还剩42页未读,
继续阅读
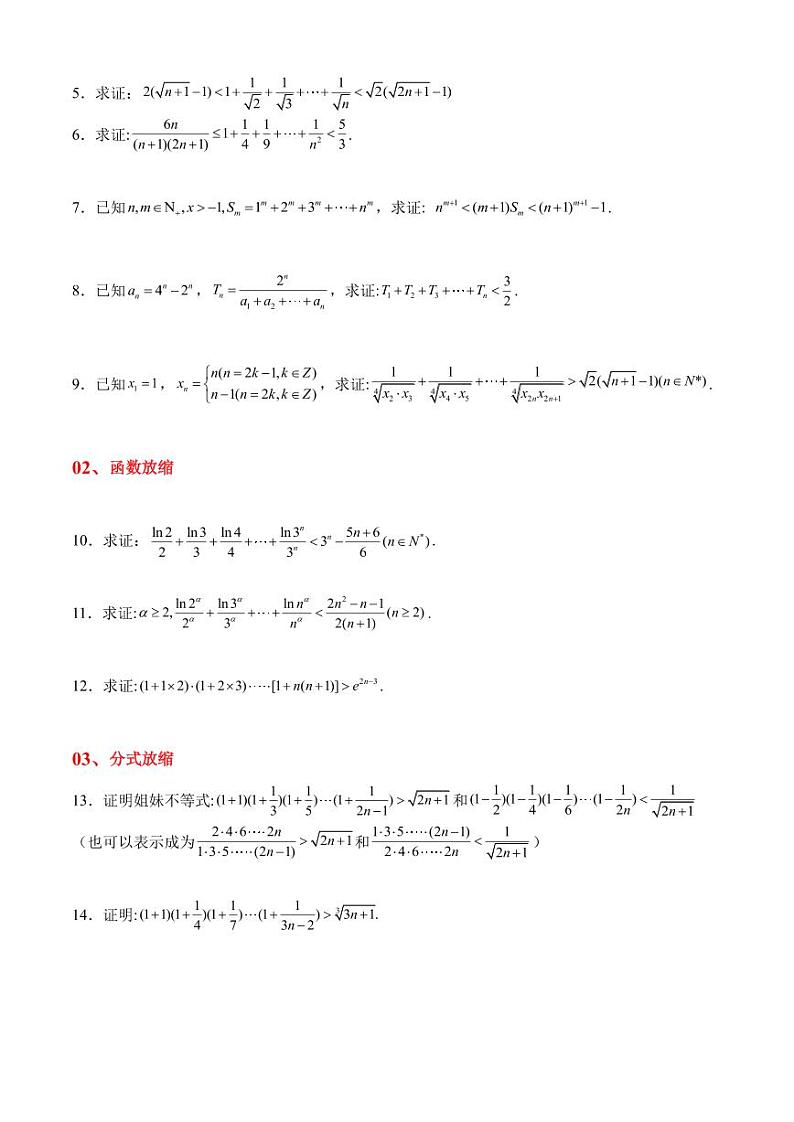
放缩法在解答数列题中的应用技巧(十一种放缩方法全归纳)共45页
展开
这是一份放缩法在解答数列题中的应用技巧(十一种放缩方法全归纳)共45页,共45页。
相关学案
第26节 指对共生式技巧之切线放缩 讲义——高考数学一轮复习导数从入门到精通:
这是一份第26节 指对共生式技巧之切线放缩 讲义——高考数学一轮复习导数从入门到精通,文件包含导数从入门到精通---第二十六节指对共生式技巧之切线放缩-原卷版docx、导数从入门到精通---第二十六节指对共生式技巧之切线放缩-解析版docx等2份学案配套教学资源,其中学案共17页, 欢迎下载使用。
高中数学讲义——放缩法证明数列不等式:
这是一份高中数学讲义——放缩法证明数列不等式,共18页。学案主要包含了基础知识,典型例题等内容,欢迎下载使用。
【最新】2023版高中高考数学二轮专题复习微专题12 数列中的不等式证明及放缩问题:
这是一份【最新】2023版高中高考数学二轮专题复习微专题12 数列中的不等式证明及放缩问题,共14页。

