高中数学苏教版 (2019)选择性必修第一册5.3 导数在研究函数中的应用课文配套ppt课件
展开1.熟练掌握函数的单调性与导数的关系.2.会利用分类讨论的思想解决含参的函数的单调性问题.
一、导函数是含参数的二次函数
二、导函数是含参数的基本初等型函数
三、导函数是非基本初等函数
例1 求f(x)=a2x3+ax2-x-1的单调区间.
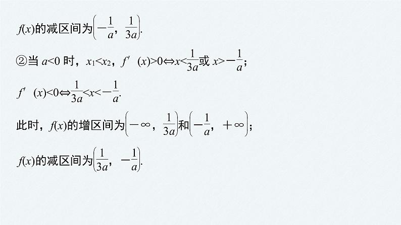
解 f(x)=a2x3+ax2-x-1的定义域为R,f′(x)=3a2x2+2ax-1=(3ax-1)(ax+1).(1)当a=0时,f′(x)=-1<0⇒f(x)在R上是减函数,f(x)的减区间为R,无增区间.(2)当a≠0时3a2>0时,f′(x)是开口向上的二次函数,
①当a>0时,x1>x2,
反思感悟 (1)若导函数的二次项系数含参:①优先讨论是否为0,达到降次的目的,②当不为0时,再从符号上入手,③确定二次函数的开口方向,由判别式确定其根的情况,若有根,然后通过因式分解或求根公式求导函数大于0或小于0的解,若无根,则导函数大于0或小于0恒成立,从而确定原函数的单调性.(2)若导函数的一次项系数含参或常数项含参,按上述第③步求解.
跟踪训练1 求f(x)=2x3+mx2+m+1的单调区间.
解 f(x)=2x3+mx2+m+1的定义域为R,f′(x)=6x2+2mx.(1)当m=0时,f′(x)=6x2≥0,f(x)在R上是增函数,f(x)的增区间为R,无减区间.(2)当m≠0时,f′(x)是开口向上的二次函数,
①当m<0时,x1>x2,
②当m>0时,x1
(1)若a≤2,则f′(x)≤0,当且仅当a=2,x=1时f′(x)=0,所以f(x)在(0,+∞)上是减函数.
反思感悟 确定函数的定义域、求导、通分,一般情况下,其分子转化成二次函数型的函数,或利用指数函数、对数函数、三角函数的单调性求解,对参数的讨论一定要做到不重不漏.
跟踪训练2 设函数f(x)=ex-ax-2,求f(x)的单调区间.
解 f(x)的定义域为R,f′(x)=ex-a.若a≤0,则f′(x)>0,所以f(x)在R上是增函数.若a>0,则当x∈(-∞,ln a)时,f′(x)<0;当x∈(ln a,+∞)时,f′(x)>0.所以f(x)在(-∞,ln a)上是减函数,在(ln a,+∞)上是增函数.综上所述,当a≤0时,函数f(x)的增区间为R,无减区间;当a>0时,f(x)的增区间为(ln a,+∞),减区间为(-∞,ln a).
例3 设函数f(x)=emx+x2-mx.证明:f(x)在(-∞,0)上是减函数;在(0,+∞)上是增函数.
证明 方法一 f′(x)=m(emx-1)+2x.若m≥0,则当x∈(-∞,0)时,emx-1≤0,f′(x)<0;当x∈(0,+∞)时,emx-1≥0,f′(x)>0.若m<0,则当x∈(-∞,0)时,emx-1>0,f′(x)<0;当x∈(0,+∞)时,emx-1<0,f′(x)>0.所以f(x)在(-∞,0)上是减函数,在(0,+∞)上是增函数.方法二 f′(x)=m(emx-1)+2x,令g(x)=f′(x),则g′(x)=m2emx+2>0恒成立,所以y=f′(x)在R上是增函数,又f′(0)=0,所以当x∈(-∞,0)时,f′(x)<0,当x∈(0,+∞)时,f′(x)>0,所以f(x)在(-∞,0)上是减函数,在(0,+∞)上是增函数.
反思感悟 在分类讨论此类问题时,其目的是讨论不确定的因式的符号,在讨论参数的取值范围时,也要注意函数的定义域.
跟踪训练3 已知函数f(x)=ae2x+ -x,讨论f(x)的单调性.
若a≤0,则f′(x)<0恒成立,故f(x)在R上为减函数;若a>0,则当x<-ln a时,f′(x)<0,当x>-ln a时,f′(x)>0,
综上,当a≤0时,f(x)在R上为减函数;
1.知识清单:(1)导函数是二次型函数的单调性问题.(2)导函数是基本初等型函数的单调性问题.(3)导函数是复合型函数的单调性问题.2.方法归纳:分类讨论.3.常见误区:分类讨论时是否做到“不重不漏”.
1.已知函数f(x)=x3+ax.讨论f(x)的单调性.
解 因为f(x)=x3+ax,所以f′(x)=3x2+a.①当a≥0时,因为f′(x)=3x2+a≥0,所以f(x)在R上是增函数;
综上,当a≥0时,f(x)在R上是增函数;
2.设函数f(x)=ax-1-ln x,讨论函数f(x)的单调性.
3.已知函数f(x)=(x2-2x+a)ex.讨论函数f(x)的单调性.
当a≥2时,f′(x)≥0,则f(x)在R上是增函数;
综上,当a≥2时,f(x)在R上是增函数;
解 函数f(x)的定义域为(0,+∞).
因为m>1,所以m-1>0.①当0
高中数学苏教版 (2019)选择性必修第一册5.3 导数在研究函数中的应用备课ppt课件: 这是一份高中数学苏教版 (2019)选择性必修第一册5.3 导数在研究函数中的应用备课ppt课件,共22页。
高中苏教版 (2019)5.3 导数在研究函数中的应用示范课ppt课件: 这是一份高中苏教版 (2019)5.3 导数在研究函数中的应用示范课ppt课件,共22页。PPT课件主要包含了角度3准二次函数型等内容,欢迎下载使用。
高中数学苏教版 (2019)选择性必修第一册第5章 导数及其应用5.3 导数在研究函数中的应用多媒体教学ppt课件: 这是一份高中数学苏教版 (2019)选择性必修第一册第5章 导数及其应用5.3 导数在研究函数中的应用多媒体教学ppt课件,共16页。PPT课件主要包含了名师点睛等内容,欢迎下载使用。

