2024版新教材高考数学全程一轮总复习高考大题研究课五数列的综合课件
展开题后师说等差数列、等比数列的综合问题是新高考命题的热点之一,对这类问题应重点分析等差、等比数列项之间的关系.数列的求和主要是等差、等比数列的求和、裂项相消法求和及错位相减法求和.
题后师说结构不良试题是近几年新高考命题的新题型,对这类题型的解法是:先定后动,先对题目中确定的条件进行分析推断,再观察分析“动”的条件,结合题干要求选出最适合自己解答的条件求解.
真题展台1.[2022·新高考Ⅱ卷]已知{an}是等差数列,{bn}是公比为2的等比数列,且a2-b2=a3-b3=b4-a4.(1)证明:a1=b1;(2)求集合{k|bk=am+a1,1≤m≤500}中元素的个数.
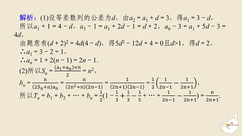
解析:(1)证明:设等差数列{an}的公差为d.由a2-b2=a3-b3,知a1+d-2b1=a1+2d-4b1,故d=2b1.由a2-b2=b4-a4,知a1+d-2b1=8b1-(a1+3d),所以a1+d-2b1=4d-(a1+3d),所以a1+d-2b1=d-a1.整理,得a1=b1,得证.(2)由(1)知d=2b1=2a1.由bk=am+a1,知b1·2k-1=a1+(m-1)·d+a1,即b1·2k-1=b1+(m-1)·2b1+b1,即2k-1=2m.因为1≤m≤500,所以2≤2k-1≤1 000,解得2≤k≤10.故集合{k|bk=am+a1,1≤m≤500}中元素的个数为9.
2024版新教材高考数学全程一轮总复习高考大题研究课一利用导数研究不等式恒能成立问题课件: 这是一份2024版新教材高考数学全程一轮总复习高考大题研究课一利用导数研究不等式恒能成立问题课件,共24页。
2024版新教材高考数学全程一轮总复习高考大题研究课十证明与探索问题课件: 这是一份2024版新教材高考数学全程一轮总复习高考大题研究课十证明与探索问题课件,共28页。
2024版新教材高考数学全程一轮总复习高考大题研究课十一概率与统计的综合问题课件: 这是一份2024版新教材高考数学全程一轮总复习高考大题研究课十一概率与统计的综合问题课件,共53页。

