资料中包含下列文件,点击文件名可预览资料内容
还剩30页未读,
继续阅读
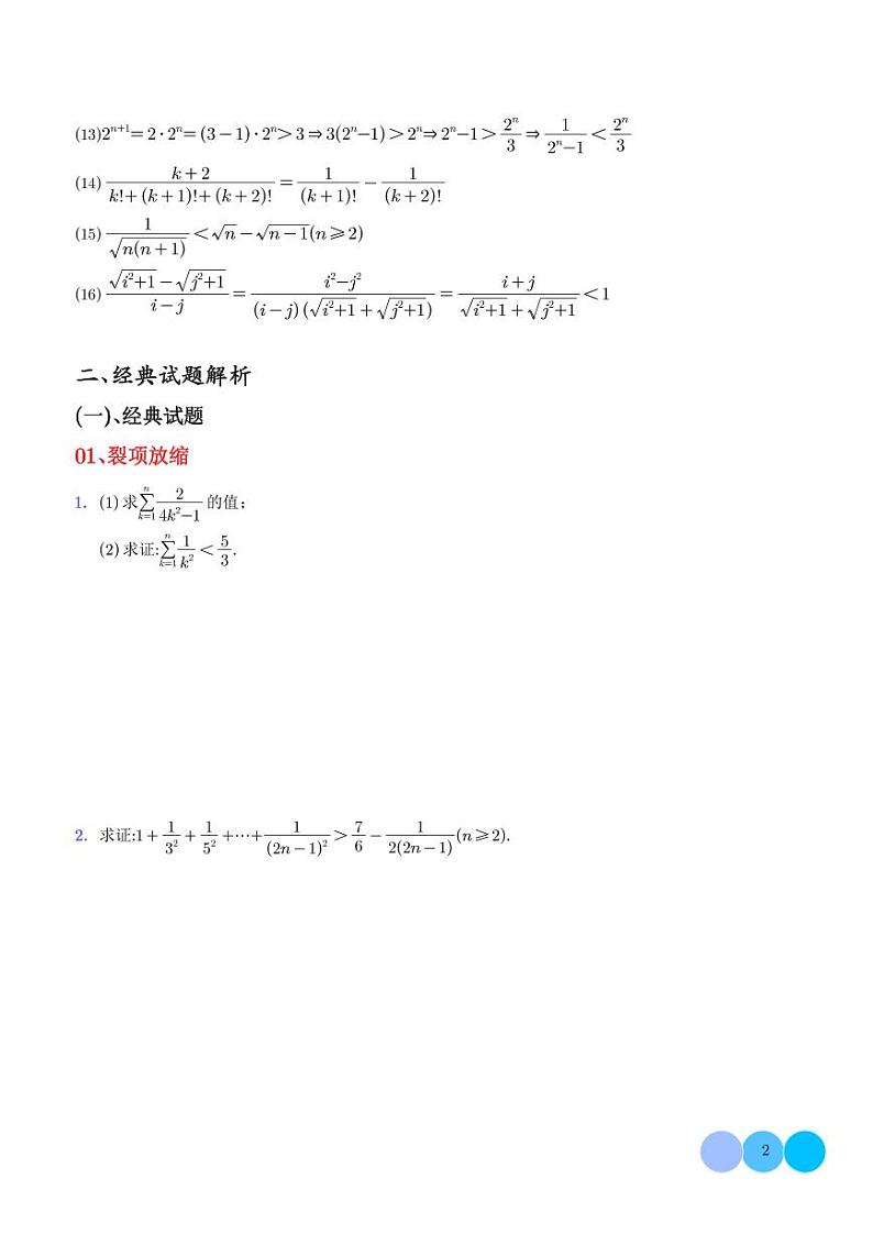
新高考数学二轮复习突破练习 放缩法在解答数列题中的应用技巧(11种放缩方法全归纳)(2份打包,原卷版+解析版)
展开
这是一份新高考数学二轮复习突破练习 放缩法在解答数列题中的应用技巧(11种放缩方法全归纳)(2份打包,原卷版+解析版),文件包含放缩法在解答数列题中的应用技巧十一种放缩方法全归纳学生版pdf、放缩法在解答数列题中的应用技巧十一种放缩方法全归纳教师版pdf等2份试卷配套教学资源,其中试卷共48页, 欢迎下载使用。
相关试卷
新高考数学二轮复习突破练习 同构携手放缩(2份打包,原卷版+解析版):
这是一份新高考数学二轮复习突破练习 同构携手放缩(2份打包,原卷版+解析版),文件包含同构携手放缩pdf、同构携手放缩学生版pdf等2份试卷配套教学资源,其中试卷共19页, 欢迎下载使用。
高考数学二轮专题复习——数列型不等式的放缩方法与技巧:
这是一份高考数学二轮专题复习——数列型不等式的放缩方法与技巧,共4页。试卷主要包含了部分放缩,添减项放缩等内容,欢迎下载使用。
新高考数学二轮培优专题 泰勒展开解密放缩法和高考命题方法(原卷版+解析版):
这是一份新高考数学二轮培优专题 泰勒展开解密放缩法和高考命题方法(原卷版+解析版),共23页。

