- 5.5.2 简单的三角恒等变换 第3课时 试卷 试卷 0 次下载
- 5.5.2简单的三角恒等变换 第1课时 试卷 试卷 0 次下载
- 5.5.2简单的三角恒等变换 第2课时 试卷 试卷 0 次下载
- 5.5.5简单的三角恒等变换(二) 试卷 试卷 0 次下载
- 5.7三角函数的应用 试卷 试卷 0 次下载
人教A版 (2019)必修 第一册5.5 三角恒等变换精品精练
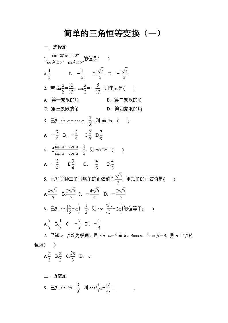
展开简单的三角恒等变换(一)
一、选择题
1.的值是( )
A. B.- C. D.-
2.若sin=,cos=-,则角α是( )
A.第一象限的角 B.第二象限的角
C.第三象限的角 D.第四象限的角
3.已知sin α-cos α=,则sin 2α=( )
A.- B.- C. D.
4.若=,则tan 2α=( )
A.- B. C.- D.
5.已知等腰三角形底角的正弦值为,则顶角的正弦值是( )
A. B. C.- D.-
6.已知sin=,则cos的值等于( )
A. B. C.- D.-
7.已知α,β均为锐角,且3sin α=2sin β,3cos α+2cos β=3,则α+2β的值为( )
A. B. C. D.π
二、填空题
8.已知sin 2α=,则cos2=________.
9.已知tan α=-,则=________.
10.已知sin22α+sin 2αcos α-cos 2α=1,则锐角α=________.
三解答题
11.求证:=tan.
12.知sin α+cos α=,且∈(0,π).
(1)求tan 2α的值;
(2)求2sin2-sin.
参考答案
一、选择题
1.
A [原式====.]
2.
C [∵sin α=2sincos=2××<0,
cos α=cos2-sin2=2-2<0,
∴α是第三象限的角.]
3.
A [∵sin α-cos α=,
∴1-2sin αcos α=,
即1-sin 2α=,∴sin 2α=-.]
4.
A.- B. C.- D.
B [因为=,
整理得tan α=-3,
所以tan 2α===.]
5.
A [设底角为θ,则θ∈,顶角为180°-2θ.
∵sin θ=,∴cos θ==,
∴sin(180°-2θ)=sin 2θ=2sin θcos θ
=2××=.]
6.
C [因为cos=sin
=sin=,
所以cos=2cos2-1
=2×2-1=-.]
7.
D [由题意得
①2+②2得cos β=,cos α=,
由α,β均为锐角知,sin β=,sin α=,
∴tan β=2,tan α=,∴tan 2β=-,
∴tan(α+2β)=0.又α+2β∈,
∴α+2β=π.故选D.]
二、填空题
8.
[cos2====.]
9.
- [===tan α-=-.]
10.
[由原式,得sin22α+sin 2αcos α-2cos2α=0,
∴(2sin αcos α)2+2sin αcos2α-2cos2α=0,
∴2cos2α(2sin2α+sin α-1)=0,
∴2cos2α(2sin α-1)(sin α+1)=0.
∵α为锐角,
∴cos2α≠0,sin α+1≠0,
∴2sin α-1=0,
∴sin α=,
∴α=.]
三、解答题
11.
[证明]
=
==tan.
12.
[解] (1)由sin α+cos α=,得sin αcos α=-,因为α∈(0,π),所以α∈,
所以sin α-cos α
==,
解得sin α=,cos α=-,
故tan α=-,
所以tan 2α==.
(2)2sin2-sin
=1-cos-sin
=1-cos α+sin α-sin α-cos α
=1-cos α
=.
2024高考数学第一轮复习:4.5 简单的三角恒等变换(学生版): 这是一份2024高考数学第一轮复习:4.5 简单的三角恒等变换(学生版),共11页。
2024高考数学第一轮复习:4.5 简单的三角恒等变换(解析版): 这是一份2024高考数学第一轮复习:4.5 简单的三角恒等变换(解析版),共24页。
高中5.5 三角恒等变换课后测评: 这是一份高中5.5 三角恒等变换课后测评,共6页。试卷主要包含了思考辨析等内容,欢迎下载使用。

