所属成套资源:全套人教A版高中数学必修第一册课时分层作业含答案
人教A版 (2019)必修 第一册5.5 三角恒等变换当堂检测题
展开这是一份人教A版 (2019)必修 第一册5.5 三角恒等变换当堂检测题,文件包含人教A版高中数学必修第一册课时分层作业56简单的三角恒等变换含答案docx、人教A版高中数学必修第一册课时分层作业56答案docx等2份试卷配套教学资源,其中试卷共9页, 欢迎下载使用。
一、选择题
1.已知cs α=-15,π2<α<π,则sin α2等于( )
A.-105B.105
C.-155D.155
2.若π<α<2π,则化简 1-csα-π2的结果是( )
A.sin α2B.cs α2
C.-cs α2D.-sin α2
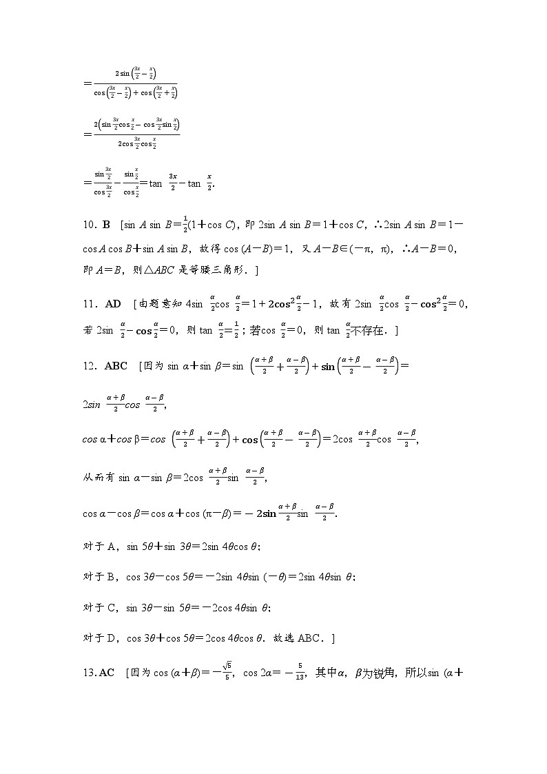
3.sin π4+αcs π4+β化为和差的结果是( )
A.12sin (α+β)+12cs (α-β)
B.12cs (α+β)+12sin (α-β)
C.12sin (α+β)+12sin (α-β)
D.12cs (α+β)+12cs (α-β)
4.(2022·山东胜利一中月考)若α∈0,π2,sin 2α=cs2α,则cs2α的值为( )
A.-35 B.-12 C.0 D.35
5.(多选)下列各式与tan α相等的是( )
A.1-cs2α1+cs2αB.sin2α1+cs2α
C.sin2α1-cs2αD.1-cs2αsin2α
二、填空题
6.求值:sin235°-12cs10°cs80°=________.
7.α为第三象限角,则1+cs2αcsα-1-cs2αsinα=________.
8.若tan α=3,则sin 2α=________.
三、解答题
9.求证:tan 3x2-tan x2=2sinxcsx+cs2x.
10.在△ABC中,若sin A sin B=cs2C2,则△ABC是( )
A.等边三角形B.等腰三角形
C.不等边三角形D.直角三角形
11.(多选)已知2sin α=1+cs α,则tan α2的可能取值为( )
A.12 B.1 C.2 D.不存在
12.(多选)下列等式中错误的是( )
A.sin 5θ+sin 3θ=2sin 8θcs 2θ
B.cs 3θ-cs 5θ=-2sin 4θsin θ
C.sin 3θ-sin 5θ=-12cs 4θcs θ
D.cs 3θ+cs 5θ=2cs 4θcs θ
13.(多选)(2022·辽宁省实验中学月考)已知cs (α+β)=-55,cs 2α=-513,其中α,β为锐角,下列判断正确的是( )
A.sin 2α=1213B.cs (α-β)=19565
C.cs αcs β=8565D.tan αtan β=118
14.化简:cs 3π2-α-tan α21+csα1-csα(0<α<π).
15.某同学在一次研究性学习中发现,以下五个式子的值都等于同一个常数:
①sin213°+cs217°-sin13°cs 17°;
②sin215°+cs215°-sin15°cs 15°;
③sin218°+cs212°-sin18°cs 12°;
④sin2(-18°)+cs248°-sin(-18°)cs 48°;
⑤sin2(-25°)+cs255°-sin (-25°)cs 55°.
(1)请根据②式求出这个常数;
(2)根据(1)的计算结果,将该同学的发现推广为三角恒等式,并证明你的结论.
相关试卷
这是一份高中数学人教A版 (2019)必修 第一册1.1 集合的概念当堂达标检测题,文件包含人教A版高中数学必修第一册课时分层作业5补集含答案docx、人教A版高中数学必修第一册课时分层作业5答案docx等2份试卷配套教学资源,其中试卷共7页, 欢迎下载使用。
这是一份高中数学人教A版 (2019)必修 第一册1.1 集合的概念精练,文件包含人教A版高中数学必修第一册课时分层作业4并集与交集含答案docx、人教A版高中数学必修第一册课时分层作业4答案docx等2份试卷配套教学资源,其中试卷共7页, 欢迎下载使用。
这是一份高中数学人教A版 (2019)必修 第一册4.3 对数巩固练习,文件包含人教A版高中数学必修第一册课时分层作业32对数的运算含答案docx、人教A版高中数学必修第一册课时分层作业32答案docx等2份试卷配套教学资源,其中试卷共7页, 欢迎下载使用。

