- 5.5.2 简单的三角恒等变换 第3课时 试卷 试卷 0 次下载
- 5.5.2简单的三角恒等变换 第1课时 试卷 试卷 0 次下载
- 5.5.2简单的三角恒等变换 第2课时 试卷 试卷 0 次下载
- 5.5.4简单的三角恒等变换(一) 试卷 试卷 0 次下载
- 5.7三角函数的应用 试卷 试卷 0 次下载
数学必修 第一册第五章 三角函数5.5 三角恒等变换精品复习练习题
展开简单的三角恒等变换(二 )
一、选择题
1.函数f(x)=cos2,x∈R,则f(x)( )
A.是奇函数B.是偶函数
C.既是奇函数,也是偶函数D.既不是奇函数,也不是偶函数
2.已知=,则的值为( )
A. B.- C. D.-
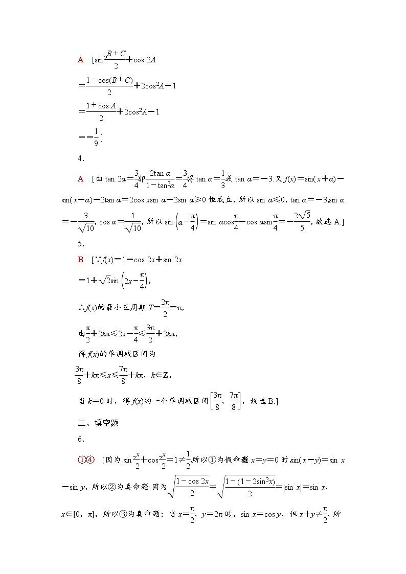
3.在△ABC中,若cos A=,则sin2+cos 2A=( )
A.- B. C.- D.
4.已知tan 2α=,α∈,函数f(x)=sin(x+α)-sin(x-α)-2sin α,且对任意的实数x,不等式f(x)≥0恒成立,则sin的值为( )
A.- B.- C.- D.-
5.已知f(x)=2sin2x+2sin xcos x,则f(x)的最小正周期和一个单调减区间分别为( )
A.2π, B.π,
C.2π, D.π,
二、填空题
6.有以下四个关于三角函数的命题:
①∃x0∈R,sin2+cos2=;②∃x0,y0∈R,sin(x0-y0)=sin x0-sin y0;③∀x∈[0,π],=sin x;④sin x=cos y⇒x+y=.
其中假命题的序号为________.
7.化简下列各式:
(1)<α<,则=________.
(2)α为第三象限角,则-=________.
8.函数f(x)=cos 2x+4sin x的值域是________.
三、解答题
9.求证:tan-tan=.
10.已知函数f(x)=2cos2,g(x)=2.
(1)求证:f=g(x);
(2)求函数h(x)=f(x)-g(x)(x∈[0,π]的单调区间,并求使h(x)取到最小值时x的值.
参考答案
一、选择题
1.
D [原式=
=(1-sin 2x)
=-sin 2x,
此函数既不是奇函数也不是偶函数.]
2.
B [∵·===-1
且=,∴=-.]
3
A [sin2+cos 2A
=+2cos2A-1
=+2cos2A-1
=-.]
4.
A [由tan 2α=,即=,得tan α=或tan α=-3.又f(x)=sin(x+α)-sin(x-α)-2tan α=2cos xsin α-2sin α≥0恒成立,所以sin α≤0,tan α=-3,sin α=-,cos α=,所以sin=sin αcos-cos αsin=-,故选A.]
5.
B [∵f(x)=1-cos 2x+sin 2x
=1+sin,
∴f(x)的最小正周期T==π,
由+2kπ≤2x-≤+2kπ,
得f(x)的单调减区间为
+kπ≤x≤+kπ,k∈Z,
当k=0时,得f(x)的一个单调减区间,故选B.]
二、填空题
6.
①④ [因为sin2+cos2=1≠,所以①为假命题;当x=y=0时,sin(x-y)=sin x-sin y,所以②为真命题;因为==|sin x|=sin x,x∈[0,π],所以③为真命题;当x=,y=2π时,sin x=cos y,但x+y≠,所以④为假命题.]
7.
(1)sin α-cos α (2)0 [(1)∵α∈,∴sin α>cos α,
∴=
=
==sin α-cos α.
(2)∵α为第三象限角,∴cos α<0,sin α<0,
∴-=-
=-=0.]
8.
[-5,3] [f(x)=cos 2x+4sin x=1-2sin2x+4sin x=-2(sin x-1)2+3.
当sin x=1时,f(x)取得最大值3,
当sin x=-1时,f(x)取得最小值-5,
所以函数f(x)的值域为[-5,3].]
三、解答题
9.
[证明] 法一:(由左推右)tan-tan
=-
=
=
=
=
=.
法二:(由右推左)
=
=
=-=tan-tan.
10.
[解] (1)证明过程如下:f(x)=2cos2=1+cos x,
g(x)=2
=1+2sincos
=1+sin x,
∵f=1+cos=1+sin x,
∴f=g(x),命题得证.
(2)函数h(x)=f(x)-g(x)=cos x-sin x
=
=cos,
∵x∈[0,π],
∴≤x+≤,
当≤x+≤π,即0≤x≤时,h(x)递减,
当π≤x+≤,即≤x≤π时,h(x)递增.
∴函数h(x)的单调递减区间为,
单调递增区间为,
根据函数h(x)的单调性,可知当x=时,函数h(x)取到最小值.
高中5.5 三角恒等变换课后测评: 这是一份高中5.5 三角恒等变换课后测评,共6页。试卷主要包含了思考辨析等内容,欢迎下载使用。
人教A版 (2019)必修 第一册5.5 三角恒等变换精品精练: 这是一份人教A版 (2019)必修 第一册5.5 三角恒等变换精品精练,共5页。试卷主要包含了选择题,填空题,解答题等内容,欢迎下载使用。
人教A版 (2019)必修 第一册5.5 三角恒等变换精品第2课时测试题: 这是一份人教A版 (2019)必修 第一册5.5 三角恒等变换精品第2课时测试题,共9页。试卷主要包含了选择题,填空题,解答题等内容,欢迎下载使用。

