还剩20页未读,
继续阅读
所属成套资源:2024版新教材高考数学全程一轮总复习课件(69份)
成套系列资料,整套一键下载
2024版新教材高考数学全程一轮总复习高考大题研究课十证明与探索问题课件
展开
这是一份2024版新教材高考数学全程一轮总复习高考大题研究课十证明与探索问题课件,共28页。
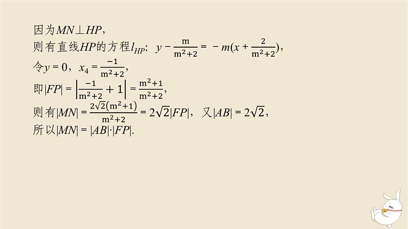
题后师说圆锥曲线中的证明问题,常见的有证明垂直、过定点、线段相等、角相等等,解决的方法就是利用直线与圆锥曲线相交情况下的知识,如弦长公式、韦达定理、斜率公式等,常采用“设而不求”方法.
题型二 探索性问题例2 如图,抛物线E:y2=2px的焦点为F,四边形DFMN为正方形,点M在抛物线E上,过焦点F的直线l交抛物线E于A,B两点,交直线ND于点C.(1)若B为线段AC的中点,求直线l的斜率;(2)若正方形DFMN的边长为1,直线MA,MB,MC的斜率分别为k1,k2,k3,则是否存在实数λ,使得k1+k2=λk3?若存在,求出λ;若不存在,请说明理由.
题后师说存在性问题的解题策略存在性的问题,先假设存在,推证满足条件的结论,若结论正确则存在,若结论不正确则不存在.(1)当条件和结论不唯一时要分类讨论.(2)当给出结论而要推导出存在的条件时,先假设成立,再推出条件.(3)当要讨论的量能够确定时,可先确定,再证明结论符合题意.
相关课件
2024版新教材高考数学全程一轮总复习高考大题研究课一利用导数研究不等式恒能成立问题课件:
这是一份2024版新教材高考数学全程一轮总复习高考大题研究课一利用导数研究不等式恒能成立问题课件,共24页。
2024版新教材高考数学全程一轮总复习高考大题研究课五数列的综合课件:
这是一份2024版新教材高考数学全程一轮总复习高考大题研究课五数列的综合课件,共28页。PPT课件主要包含了题后师说等内容,欢迎下载使用。
2024版新教材高考数学全程一轮总复习高考大题研究课十一概率与统计的综合问题课件:
这是一份2024版新教材高考数学全程一轮总复习高考大题研究课十一概率与统计的综合问题课件,共53页。

