所属成套资源:2023届高三数学二轮复习大题强化训练含解析(15份)
2023届高三数学二轮复习大题强化训练11含解析
展开
这是一份2023届高三数学二轮复习大题强化训练11含解析,共8页。试卷主要包含了在中,,知数列的前n项和为,,,,已知函数等内容,欢迎下载使用。
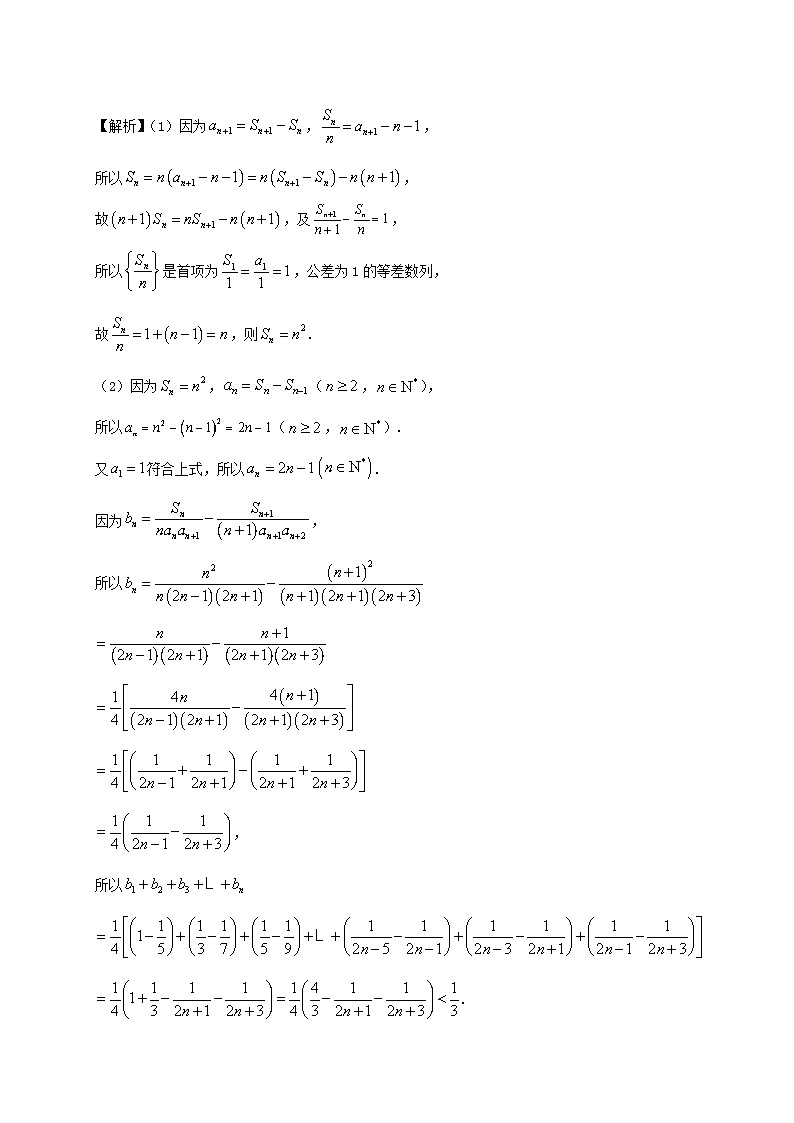
2023届大题强化训练(11)1.在中,.(1)求角;(2)若为中点,求的余弦值.【答案】(1)(2)【解析】(1)由正弦定理,,因为,故,则,即.又,故,故,故(2)由余弦定理,故,.在中由余弦定理可得.在中由余弦定理可得,故.在中由余弦定理,即的余弦值为.2.知数列的前n项和为,,,.(1)求;(2)令,证明:.【答案】(1) (2)证明见解析【解析】(1)因为,,所以, 故,及,所以是首项为,公差为1的等差数列, 故,则.(2)因为,(,),所以(,).又符合上式,所以. 因为,所以, 所以.3.已知四棱锥的底面为直角梯形,平面,.(1)若点是棱上的动点请判断下列条件:①直线AM与平面ABCD所成角的正切值为;②中哪一个条件可以推断出平面(无需说明理由),并用你的选择证明该结论;(2)若点为棱上的一点(不含端点),试探究上是否存在一点N,使得平面ADN平面BDN?若存在,请求出的值,若不存在,请说明理由.【答案】(1)②,证明见解析 (2)存在,【解析】(1)条件②可以推断平面.如图,连接,相交于点,连EM.在梯形中,有,,.又因为,所以,故,又平面,平面,所以平面.故当时,平面.(2)以A为原点,AD,AB,AP分别为x轴,y轴,z轴建立如图所示坐标系,则A(0,0,0),D(1,0,0),P(0,0,1),C(1,1,0),B(0,2,0),设,则对于平面ADN,设其法向量,满足,即,故取对于平面BDN,设其法向量,满足,即,故取,若平面ADN平面BDN,则,即,解得,此时N为PC的中点,.4.2022年10月1日,女篮世界杯落幕,时隔28年,中国队再次获得亚军,追平历史最佳成绩.为考察某队员甲对球队的贡献,教练对近两年甲参加过的100场比赛进行统计:甲在前锋位置出场20次,其中球队获胜14次;中锋位置出场30次,其中球队获胜21次;后卫位置出场50次,其中球队获胜40次.用该样本的频率估计概率,则:(1)甲参加比赛时,求该球队某场比赛获胜的概率;(2)现有小组赛制如下:小组共6支球队,进行单循环比赛,即任意两支队伍均有比赛,规定至少3场获胜才可晋级.教练决定每场比赛均派甲上场,已知甲所在球队顺利晋级,记其获胜的场数为X,求X的分布列和数学期望.【答案】(1)(2)分布列见解析,【解析】(1)设“甲担任前锋”;“甲担任中锋”;“甲担任后卫”;“某场比赛中该球队获胜”;则,,,,,,由全概率公式可得:.所以甲参加比赛时,该球队某场比赛获胜的概率是.(2)设“5场中有场获胜”,“甲所在球队顺利晋级”,;;,则,,同理可得,,则的分布列为:3455.已知椭圆的右焦点为F,P,Q分别为右顶点和上顶点,O为坐标原点,(e为椭圆的离心率),的面积为.(1)求E的方程;(2)设四边形是椭圆E的内接四边形,直线与的倾斜角互补,且交于点,求证:直线与交于定点.【答案】(1)(2)证明见解析【解析】(1)∵,∴,∴,又,,∴,,∴椭圆E的方程为.(2)∵直线与的倾斜角互补,且交于点,∴直线与关于x轴对称,∴A与D,B与C分别关于x轴对称.设,,则,,∴直线的方程为,直线的方程为,联立解得,,∴直线与交于点.设直线的方程为,与椭圆E的方程联立得,由题意得,,解得,又,,∴,∴直线与交于定点.6.已知函数(其中为自然对数的底数).(1)当时,求证:函数图象上任意一点处的切线斜率均大于;(2)若对于任意的,恒成立,求实数的取值范围.【答案】(1)证明见解析;(2).【解析】(1)证明:时,,,设,则,令,解得:,故在区间上单调递减,在上单调递增,故的最小值是,即对任意恒成立,故函数图象上任意一点处的切线斜率均大于;(2)先证对任意,,,令,,令,解得:,故在区间递增,在递减,故,故,令,,,令,解得:,故在区间递减,在区间递增,故,故,递增,故,故,,,对于任意,恒成立,,故,当时,,即对于任意的,恒成立,综上:的取值范围是.
相关试卷
这是一份2023届高三数学二轮复习大题强化训练15含解析,共9页。试卷主要包含了已知为数列的前项和,.,6),,已知F1在C上.,已知,函数等内容,欢迎下载使用。
这是一份2023届高三数学二轮复习大题强化训练14含解析,共10页。试卷主要包含了数列的前n项和为,且.,已知函数在处的切线方程为,150,879等内容,欢迎下载使用。
这是一份2023届高三数学二轮复习大题强化训练13含解析,共9页。试卷主要包含了 已知数列满足,且.,在中,内角的对边分别为,.,已知函数,为函数的导函数,15,879等内容,欢迎下载使用。

