所属成套资源:新高考数学二轮培优训练专题(2份,原卷版+解析版)
新高考数学二轮培优训练专题01 三角函数的图像与性质(2份,原卷版+解析版)
展开
这是一份新高考数学二轮培优训练专题01 三角函数的图像与性质(2份,原卷版+解析版),文件包含新高考数学二轮培优训练专题01三角函数的图像与性质原卷版doc、新高考数学二轮培优训练专题01三角函数的图像与性质解析版doc等2份试卷配套教学资源,其中试卷共32页, 欢迎下载使用。
2、(2023年新高考天津卷)已知函数的一条对称轴为直线,一个周期为4,则的解析式可能为( )
A.B.
C.D.
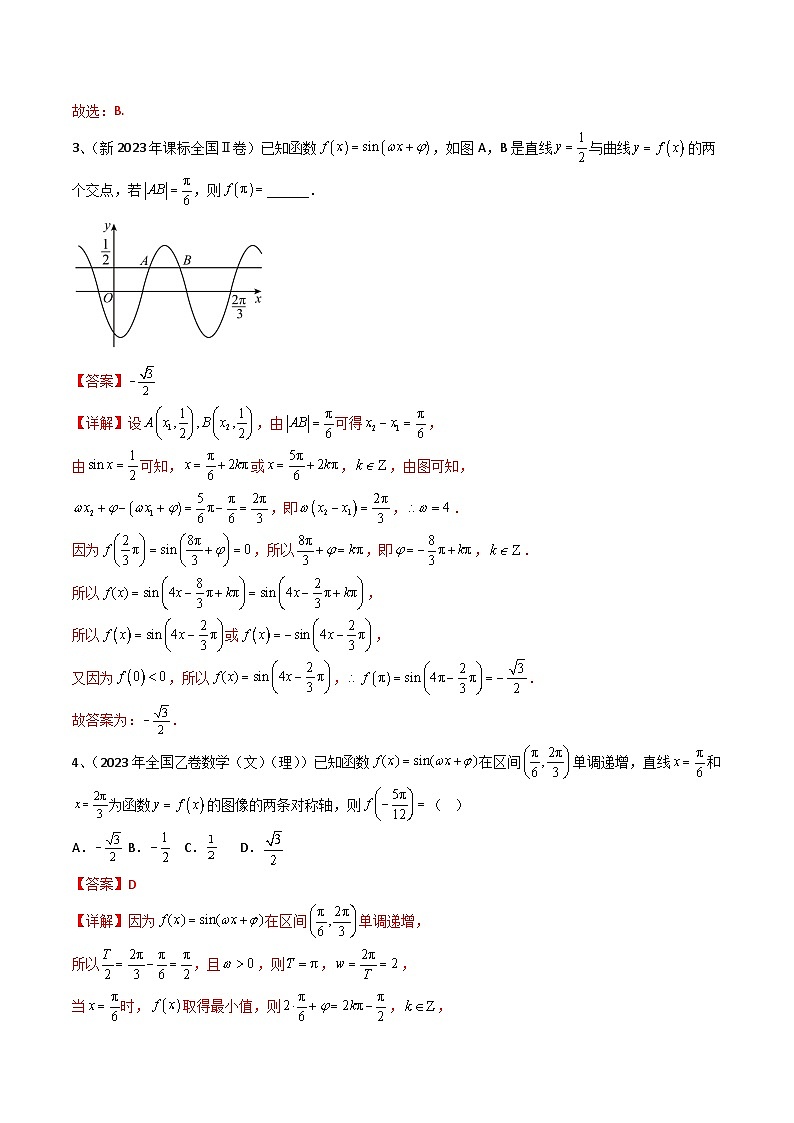
3、(新2023年课标全国Ⅱ卷)已知函数,如图A,B是直线与曲线的两个交点,若,则______.
4、(2023年全国乙卷数学(文)(理))已知函数在区间单调递增,直线和为函数的图像的两条对称轴,则( )
A.B.C.D.
5、(2023年全国甲卷数学(文)(理)).已知为函数向左平移个单位所得函数,则与的交点个数为( )
A.1B.2C.3D.4
6、【2022年全国甲卷】将函数的图像向左平移个单位长度后得到曲线C,若C关于y轴对称,则的最小值是( )
A.B.C.D.
7、【2022年全国甲卷】设函数在区间恰有三个极值点、两个零点,则的取值范围是( )
A.B.C.D.
8、【2022年全国乙卷】函数在区间的最小值、最大值分别为( )
A.B.C.D.
9、【2022年新高考1卷】记函数的最小正周期为T.若,且的图象关于点中心对称,则( )
A.1B.C.D.3
题组一、三角函数图像的变换
1-1、(2023·安徽合肥·统考一模)将函数图像上各点横坐标缩短到原来的,再向左平移个单位得到曲线C.若曲线C的图像关于轴对称,则的值为( )
A.B.C.D.
1-2、(2023·云南红河·统考一模)已知函数.若为偶函数.的图象与x轴交点的横坐标构成一个公差为的等差数列.将函数图象上每一点的横坐标缩短为原来的,纵坐标不变,再向左平移个单位后得到函数的图象,则( )
A.0B.-2C.1D.-1
1-3、(2022·山东莱西·高三期末)要得到的图象,只需将的图象( )
A.向左平行移动个单位长度B.向右平行移动个单位长度
C.向右平行移动个单位长度D.向左平行移动个单位长度
1-4、(2023·河北唐山·统考三模)(多选)为了得到函数的图象,只需把余弦曲线上所有的点( )
A.横坐标缩短到原来的倍,纵坐标不变,再把得到的曲线向右平移
B.横坐标缩短到原来的倍,纵坐标不变,再把得到的曲线向右平移
C.向右平移,再把得到的曲线上各点横坐标缩短到原来的倍,纵坐标不变
D.向右平移,再把得到的曲线上各点横坐标缩短到原来的倍,纵坐标不变
题组二、三角函数的解析式及性质
2-1、(2022·江苏海安·高三期末)函数的部分图象如图,则下列选项中是其一条对称轴的是( )
A.B.
C.D.
2-2、(2023·黑龙江大庆·统考一模)函数(,,)的部分图象如图所示,将f(x)的图象向右平移个单位长度得到函数g(x)的图象,则( )
A.B.
C.D.
2-3、(2023·吉林通化·梅河口市第五中学校考一模)函数(,)的部分图象如图所示,为了得到的图象,只需将的图象( )
A.向左平移个单位长度B.向右平移个单位长度
C.向左平移个单位长度D.向右平移个单位长度
2-4、(2023·江苏南通·统考一模)(多选)函数的部分图象如图所示,则( )
A.
B.
C.的图象关于点对称
D.在区间上单调递增
2-5、(2023·安徽马鞍山·统考三模)(多选)已知函数(),若函数的部分图象如图所示,则关于函数,下列结论正确的是( )
A.的图象关于直线对称
B.的图象关于点对称
C.在区间上的单调递增区间为
D.的图象可由的图象向左平移个单位得到
题组三、三角函数的性质
3-1、(2023·安徽合肥·统考一模)将函数图像上各点横坐标缩短到原来的,再向左平移个单位得到曲线C.若曲线C的图像关于轴对称,则的值为( )
A.B.C.D.
3-2、(2023·云南玉溪·统考一模)已知奇函数图像的相邻两个对称中心间的距离为2π,将的图像向右平移个单位得函数的图像,则的图像( )
A.关于点对称B.关于点对称
C.关于直线对称D.关于直线对称
3-3、(2023·湖南邵阳·统考三模)(多选题)已知函数,则( )
A.的最小正周期为B.在上单调递增
C.的图象关于直线对称D.若,则的最小值为
3-4、(2023·江苏南通·统考模拟预测)(多选题)已知函数,下列说法正确的有( )
A.在上单调递增
B.若,则
C.函数的图象可以由向右平移个单位得到
D.若函数在上恰有两个极大值点,则
题组四、三角函数的性质的综合运用
4-1、(2022·江苏如东·高三期末)正弦信号是频率成分最为单一的一种信号,因为这种信号的波形是数学上的正弦函数而得名,很多复杂的信号都可以通过多个正弦信号叠加得到,因而正弦信号在实际中作为典型信号或测试信号获得广泛应用.已知某个信号的波形可以表示为f(x)=sinx+sin2x+sin3x.则( )
A.f(x)的最大值为3B.π是f(x)的一个周期
C.f(x)的图像关于(π,0)对称D.f(x)在区间上单调递增
4-2、(2023·辽宁·大连二十四中校联考三模)(多选题)已知函数在上恰有三个零点,则( )
A.的最大值为
B.在上只有一个极小值点
C.在上恰有两个极大值点
D.在上单调递增
4-3、(2022·江苏扬州·高三期末)(多选题)已知函数(ω>0),下列说法中正确的有( )
A.若ω=1,则f(x)在上是单调增函数
B.若,则正整数ω的最小值为2
C.若ω=2,则把函数y=f(x)的图象向右平移个单位长度,所得到的图象关于原点对称
D.若f(x)在上有且仅有3个零点,则
4-4、(2022·天津五十七中模拟预测)(多选)已知函数的图象向左平移个单位长度后得到函数的图象,关于函数,下列选项不正确的是( ).
A.最小正周期为B.
C.是偶函数D.当时取得最大值
1、(2022·湖北江岸·高三期末)下列四个函数中,以为最小正周期,其在上单调递减的是( )
A.B.C.D.
2、(2022·湖南常德·高三期末)已知函数(,,)的部分图象如图所示,则下列四个结论中正确的是( )
A.若,则函数f(x)的值域为
B.点是函数f(x)图象的一个对称中心
C.函数f(x)在区间上是增函数
D.函数f(x)的图象可以由函数的图象向右平移个单位长度得到
3、(2023·云南玉溪·统考一模)已知奇函数图像的相邻两个对称中心间的距离为2π,将的图像向右平移个单位得函数的图像,则的图像( )
A.关于点对称B.关于点对称
C.关于直线对称D.关于直线对称
4、(2023·江苏南京·南京市秦淮中学校考模拟预测)已知函数,既有最小值也有最大值,则实数的取值范围是( )
A.B.C.或D.
5、(2023·江苏泰州·泰州中学校考一模)记函数的最小正周期为T.若,且点和直线分别是图像的对称中心和对称轴,则T=( )
A.B.C.D.
6、(2023·江苏南京·校考一模)已知函数,图像上每一点的横坐标缩短到原来的,得到的图像,的部分图像如图所示,若,则等于( )
A.B.C.D.
7、(2023·山西临汾·统考一模)(多选题)已知函数,则下列说法正确的有( )
A.的图象关于点中心对称
B.的图象关于直线对称
C.在上单调递减
D.将的图象向左平移个单位,可以得到的图象
8(2023·安徽安庆·校考一模)(多选题)已知函数,则下列说法正确的是( )
A.若将图象向右平移个单位,所得图象与原图象重合,则的最小值为8
B.若,则的最小值为12
C.若在内单调递减,则的取值范围为
D.若在内无零点,则的取值范围为
相关试卷
这是一份新高考数学二轮培优训练专题21 数列综合问题的探究(2份,原卷版+解析版),文件包含新高考数学二轮培优训练专题21数列综合问题的探究原卷版doc、新高考数学二轮培优训练专题21数列综合问题的探究解析版doc等2份试卷配套教学资源,其中试卷共23页, 欢迎下载使用。
这是一份新高考数学二轮培优训练专题15 直线与圆(2份,原卷版+解析版),文件包含新高考数学二轮培优训练专题15直线与圆原卷版doc、新高考数学二轮培优训练专题15直线与圆解析版doc等2份试卷配套教学资源,其中试卷共32页, 欢迎下载使用。
这是一份新高考数学二轮培优训练专题10 导数的综合运用(2份,原卷版+解析版),文件包含新高考数学二轮培优训练专题10导数的综合运用原卷版doc、新高考数学二轮培优训练专题10导数的综合运用解析版doc等2份试卷配套教学资源,其中试卷共44页, 欢迎下载使用。

