2025版高考数学全程一轮复习第八章解析几何高考大题研究课九圆锥曲线中的最值范围问题课件
展开会用直线与圆锥曲线、函数、不等式的有关知识解决最值、范围问题,提高学生分析问题、解决问题的能力.
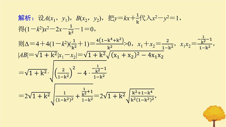
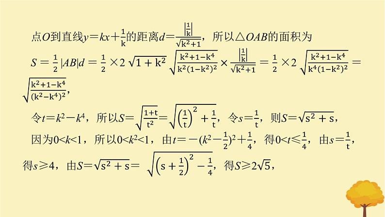
题后师说圆锥曲线中最值的求法(1)几何法:若题目的条件和结论能明显体现几何特征及意义,则考虑利用图形性质来解决.(2)代数法:若题目的条件和结论能体现一种明确的函数,则可首先建立目标函数,再求这个函数的最值,求函数最值的常用方法有配方法、判别式法、基本不等式法及函数的单调性法等.
题后师说解圆锥曲线中范围问题的策略
巩固训练2[2024·吉林长春模拟]已知抛物线x2=2py(p>0)焦点为F,点A(4,m)在抛物线上,|AF|=5.(1)求抛物线方程;
(2)过焦点F直线l与抛物线交于M,N两点,若MN最小值为4,且∠MAN是钝角,求直线斜率范围.
2025版高考数学一轮复习真题精练第八章平面解析几何第32练圆锥曲线中的最值或范围问题课件: 这是一份2025版高考数学一轮复习真题精练第八章平面解析几何第32练圆锥曲线中的最值或范围问题课件,共16页。
2024版新教材高考数学全程一轮总复习高考大题研究课七立体几何中的翻折探究及最值问题课件: 这是一份2024版新教材高考数学全程一轮总复习高考大题研究课七立体几何中的翻折探究及最值问题课件,共38页。
2024版新教材高考数学全程一轮总复习高考大题研究课九最值与范围问题课件: 这是一份2024版新教材高考数学全程一轮总复习高考大题研究课九最值与范围问题课件,共33页。

