高中数学9.2 用样本估计总体精品课件ppt
展开1.掌握方差和标准差,利用方差和标准差估计总体的离散程度,培养数据分析的核心素养;2.通过样本标准差等数据直观估计总体的离散程度,能够正确计算样本的标准差或方差,提升数学运算的核心素养。
甲、乙两名战士在相同条件下各射靶10次,每次命中的环数分别是:甲:8,6,7,8,6,5,9,10,4,7;乙:6,7,7,8,6,7,8,7,9,5.经过计算可知甲、乙的命中环数的平均数都是7环.
【问题】 若从二人中选一人去和兄弟部队参加射击大赛,只用平均数能否作出选择?
【提示】 不能.平均数只能说明二人的平均水平相同,还要用方差来判断谁的射击水平更稳定.
平均数、中位数和众数为我们提供了一组数据的集中趋势的信息,这是概括一组数据的特征的有效方法.但仅知道集中趋势的信息,很多时候还不能使我们做出有效决策,下面的问题就是一个例子.
问题3:有两位射击运动员在一次射击测试中各射靶10次,每次命中的环数如下: 甲 7 8 7 9 5 4 9 10 7 4 乙 9 5 7 8 7 6 8 6 7 7
如果你是教练,你如何对两位运动员的设计情况作出评价?如果这次这是一次选拔性考核,你应当如何做出选择?
甲 4 4 5 7 7 7 8 9 9 10乙 5 6 6 7 7 7 7 8 8 9
通过简单的排序和计算,可以发现甲、乙两名运动员射击成绩的平均数、中位数、众数都是7.从这个角度看,两名运动员之间没有差别.但从图中看,甲的成绩比较分散,乙的成绩相对集中,即甲的成绩波动幅度比较大,而乙的成绩比较稳定.可见,他们的射击成绩是存在差异的.那么,如何度量成绩的这种差异呢?
思考1:如何定义“平均距离”?
思考2:标准差的取值范围是什么?标准差为0的一组数据有什么特点?
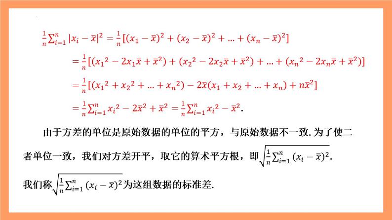
标准差刻画了数据的离散程度或波动幅度,标准差越大,数据的离散程度越大;标准差越小,数据的离散程度越小.显然,在刻画数据的分散程度上,分差和标准差是一样的.但在解决实际问题中,一般多采用标准差. 在实际问题中,总体平均数和总体标准差都是未知的.就像用样本平均数估计总体平均数一样,通常我们也用样本标准差去估计总体标准差.在随机抽样中,样本标准差依赖于样本的选取,具有随机性.
例6 在对树人中学高一年级学生身高的调查中,采用样本量比例分配的分层随机抽样,如果不知道样本数据,只知道抽取了男生23人,其平均数和方差分别为170.6和12.59,抽取了女生27人,其平均数和方差分别为160.6和38.62. 你能由这些数据计算出总样本的方差,并对高一年级全体学生的身高方差作出估计吗?
1. 不经过计算,你能给下列各组数的方差排序吗? (1) 5,5,5,5,5,5,5,5,5; (2) 4,4,4,5,5,5,6,6,6; (3) 3,3,4,4,5,6,6,7,7; (4) 2,2,2,2,5,8,8,8,8.
1 甲、乙两机床同时加工直径为100 cm的零件,为检验质量,从中抽取6件测量数据为(单位:cm):甲:99 100 98 100 100 103乙:99 100 102 99 100 100(1) 分别计算两组数据的平均数及方差;(2) 根据计算说明哪台机床加工零件的质量更稳定.
解 由题图可得,甲、乙两人五次测试的成绩分别为甲:10,13,12,14,16;乙:13,14,12,12,14.
5.对划艇运动员甲、乙在相同的条件下进行了6次测试,测得他们每次的最大速度(m/s)如下:甲:27,38,30,37,35,31乙:33,29,38,34,28,36根据以上数据,试判断他们谁的成绩比较稳定.
6.已知某省二、三、四线城市数量之比为1∶3∶6,2019年8月份调查得知该省所有城市房产均价为1.2万元/平方米,方差为20,二、三、四线城市的房产均价分别为2.4万元/平方米,1.8万元/平方米,0.8万元/平方米,三、四线城市房价的方差分别为10,8,则二线城市房价的方差为________.
7.某校拟派一名跳高运动员参加一项校际比赛,对甲、乙两名跳高运动员进行了8次选拔比赛,他们的成绩(单位:m)如下:甲:1.70,1.65,1.68,1.69,1.72,1.73,1.68,1.67;乙:1.60,1.73,1.72,1.61,1.62,1.71,1.70,1.75.经预测,跳高1.65 m就很可能获得冠军.该校为了获取冠军,可能选哪位选手参赛?若预测跳高1.70 m方可获得冠军呢?
显然,甲的平均成绩高于乙的平均成绩,而且甲的方差小于乙的方差,说明甲的成绩比乙稳定.由于甲的平均成绩高于乙,且成绩稳定,所以若跳高1.65 m就很可能获得冠军,应派甲参赛.在这8次选拔赛中乙有5次成绩在1.70 m以上,虽然乙的平均成绩不如甲,成绩的稳定性也不如甲,但成绩突破1.70 m的可能性大于甲,所以若跳高1.70 m方可获得冠军,应派乙参赛.
人教A版 (2019)必修 第二册9.2 用样本估计总体教课内容课件ppt: 这是一份人教A版 (2019)必修 第二册9.2 用样本估计总体教课内容课件ppt,共30页。PPT课件主要包含了中位数,平均数,温故知新,课堂引入,提出问题,解决问题,引入新知,总体方差和总体标准差,样本方差和样本标准差,课堂典例等内容,欢迎下载使用。
高中数学人教A版 (2019)必修 第二册9.2 用样本估计总体教案配套课件ppt: 这是一份高中数学人教A版 (2019)必修 第二册9.2 用样本估计总体教案配套课件ppt,共29页。PPT课件主要包含了答案A,答案B,答案2,答案11798等内容,欢迎下载使用。
高中数学人教A版 (2019)必修 第二册9.2 用样本估计总体优秀课件ppt: 这是一份高中数学人教A版 (2019)必修 第二册9.2 用样本估计总体优秀课件ppt,共31页。PPT课件主要包含了学习目标,新知学习,标准差,易错辨析,典例剖析,反思感悟,跟踪训练,随堂小测,课堂小结等内容,欢迎下载使用。

