- 2024-2025学年高中数学人教A版必修二6.2.3向量的数乘运算(二)PPT+导学案+分层作业(学生版+教师版)+教案(教学设计) 课件 1 次下载
- 2024-2025学年高中数学人教A版必修二6.2.4向量的数量积(一)PPT+导学案+分层作业(学生版+教师版)+教案(教学设计) 课件 1 次下载
- 2024-2025学年高中数学人教A版必修二6.3.1平面向量基本定理(一)PPT+导学案+分层作业(学生版+教师版)+教案(教学设计) 课件 1 次下载
- 2024-2025学年高中数学人教A版必修二6.3.2--6.3.3 平面向量的正交分解及加减法的坐标表示PPT+导学案+分层作业(学生版+教师版)+教案(教学设计) 课件 1 次下载
- 2024-2025学年高中数学人教A版必修二6.3.4平面向量数乘运算的坐标表示PPT+导学案+分层作业(学生版+教师版)+教案(教学设计) 课件 1 次下载
高中数学人教A版 (2019)必修 第二册6.2 平面向量的运算试讲课教学作业课件ppt
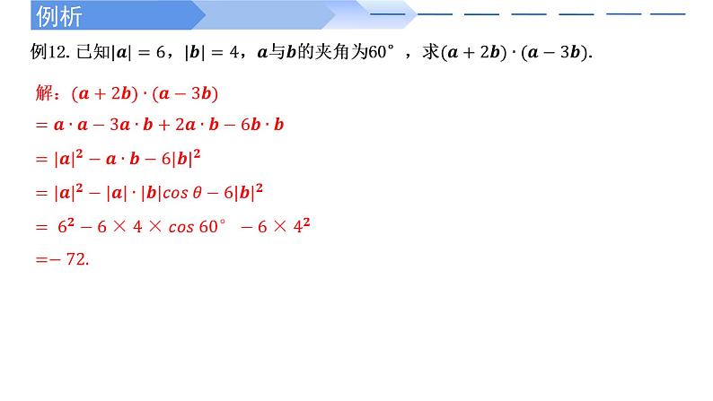
展开思考1:类比数的乘法运算律,结合向量的线性运算的运算律,你能得到数量积运算的哪些运算律?你能证明吗?
与向量的线性运算一样,定义了向量的数量积后,就要研究数量积运算是否满足一些运算律.
下面我们利用向量投影证明分配律(3).
答案:×,√,√,√,×.
平面向量数量积的运算律
平面向量数量积的运算性质 类比多项式的乘法公式,写出下表中的平面向量数量积的运算性质.
高中数学人教A版 (2019)必修 第二册8.6 空间直线、平面的垂直优秀教学作业ppt课件: 这是一份高中数学人教A版 (2019)必修 第二册<a href="/sx/tb_c4000306_t3/?tag_id=26" target="_blank">8.6 空间直线、平面的垂直优秀教学作业ppt课件</a>,文件包含861直线与直线垂直PPTpptx、861直线与直线垂直教案教学设计docx、861直线与直线垂直分层作业教师版docx、861直线与直线垂直分层作业docx、861直线与直线垂直导学案docx等5份课件配套教学资源,其中PPT共27页, 欢迎下载使用。
人教A版 (2019)必修 第二册第八章 立体几何初步8.5 空间直线、平面的平行完整版教学作业ppt课件: 这是一份人教A版 (2019)必修 第二册<a href="/sx/tb_c4000305_t3/?tag_id=26" target="_blank">第八章 立体几何初步8.5 空间直线、平面的平行完整版教学作业ppt课件</a>,文件包含853平面与平面平行的判定定理第1课时PPTpptx、853平面与平面平行的性质第2课时PPTpptx、853平面与平面平行教案教学设计docx、853平面与平面平行分层作业教师版docx、853平面与平面平行分层作业docx、853平面与平面平行导学案docx等6份课件配套教学资源,其中PPT共33页, 欢迎下载使用。
人教A版 (2019)必修 第二册8.5 空间直线、平面的平行优质课教学作业课件ppt: 这是一份人教A版 (2019)必修 第二册<a href="/sx/tb_c4000305_t3/?tag_id=26" target="_blank">8.5 空间直线、平面的平行优质课教学作业课件ppt</a>,文件包含852直线与平面平行PPTpptx、852直线与平面平行教案教学设计docx、852直线与平面平行分层作业教师版docx、852直线与平面平行分层作业docx、852直线与平面平行导学案docx等5份课件配套教学资源,其中PPT共24页, 欢迎下载使用。

