还剩21页未读,
继续阅读
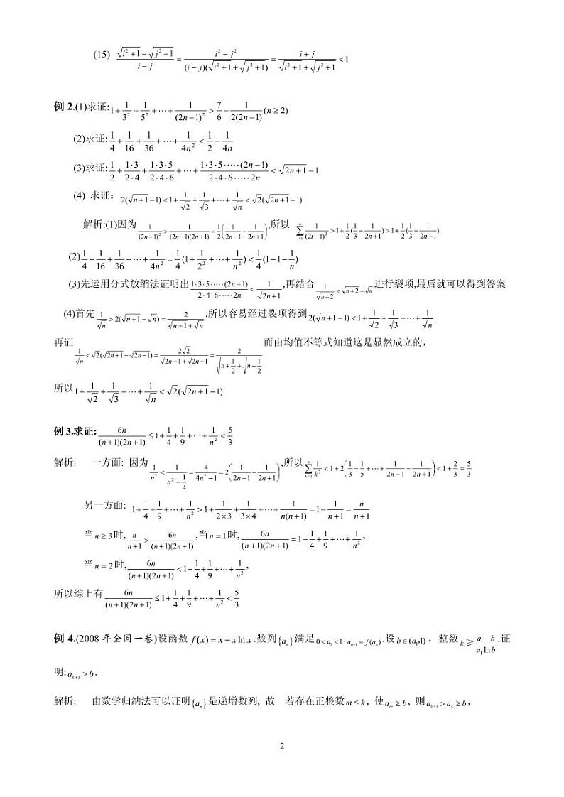
高考数学二轮专题复习——放缩法技巧大全
展开
这是一份高考数学二轮专题复习——放缩法技巧大全,共24页。
相关试卷
2024年高考数学第二轮专题复习专题15:不等式放缩法9页:
这是一份2024年高考数学第二轮专题复习专题15:不等式放缩法9页,共9页。试卷主要包含了已知,,其中为自然对数的底数,已知函数,曲线在处的切线方程为,已知,曲线在,处的切线方程为,设函数,已知在处有极值等内容,欢迎下载使用。
新高考数学二轮复习突破练习 放缩法在解答数列题中的应用技巧(11种放缩方法全归纳)(2份打包,原卷版+解析版):
这是一份新高考数学二轮复习突破练习 放缩法在解答数列题中的应用技巧(11种放缩方法全归纳)(2份打包,原卷版+解析版),文件包含放缩法在解答数列题中的应用技巧十一种放缩方法全归纳学生版pdf、放缩法在解答数列题中的应用技巧十一种放缩方法全归纳教师版pdf等2份试卷配套教学资源,其中试卷共48页, 欢迎下载使用。
高考数学二轮专题复习——数列型不等式的放缩方法与技巧:
这是一份高考数学二轮专题复习——数列型不等式的放缩方法与技巧,共4页。试卷主要包含了部分放缩,添减项放缩等内容,欢迎下载使用。

