【最新版】高中数学(新人教B版)习题+同步课件章末检测卷(一)
展开章末检测卷(一)
(时间:120分钟 满分:150分)
第一章 空间向量与立体几何
一、单项选择题(本题共8小题,每小题5分,共40分.在每小题给出的四个选项中,只有一项是符合题目要求的)1.若a=(2,-1,0),b=(3,-4,7),且(λa+b)⊥a,则λ的值是( ) A.0 B.1 C.-2 D.2 解析 λa+b=λ(2,-1,0)+(3,-4,7) =(3+2λ,-4-λ,7). ∵(λa+b)⊥a,∴(λa+b)·a=0, ∴2(3+2λ)+4+λ=0,即λ=-2.
C
A.四点O,A,B,C必共面B.四点P,A,B,C必共面C.四点O,P,B,C必共面D.五点O,P,A,B,C必共面
B
D
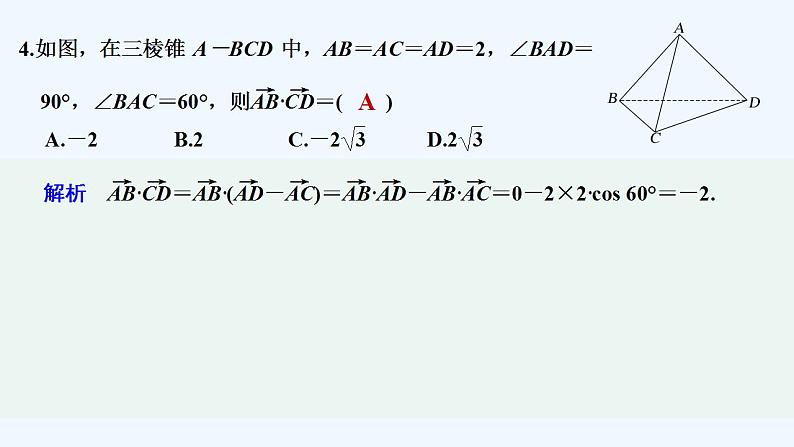
A
B
6.已知空间三点O(0,0,0),A(-1,1,0),B(0,1,1),在直线OA上有一点H满足BH⊥OA,则点H的坐标为( )
C
B
不妨令x=3,则y=12,z=4,可得n=(3,12,4),
B
二、多项选择题(本题共4小题,每小题5分,共20分.在每小题给出的四个选项中,有多项符合题目要求,全部选对的得5分,部分选对的得2分,有选错的得0分)9.若A,B,C,D为空间不同的四点,则下列各式为零向量的是( )
BD
10.已知v1,v2分别为直线l1,l2的方向向量(l1,l2不重合),n1,n2分别为平面α,β的法向量(α,β不重合),则下列说法中,正确的是( ) A.v1∥v2⇔l1∥l2 B.v1⊥n1⇔l1⊥α C.n1∥n2⇔α∥β D.n1⊥n2⇔α⊥β
ACD
解析 对不重合两直线l1,l2方向向量v1∥v2⇔l1∥l2,两平面α,β的法向量n1,n2中C与D也正确,而B中当l1⊥α时,v1∥n1,若v1⊥n1,则l1⊂α或l1∥α.
11.给出下列命题中不正确的是( )
BCD
12.将正方形ABCD沿对角线BD折成直二面角ABDC,有如下四个结论,其中正确的是( ) A.AC⊥BD B.△ACD是等边三角形 C.AC与平面BCD所成的角为60° D.AB与CD所成的角为60° 解析 取BD的中点E,连接AE,CE,则AE,DE,CE两两互相垂直,以E为原点,建立如图所示空间直角坐标系,
ABD
所以AB与CD所成的角为60°,故D正确.
三、填空题(本题共4小题,每小题5分,共20分)13.已知a=(2,-1,3),b=(-1,4,-2),c=(7,5,λ),若a,b,c共面,则λ=________.
解析 由已知可得a与b不共线,由共面向量定理可知,要使a,b,c共面,则必存在实数x,y,使得c=xa+yb,
14.已知平面α的一个法向量为n=(1,-1,0),则y轴与平面α所成的角的大小为________.
16.正方体ABCD-A1B1C1D1中,异面直线A1D与CD1所成的角为________,二面角BA1CD的大小为________.
60°
60°
解析 在正方体中,连接B1C,B1D1,则A1D∥B1C,又△D1CB1为等边三角形,则A1D与CD1所成的角为∠D1CB1=60°,又以D为原点,DA,DC,DD1分别为x轴,y轴,z轴建立坐标系,设棱长为1,则B(1,1,0),A1(1,0,1),C(0,1,0),D(0,0,0),
∴BA1CD的大小为60°.
18.(12分)已知空间三点A(1,2,3),B(2,-1,5),C(3,2,-5),试求: (1)△ABC的面积;
(2)△ABC的AB边上的高.
19.(12分)如图,在直三棱柱ABC-A1B1C1中,AB=4,AC=BC=3,D为AB的中点.
(1)求点C到平面A1ABB1的距离;
(2)若AB1⊥A1C,求二面角A1CDC1的平面角的余弦值.
设平面A1CD的一个法向量为m=(x1,y1,z1),
20.(12分)如图所示,在正方体ABCD-A1B1C1D1中,E是棱DD1的中点.
(2)在棱C1D1上是否存在一点F,使B1F∥平面A1BE?证明你的结论.
在正方体ABCD-A1B1C1D1中,因为AD⊥平面ABB1A1,
(2)在棱C1D1上存在点F,使B1F∥平面A1BE.证明如下:
设F是棱C1D1上的点,则F(t,1,1) (0≤t≤1).
(1)证明:PO⊥平面ABC;
由OP2+OB2=PB2知PO⊥OB.又OB∩AC=O,OB,AC⊂平面ABC,所以PO⊥平面ABC.
(2)若点M在棱BC上,且二面角M-PA-C为30°,求PC与平面PAM所成角的正弦值.
22.(12分)如图所示,在三棱锥P-ABQ中,PB⊥平面ABQ,BA=BP=BQ,D,C,E,F分别是AQ,BQ,AP,BP的中点,AQ=2BD,PD与EQ交于点G,PC与FQ交于点H,连接GH.
证明 因为D,C,E,F分别是AQ,BQ,AP,BP的中点, 所以EF∥AB,DC∥AB,所以EF∥DC,又EF⊄平面PCD,DC⊂平面PCD,所以EF∥平面PCD,又EF⊂平面EFQ,平面EFQ∩平面PCD=GH,所以EF∥GH,又EF∥AB,所以AB∥GH.
(2)求二面角D-GH-E的余弦值.
解 在△ABQ中,AQ=2BD,AD=DQ,所以∠ABQ=90°,又PB⊥平面ABQ,所以BA,BQ,BP两两垂直.
设平面EFQ即平面GHE的一个法向量为m=(x1,y1,z1),
取y1=1,得m=(0,1,2). 设平面PDC即平面DGH的一个法向量为n=(x2,y2,z2),
【最新版】高中数学(新人教B版)习题+同步课件章末检测卷(二): 这是一份【最新版】高中数学(新人教B版)习题+同步课件章末检测卷(二),文件包含章末检测卷二pptx、章末检测卷二DOCX等2份课件配套教学资源,其中PPT共36页, 欢迎下载使用。
【最新版】高中数学(新人教B版)习题+同步课件章末检测卷(一): 这是一份【最新版】高中数学(新人教B版)习题+同步课件章末检测卷(一),文件包含章末检测卷一pptx、章末检测卷一doc等2份课件配套教学资源,其中PPT共27页, 欢迎下载使用。
【最新版】高中数学(新人教B版)习题+同步课件章末检测卷(二): 这是一份【最新版】高中数学(新人教B版)习题+同步课件章末检测卷(二),文件包含章末检测卷二pptx、章末检测卷二doc等2份课件配套教学资源,其中PPT共33页, 欢迎下载使用。

