【高考数学】二轮优化提优专题训练:专题21 数列综合问题的探究
展开
这是一份【高考数学】二轮优化提优专题训练:专题21 数列综合问题的探究,文件包含高考数学二轮优化提优专题训练专题21数列综合问题的探究原卷版docx、高考数学二轮优化提优专题训练专题21数列综合问题的探究解析版docx等2份试卷配套教学资源,其中试卷共23页, 欢迎下载使用。
1、(2023年全国乙卷数学(文))已知等差数列的公差为,集合,若,则( )
A.-1B.C.0D.
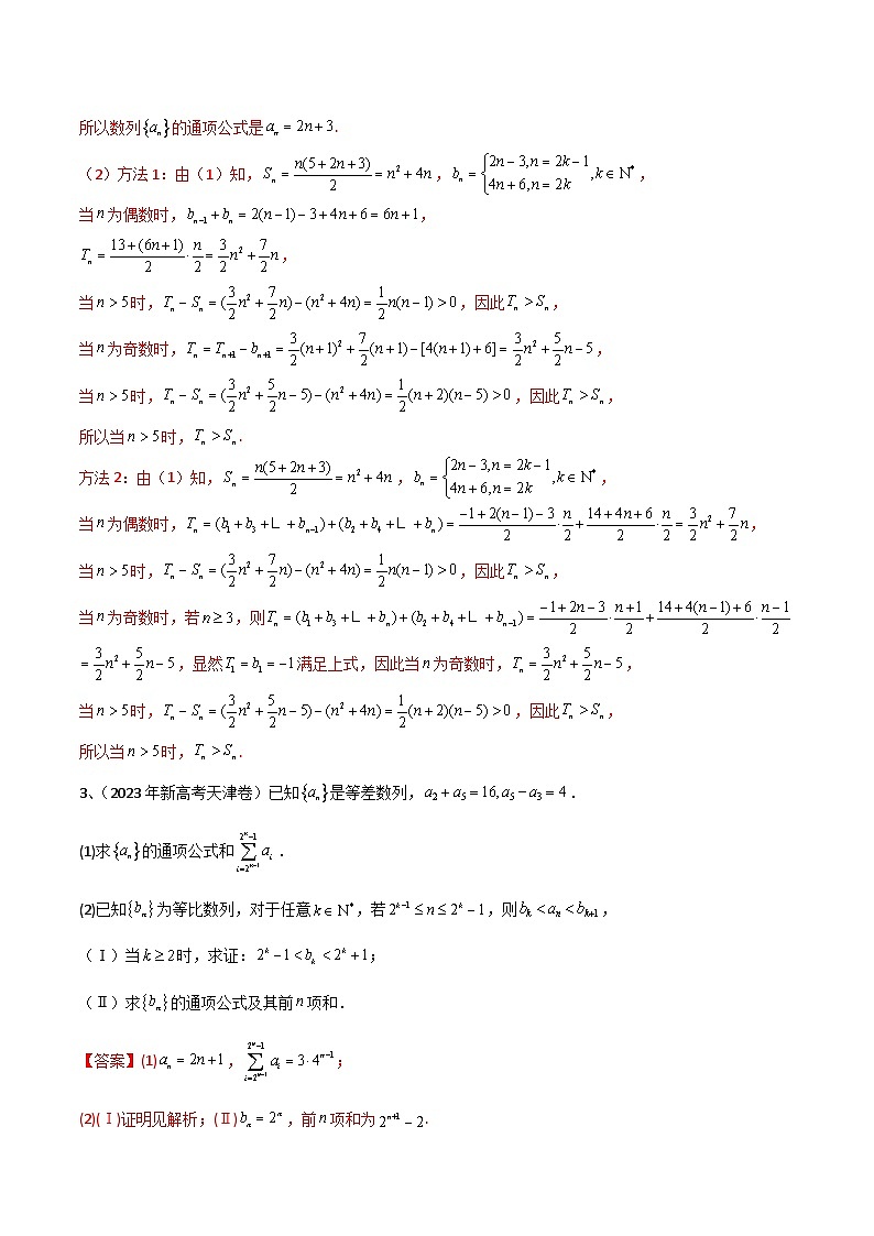
2、(2023年新课标全国Ⅱ卷)已知为等差数列,,记,分别为数列,的前n项和,,.
(1)求的通项公式;
(2)证明:当时,.
3、(2023年新高考天津卷)已知是等差数列,.
(1)求的通项公式和.
(2)已知为等比数列,对于任意,若,则,
(Ⅰ)当时,求证:;
(Ⅱ)求的通项公式及其前项和.
4、【2022年新高考1卷】记Sn为数列an的前n项和,已知a1=1,Snan是公差为13的等差数列.
(1)求an的通项公式;
(2)证明:1a1+1a2+⋯+1an
相关试卷
这是一份【高考数学】二轮优化提优专题训练:专题15 直线与圆,文件包含高考数学二轮优化提优专题训练专题15直线与圆原卷版docx、高考数学二轮优化提优专题训练专题15直线与圆解析版docx等2份试卷配套教学资源,其中试卷共31页, 欢迎下载使用。
这是一份【高考数学】二轮优化提优专题训练:专题13 运用空间向量研究立体几何问题(2),文件包含高考数学二轮优化提优专题训练专题13运用空间向量研究立体几何问题2原卷版docx、高考数学二轮优化提优专题训练专题13运用空间向量研究立体几何问题2解析版docx等2份试卷配套教学资源,其中试卷共40页, 欢迎下载使用。
这是一份【高考数学】二轮优化提优专题训练:专题12 运用空间向量研究立体几何问题(1),文件包含高考数学二轮优化提优专题训练专题12运用空间向量研究立体几何问题1原卷版docx、高考数学二轮优化提优专题训练专题12运用空间向量研究立体几何问题1解析版docx等2份试卷配套教学资源,其中试卷共49页, 欢迎下载使用。

