初中数学青岛版八年级上册3.5 分式的加法与减法优秀习题课件ppt
展开《分式的加法与减法》习题
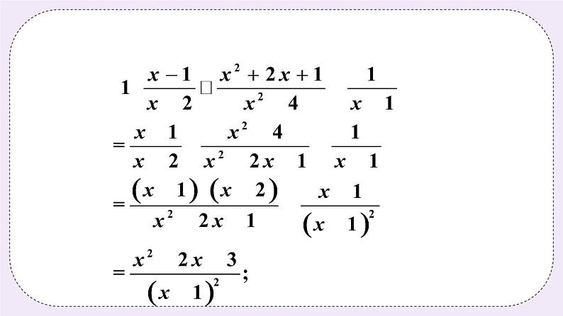
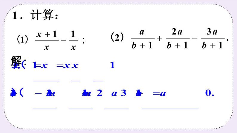
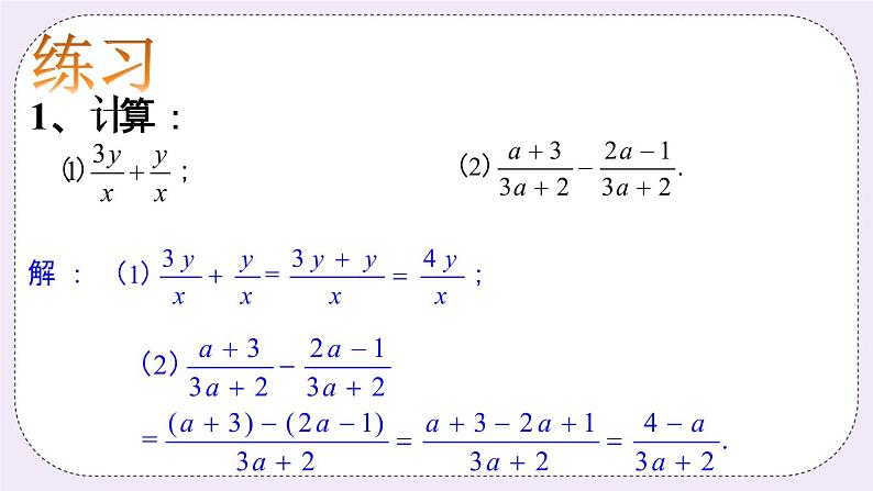
1、计算
(1)(2)
(3)(4)
2、化简求值:其中a=2.
3、已知,求.
4、一项工程,甲工程队单独完成需要m天,乙工程队单独完成比甲队单独完成多需要n天时间,那么甲、乙工程队合做需要多少天能够完成此项工程?
初中数学青岛版八年级上册3.5 分式的加法与减法精品课件ppt: 这是一份初中数学青岛版八年级上册3.5 分式的加法与减法精品课件ppt,共12页。PPT课件主要包含了例1计算,例2计算等内容,欢迎下载使用。
青岛版八年级上册3.5 分式的加法与减法精品ppt课件: 这是一份青岛版八年级上册3.5 分式的加法与减法精品ppt课件,共14页。
初中数学青岛版七年级上册2.1 有理数精品习题课件ppt: 这是一份初中数学青岛版七年级上册2.1 有理数精品习题课件ppt,文件包含《利用计算器进行有理数的运算》课件ppt、《利用计算器进行有理数的运算》教案doc、练习_利用计算器进行有理数的运算ppt、导入_利用计算器进行有理数的运算ppt、拓展_利用计算器进行有理数的运算ppt、《利用计算器进行有理数的运算》习题1doc、《利用计算器进行有理数的运算》习题2doc、电子计算器swf、电子计算器的认识与使用swf等9份课件配套教学资源,其中PPT共19页, 欢迎下载使用。

