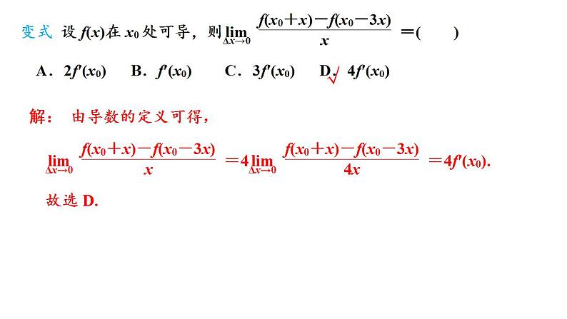
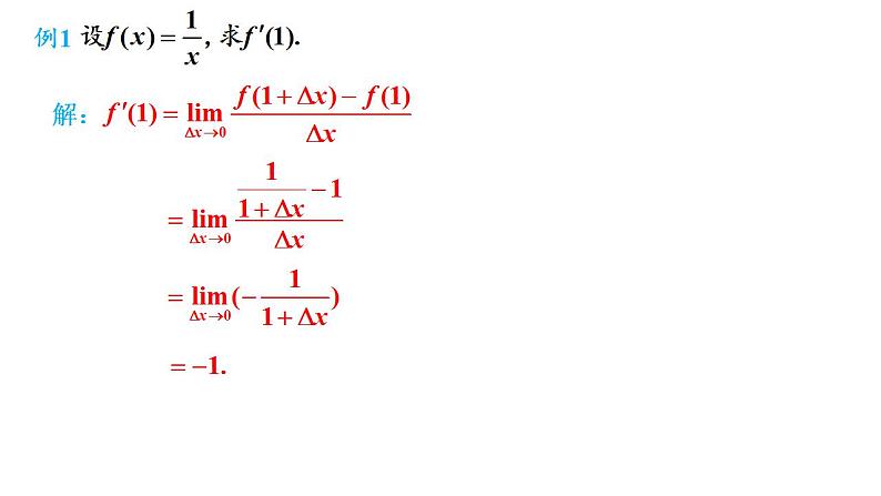
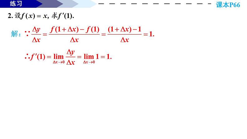
高中数学人教A版 (2019)选择性必修 第二册5.1 导数的概念及其意义图片课件ppt
展开数学人教A版 (2019)第五章 一元函数的导数及其应用5.1 导数的概念及其意义图片课件ppt: 这是一份数学人教A版 (2019)第五章 一元函数的导数及其应用5.1 导数的概念及其意义图片课件ppt,共26页。PPT课件主要包含了学习目标,复习回顾,新课导入,平均变化率的几何意义,它表示什么,切线的定义,典例分析,典例小结,跟踪练习,斜率的大小增减快慢等内容,欢迎下载使用。
高中数学人教A版 (2019)选择性必修 第二册5.1 导数的概念及其意义教课课件ppt: 这是一份高中数学人教A版 (2019)选择性必修 第二册5.1 导数的概念及其意义教课课件ppt,共20页。PPT课件主要包含了学习目标,二比三极限等内容,欢迎下载使用。
高中数学人教A版 (2019)选择性必修 第二册5.1 导数的概念及其意义教学课件ppt: 这是一份高中数学人教A版 (2019)选择性必修 第二册5.1 导数的概念及其意义教学课件ppt,共1页。

