考题型5】二倍角公式化简求值 PAGEREF _Tc28211 \h 3
\l "_Tc5390" 【热考题型6】给角求值型问题 PAGEREF _Tc5390 \h 4
\l "_Tc26052" 【热考题型7】给值求角型问题 PAGEREF _Tc26052 \h 4
\l "_Tc31362" 【热考题型8】半角公式求值 PAGEREF _Tc31362 \h 5
\l "_Tc25500" 【热考题型9】万能公式求值 PAGEREF _Tc25500 \h 5
\l "_Tc15998" 【热考题型10】二倍角公式证明恒等式 PAGEREF _Tc15998 \h 5
\l "_Tc1721" 考点3 辅助角公式 PAGEREF _Tc1721 \h 6
\l "_Tc4376" 【热考题型11】用辅助角公式化简三角函数式 PAGEREF _Tc4376 \h 7
\l "_Tc16311" 【热考题型12】借助辅助角公式求解三角函数问题 PAGEREF _Tc16311 \h 7
\l "_Tc9683" 易错题型(练易错) PAGEREF _Tc9683 \h 8
\l "_Tc19461" 高分必刷(刷高分) PAGEREF _Tc19461 \h 10
考点1 两角和差的正弦余弦正切
1.两角和差的正弦、余弦和正切公式
(1)两角和与差的正弦:
(2)两角和与差的余弦:
(3)两角和与差的正切:
.
.
注意:①公式的适用范围是使公式两边有意义的角的取值范围;
②公式的变形:;
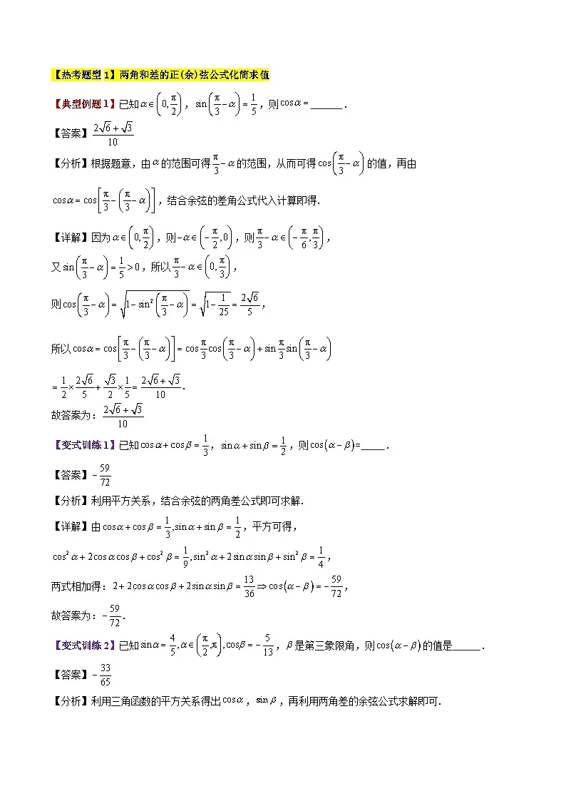
\l "_Tc17993" 【热考题型1】两角和差的正(余)弦公式化简求值
【典型例题1】已知,,则 .
【变式训练1】已知,,则= .
【变式训练2】已知,是第三象限角,则的值是 .
【变式训练3】已知,,,则 .
\l "_Tc17993" 【热考题型2】两角和差的正切公式化简求值
【典型例题1】已知,则 .
【变式训练1】已知,则的值为 .
【变式训练2】已知,都是锐角,,,则 .
【变式训练3】
\l "_Tc17993" 【热考题型3】求15°、75°等特殊角的三角函数值
【典型例题1】计算( )
A.B.C.D.
【变式训练1】 ( )
A.B.C.D.
【变式训练2】( ).
A.B.C.D.
【变式训练3】 .
\l "_Tc17993" 【热考题型4】逆用和、差角的公式化简求值
【典型例题1】( )
A.B.C.D.
【变式训练1】的值为( )
A.B.C.D.
【变式训练2】若,则的值为( )
A.B.C.D.
【变式训练3】( )
A.B.C.D.
考点2 二倍角公式
1.二倍角公式
(1)二倍角的正弦:;变形
(2)二倍角的余弦:.
(3)二倍角的正切:
2. 升(降)幂缩(扩)角公式
升幂公式:,
降幂公式:,
半角公式
=±, =±,
以上三个公式分别称作半角正弦、余弦、正切公式,它们是用无理式表示的.
;
万能公式
; ;
\l "_Tc17993" 【热考题型5】二倍角公式化简求值
【典型例题1】已知,则的值为( )
A.B.C.D.
【变式训练1】已知,则 .
【变式训练2】若,,则 .
【变式训练3】已知角为第二象限角,且,则 .
\l "_Tc17993" 【热考题型6】给角求值型问题
【典型例题1】( ).
A.B.C.D.
【变式训练1】式子化简的结果为( )
A.B.C.D.
【变式训练2】( )
A.B.C.D.
【变式训练3】的值为( )
A.B.C.D.
\l "_Tc17993" 【热考题型7】给值求角型问题
【典型例题1】已知,均为锐角,,,则( )
A.B.C.D.
【变式训练1】已知,且,则( )
A.B.
C.D.
【变式训练2】已知,则( )
A.B.C.D.
【变式训练3】已知,则( )
A.B.C.D.5
\l "_Tc17993" 【热考题型8】半角公式求值
【典型例题1】已知,则等于( )
A.B.C.D.
【变式训练1】已知是第三象限的角,,,则等于( )
A.B.C.D.
【变式训练2】若为第三象限角,且,则( )
A.B.C.2D.
【变式训练3】已知为锐角,若,则( )
A.B.C.D.
\l "_Tc17993" 【热考题型9】万能公式求值
【典型例题1】已知第二象限角满足,则( )
A.B.C.D.
【变式训练1】已知且,则( )
A.2B.1C.0D.
【变式训练2】已知,则 .
【变式训练3】已知,求
(1)及的值;
(2)
\l "_Tc17993" 【热考题型10】二倍角公式证明恒等式
【典型例题1】证明下列等式:
(1)
(2).
【变式训练1】求证:.
【变式训练2】(1)证明:;
(2)化简:.
【变式训练3】证明:.
【变式训练4】证明:.
考点3 辅助角公式
1.辅助角公式
对于形如的式子,可变形如下:
=
由于上式中和的平方和为1,
故令,
则==
其中角所在象限由的符号确定,角的值由确定,
或由和共同确定.
三角恒等变换综合应用的解题思路
(1)将化为的形式;
(2)构造
(3)和角公式逆用,得 (其中φ为辅助角);
(4)利用研究三角函数的性质;
注:研究三角函数的性质,如单调性和最值问题,通常是把复杂的三角函数通过恰当的三角变换,转化为一种简单的三角函数,再研究转化后的函数的性质.在这个过程中通常利用辅助角公式,将y=asin x+bcs x转化为y=Asin(x+φ)或y=Acs(x+φ)的形式,以便研究函数的性质.
\l "_Tc17993" 【热考题型11】用辅助角公式化简三角函数式
【典型例题1】代数式可化为的形式,此时 .
【变式训练1】已知,则( )
A.B.C.D.
【变式训练2】若,则( )
A.B.C.D.
【变式训练3】化简下列各式:
(1)R).
(2).
(3).
\l "_Tc17993" 【热考题型12】借助辅助角公式求解三角函数问题
【典型例题1】已知函数.
(1)求函数的最小正周期和最大值;
(2)判断并证明函数在区间上的单调性.
【变式训练1】已知函数的周期为.
(1)求的值及函数的单调递增区间;
(2)若,求的最大值和最小值以及取得最值时相应的值.
【变式训练2】.
(1)求的最小正周期;
(2)求函数的对称轴和对称中心;
(3)设方程在区间内的两解分别为,,求的值.
【变式训练3】已知.
(1)将化成的形式;
(2)求在区间上的值域.
易错题型
1.已知,且,则( )
A.B.C.D.
2.已知,则( )
A.B.C.D.
3.( )
A.B.C.D.
4.的值是( )
A.B.C.D.
5.若,则的值为( )
A.B.C.D.
6.已知,若,则( )
A.B.C.D.
7.
9.已知,则 .
10. .
11.已知满足,则 .
12.已知,是第三象限角,则
13.已知,,则 .
14.化简:( )
A.B.C.D.
15.已知,则的值为( )
A.B.C.D.
16.若,则( )
A.B.C.D.
17.已知,则( )
A.B.C.D.
18.已知,,,则 .
19.已知,则 .
20.已知,,则 .
21.若且,则 .
22.已知都是锐角,.
(1)求的值;
(2)求的值.
23.已知,且.
(1)求,的值;
(2)已知,且,求的值.
24.(1)已知,求的值;
(2)若,求的值.
25.利用和(差)角公式计算下列各式的值:
(1);
(2);
(3)
26.求值:
(1);
(2).
27.已知且,求:
(1);
(2).
28.已知函数.
(1)若是三角形中一内角,且,求的值;
(2)若函数在内有唯一零点,求的范围.
29.已知函数.
(1)求函数的最小正周期;
(2)若锐角满足,求.
高分必刷
1.已知,且,则的值是( )
A.B.C.D.或
2.已知为钝角,且,则角等于 .
3.若,,则( )
A.B.C.D.
4.下列式子运算正确的有 ( )
A. B.
C.D.
5.( )
A.1B.C.D.
6.若,且,则( )
A.B.C.D.
7.若,则( )
A.0B.C.1D.4
8.已知,,则( )
A.B.C.D.
9.的值为( )
A.B.C.D.
10.若,则( )
A.B.C.D.1
11.已知,则为第二象限角,则的值等于( )
A.B.C.D.
12.若,则( )
A.B.C.D.
13.已知,,则( )
A.B.C.D.
14.已知则等于( )
A.B.C.D.
15.利用半角公式,求 .
16.求值: .
17. .
18.若,则 .
19.若,则 .
20.已知,其中
(1)求;
(2)求.
21.已知且,求的值.
22.已知,求证:.
23.(1)已知,,,求的值.
(2)已知,,且,求的值.
24.已知,,且.
(1)求的值;
(2)求的值.
25.求证下列恒等式:
(1);
(2)
26.已知.
(1)求的周期;
(2)求在的值域;
(3)若,求的值.
27.已知函数已知.
(1)求函数的周期、对称轴、对称中心;
(2)求在上的单调区间与最值;
(3)若对,不等式恒成立,试求的取值范围.
28.已知函数.
(1)将化简成的形式;
(2)求函数的对称轴方程;
(3)若函数在区间上恰有一个零点,求实数的取值范围.
相关试卷
这是一份人教A 版 2019 高中数学高一上学期(必修一)期末高频考点题型专题训练-24 三角恒等变换(教师版+学生版),文件包含专题24三角恒等变换3大考点精讲+12大热考题型精练+易错题型+高分必刷教师版docx、专题24三角恒等变换3大考点精讲+12大热考题型精练+易错题型+高分必刷学生版docx等2份试卷配套教学资源,其中试卷共64页, 欢迎下载使用。
这是一份(人教A版)必修一高一数学上学期期末考点训练常考题型23 三角恒等变换(2份,原卷版+解析版),文件包含人教A版必修一高一数学上学期期末考点训练常考题型23三角恒等变换原卷版docx、人教A版必修一高一数学上学期期末考点训练常考题型23三角恒等变换解析版docx等2份试卷配套教学资源,其中试卷共23页, 欢迎下载使用。
这是一份【期末全复习】人教版(2019)数学必修1-高一上学期期末:专题07 三角恒等变换(知识梳理),文件包含期末全复习人教版2019数学必修1-高一上学期期末专题07三角恒等变换知识梳理解析版doc、期末全复习人教版2019数学必修1-高一上学期期末专题07三角恒等变换知识梳理原卷版doc等2份试卷配套教学资源,其中试卷共23页, 欢迎下载使用。
相关试卷 更多
- 1.电子资料成功下载后不支持退换,如发现资料有内容错误问题请联系客服,如若属实,我们会补偿您的损失
- 2.压缩包下载后请先用软件解压,再使用对应软件打开;软件版本较低时请及时更新
- 3.资料下载成功后可在60天以内免费重复下载
免费领取教师福利 










