【高考数学】二轮优化提优专题训练:专题01 三角函数的图像与性质
展开
这是一份【高考数学】二轮优化提优专题训练:专题01 三角函数的图像与性质,文件包含高考数学二轮优化提优专题训练专题01三角函数的图像与性质原卷版docx、高考数学二轮优化提优专题训练专题01三角函数的图像与性质解析版docx等2份试卷配套教学资源,其中试卷共31页, 欢迎下载使用。
【答案】
【详解】因为,所以,
令,则有3个根,
令,则有3个根,其中,
结合余弦函数的图像性质可得,故,
故答案为:.
2、(2023年新高考天津卷)已知函数的一条对称轴为直线,一个周期为4,则的解析式可能为( )
A.B.
C.D.
【答案】B
【详解】由函数的解析式考查函数的最小周期性:
A选项中,B选项中,
C选项中,D选项中,
排除选项CD,
对于A选项,当时,函数值,故是函数的一个对称中心,排除选项A,
对于B选项,当时,函数值,故是函数的一条对称轴,
故选:B.
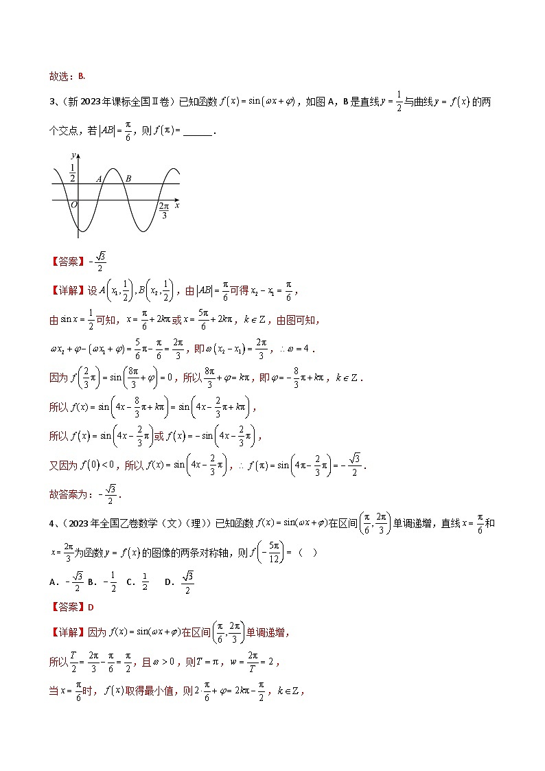
3、(新2023年课标全国Ⅱ卷)已知函数,如图A,B是直线与曲线的两个交点,若,则______.
【答案】
【详解】设,由可得,
由可知,或,,由图可知,
,即,.
因为,所以,即,.
所以,
所以或,
又因为,所以,.
故答案为:.
4、(2023年全国乙卷数学(文)(理))已知函数在区间单调递增,直线和为函数的图像的两条对称轴,则( )
A.B.C.D.
【答案】D
【详解】因为在区间单调递增,
所以,且,则,,
当时,取得最小值,则,,
则,,不妨取,则,
则,
故选:D.
5、(2023年全国甲卷数学(文)(理)).已知为函数向左平移个单位所得函数,则与的交点个数为( )
A.1B.2C.3D.4
【答案】C
【详解】因为向左平移个单位所得函数为,所以,
而显然过与两点,
作出与的部分大致图像如下,
考虑,即处与的大小关系,
当时,,;
当时,,;
当时,,;
所以由图可知,与的交点个数为.
故选:C.
6、【2022年全国甲卷】将函数f(x)=sinωx+π3(ω>0)的图像向左平移π2个单位长度后得到曲线C,若C关于y轴对称,则ω的最小值是( )
A.16B.14C.13D.12
【答案】C
【解析】由题意知:曲线C为y=sinωx+π2+π3=sin(ωx+ωπ2+π3),又C关于y轴对称,则ωπ2+π3=π2+kπ,k∈Z,
解得ω=13+2k,k∈Z,又ω>0,故当k=0时,ω的最小值为13.
故选:C.
7、【2022年全国甲卷】设函数f(x)=sinωx+π3在区间(0,π)恰有三个极值点、两个零点,则ω的取值范围是( )
A.53,136B.53,196C.136,83D.136,196
【答案】C
【解析】:依题意可得ω>0,因为x∈0,π,所以ωx+π3∈π3,ωπ+π3,
要使函数在区间0,π恰有三个极值点、两个零点,又y=sinx,x∈π3,3π的图象如下所示:
则5π20,即fx单调递增;
在区间π2,3π2上f'x0)的最小正周期为T.若2π3
相关试卷
这是一份新高考数学二轮培优训练专题01 三角函数的图像与性质(2份,原卷版+解析版),文件包含新高考数学二轮培优训练专题01三角函数的图像与性质原卷版doc、新高考数学二轮培优训练专题01三角函数的图像与性质解析版doc等2份试卷配套教学资源,其中试卷共32页, 欢迎下载使用。
这是一份2024-2025学年高考数学复习解答题提优思路(全国通用)专题01利用导函数研究函数的切线问题(典型题型归类训练)(学生版+解析),共29页。
这是一份新高考数学二轮复习培优专题训练专题01 三角函数的图像与性质(2份打包,原卷版+解析版),文件包含新高考数学二轮复习培优专题训练专题01三角函数的图像与性质原卷版doc、新高考数学二轮复习培优专题训练专题01三角函数的图像与性质解析版doc等2份试卷配套教学资源,其中试卷共32页, 欢迎下载使用。

