【最新版】高中数学(新人教B版)习题+同步课件模块检测卷(A)
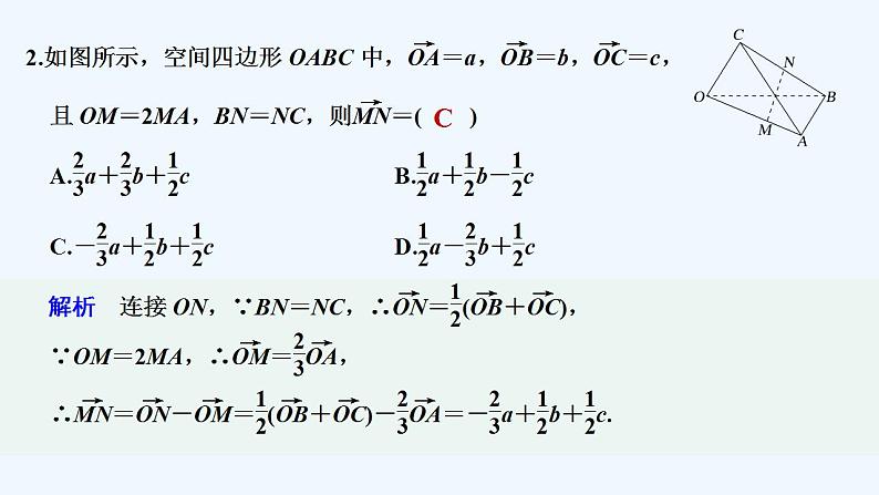
展开模块检测卷(A)(时间:120分钟 满分:150分)一、单项选择题(本题共8小题,每小题5分,共40分.在每小题给出的四个选项中,只有一项是符合题目要求的)1.已知直线ax+y-2+a=0在两坐标轴上的截距相等,则实数a=( ) A.1 B.-1 C.-2或1 D.2或1D解析 由题意,当-2+a=0,即a=2时,直线ax+y-2+a=0化为2x+y=0,此时直线在两坐标轴上的截距都为0,满足题意;综上所述,实数a=2或a=1.故选D.C3.过抛物线y2=8x的焦点作直线交抛物线于A,B两点,若线段AB的中点的横坐标为4,则|AB|=( ) A.6 B.8 C.12 D.16C解析 设A(x1,y1),B(x2,y2),抛物线的焦点为F,则F(2,0).易得|AF|=x1+2,|BF|=x2+2,故|AB|=|AF|+|BF|=x1+x2+4,因为线段AB的中点的横坐标为4,所以x1+x2=8,所以|AB|=12.4.直线l1:(a+2)x+(1-a)y-1=0与l2:(a-1)x+(2a+3)y+2=0互相垂直,则实数a的值是( ) A.-1 B.1 C.-1或1 D.以上都不对C解析 由题意(a+2)(a-1)+(1-a)(2a+3)=0,解得a=1或-1.AD解析 如图,以运行轨道的中心为原点,长轴所在直线为x轴建立平面直角坐标系,令地心F2为椭圆的右焦点,7.如图所示,在正方体ABCD-A1B1C1D1中,已知M,N分别是BD和AD的中点,则B1M与D1N所成角的余弦值为( )C解析 建立如图所示的坐标系.设正方体的棱长为2,则B1(2,2,2),M(1,1,0),D1(0,0,2),N(1,0,0),C二、多项选择题(本题共4小题,每小题5分,共20分.在每小题给出的四个选项中,有多项符合题目要求,全部选对的得5分,部分选对的得2分,有选错的得0分)9.如图,在长方体ABCD-A1B1C1D1中,AB=5,AD=4,AA1=3,以直线DA,DC,DD1分别为x轴、y轴、z轴,建立空间直角坐标系,则( )ACD解析 根据题意知点B1的坐标为(4,5,3),A正确;B的坐标为(4,5,0),C1的坐标为(0,5,3),故点C1关于B对称的点为(8,5,-3),B错误;所以四边形ABC1D1为正方形,AC1与BD1垂直且平分,即点A关于直线BD1对称的点为C1(0,5,3),C正确;点C关于平面ABB1A1对称的点为(8,5,0),D正确.ABD当λ>0且λ≠1时,可得M的轨迹为椭圆;当λ=1时,可得M的轨迹为圆;当λ<0时,可得M的轨迹为双曲线.ADADA.AC⊥AFB.EF∥平面ABCDC.三棱锥ABEF的体积为定值D.△AEF的面积与△BEF的面积相等解析 由题意及图形知,当点F与点B1重合时,∠CAF=60°,故A错误;由正方体ABCDA1B1C1D1的两个底面平行,EF⊂平面A1B1C1D1,知EF∥平面ABCD,故B正确;由几何体的性质及图形知,三角形BEF的面积是定值,点A到平面DD1B1B的距离是定值,故可得三棱锥ABEF的体积为定值,故C正确;由图形可以看出,B到直线EF的距离与A到直线EF的距离不相等,故△AEF的面积与△BEF的面积不相等,故D错误.故选AD.三、填空题(本题共4小题,每小题5分,共20分)13.已知空间向量a=(1,n,2),b=(-2,1,2).若2a-b与b垂直,则|a|=________.解析 ∵a=(1,n,2),b=(-2,1,2),∴2a-b=(4,2n-1,2).∵2a-b与b垂直,∴(2a-b)·b=0,14.点P(2,3)到直线l:ax+y-2a=0的距离为d,则d的最大值为________.3解析 直线方程即y=-a(x-2),据此可知直线恒过定点M(2,0),当直线l⊥PM时,d有最大值,16.已知直线y=x-1与抛物线y2=2px(p>0)交于A,B两点.若直线过抛物线的焦点,则抛物线的准线方程为________;若OA⊥OB,则p的值为________.x=-118.(12分)如图,过抛物线y2=x上一点A(4,2)作倾斜角互补的两条直线AB,AC交抛物线于B,C两点,求证:直线BC的斜率是定值.证明 设kAB=k(k≠0),∵直线AB,AC的倾斜角互补,∴kAC=-k(k≠0).∴AB的方程是y=k(x-4)+2,AC的方程是y=-k(x-4)+2.消去y后,整理得k2x2+(-8k2+4k-1)x+16k2-16k+4=0.∵A(4,2),B(xB,yB)的横坐标是上述方程组的解,∴直线BC的斜率为定值.(2)是否存在实数m,使直线l:x-y+m=0与椭圆交于A,B两点,且线段AB的中点在圆x2+y2=5上?若存在,求出m的值;若不存在,请说明理由.所以Δ=(2m)2-4×3·(m2-2)>0,即m2<3,解得m=±3,与m2<3矛盾,故实数m不存在.与m2<3矛盾,故实数m不存在.(2)若M是曲线E上的一个动点,直线l′:y=x+4,求点M到直线l′的距离的最小值.解 设M(x,y),过M与直线l′平行且与双曲线相切的直线l1的方程为y=x+m.解得m=±1,当m=1时,x2+4x+4=0,解得x1=x2=-2,由x>0可知x=-2舍去;当m=-1时,x2-4x+4=0,解得x1=x2=2,符合题意.(1)过BD作截面与线段FC交于点N,使得AF∥平面BDN,试确定点N的位置,并予以证明;证明 当N为CF的中点时,AF∥平面BDN.连接AC交BD于M,连接MN.∵四边形ABCD是矩形,∴M是AC的中点,∵N是CF的中点,∴MN∥AF,又AF⊄平面BDN,MN⊂平面BDN,∴AF∥平面BDN.(2)在(1)的条件下,求直线BN与平面ABF所成角的正弦值.解 过F作FO⊥平面ABCD,垂足为O,过O作x轴⊥AB,作y轴⊥BC于P,则P为BC的中点,以O为原点,建立如图所示的空间直角坐标系,设AD=1,解 抛物线y2=12x的焦点坐标为(3,0).由题意,椭圆的一个焦点坐标为(3,0),所以另一个焦点是(-3,0),c=3.根据椭圆的定义有(2)若直线y=kx+m与椭圆C交于A,B两点,以OA,OB为邻边作平行四边形OACB,点C在椭圆上,问平行四边形OACB的面积是否为定值?若是定值,求出该定值;若不是,说明理由.将②代入①整理得(1+4k2)x2+8kmx+4m2-12=0,Δ=64k2m2-16(1+4k2)(m2-3)=16(3-m2+12k2)>0,
【最新版】高中数学(新人教B版)习题+同步课件章末检测卷(一): 这是一份【最新版】高中数学(新人教B版)习题+同步课件章末检测卷(一),文件包含章末检测卷一pptx、章末检测卷一DOCX等2份课件配套教学资源,其中PPT共35页, 欢迎下载使用。
【最新版】高中数学(新人教B版)习题+同步课件模块检测卷(B): 这是一份【最新版】高中数学(新人教B版)习题+同步课件模块检测卷(B),文件包含模块检测卷Bpptx、模块检测卷BDOCX等2份课件配套教学资源,其中PPT共46页, 欢迎下载使用。
【最新版】高中数学(新人教A版)习题+同步课件模块检测卷: 这是一份【最新版】高中数学(新人教A版)习题+同步课件模块检测卷,文件包含模块检测卷pptx、模块检测卷DOCX等2份课件配套教学资源,其中PPT共40页, 欢迎下载使用。

