高三数学一轮复习第二章函数第五课时指数与指数函数课件
展开3.指数幂的运算性质(1)aras=____;(2)(ar)s=___;(3)(ab)r=___.(其中a>0,b>0,r,s∈Q).
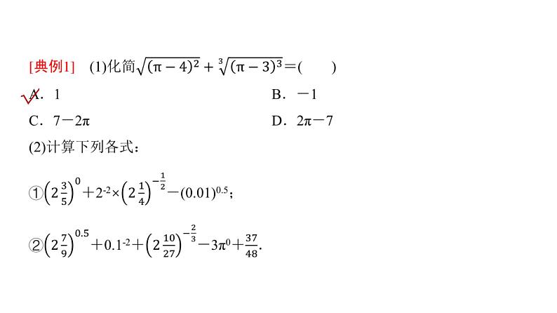
点拨 本例(2)重点考查对分数指数幂及指数幂运算性质的理解及应用.
考点二 指数函数的图象及应用1.指数函数(1)概念:函数y=ax(a>0,且a≠1)叫做指数函数,其中指数x是自变量,定义域是__,__是底数.(2)形如y=kax, y=ax+k(k∈R,且k≠0,如果是y=kax,k≠1;a>0且a≠1)的函数叫做指数型函数,不是指数函数.
(3)指数函数的图象与性质
3.指数函数的图象与底数大小的比较如图是指数函数(1)y=ax,(2)y=bx,(3)y=cx,(4)y=dx的图象,底数a,b,c,d与1之间的大小关系为c>d>1>a>b.由此我们可得到以下规律:在y轴右(左)侧图象越高(低),其底数越__.
点拨 本例(3)当底数a与1的大小关系不确定时应注意分类讨论.
(3)设a,b为实数,a>0,a≠1.已知函数y=ax+b的图象如图所示,求a,b的取值范围.
考点三 指数函数的性质及应用(1)比较大小问题:常化为同底或同指,利用指数函数的单调性,图象或1,0等中间量进行比较.(2)简单的指数方程或不等式的求解问题:解决此类问题应利用指数函数的单调性,要特别注意底数a的取值范围,并在必要时进行分类讨论.
点拨 本例(1)先借助指数函数的单调性证明a
高考数学一轮复习第二章第五讲指数与指数函数课件: 这是一份高考数学一轮复习第二章第五讲指数与指数函数课件,共41页。PPT课件主要包含了1根式,有理数指数幂,图2-5-1,考点一指数幂的运算,答案B,又含有负指数,Aa1Cb0,图2-5-2,答案AD,图2-5-3等内容,欢迎下载使用。
2024年高考数学一轮复习第二章第五讲指数与指数函数课件: 这是一份2024年高考数学一轮复习第二章第五讲指数与指数函数课件,共44页。PPT课件主要包含了有理数指数幂,指数函数的概念,名师点睛,考点一指数幂的运算,Aa1Cb0,图2-5-1,答案AD,图2-5-2,答案01,题后反思等内容,欢迎下载使用。
高考数学一轮复习配套课件 第二章 第五节 指数与指数函数: 这是一份高考数学一轮复习配套课件 第二章 第五节 指数与指数函数,共48页。PPT课件主要包含了必备知识基础落实,关键能力考点突破,微专题,没有意义,ar+s,ars,arbr,0+∞,增函数,减函数等内容,欢迎下载使用。

