所属成套资源:人教A版(2019)高中数学必修第一册讲义(学生版+教师版)
- 5.5.1 两角差的余弦公式-【新教材】人教A版(2019)高中数学必修第一册讲义(学生版+教师版) 其他 3 次下载
- 5.5.2 两角和与差的正弦、余弦与正切公式-【新教材】人教A版(2019)高中数学必修第一册讲义(学生版+教师版) 其他 3 次下载
- 5.5.5 三角恒等变换综合-【新教材】人教A版(2019)高中数学必修第一册讲义(学生版+教师版) 其他 2 次下载
- 5.5.4 简单的三角恒等变换-【新教材】人教A版(2019)高中数学必修第一册讲义(学生版+教师版) 其他 2 次下载
- 5.7 三角函数的应用-【新教材】人教A版(2019)高中数学必修第一册讲义(学生版+教师版) 其他 2 次下载
5.5.3 二倍角的正弦、余弦、正切公-【新教材】人教A版(2019)高中数学必修第一册讲义(学生版+教师版)
展开二倍角的正弦、余弦和正切公式
要点一:二倍角的正弦、余弦、正切公式
1.二倍角的正弦、余弦、正切公式
2.和角公式、倍角公式之间的内在联系
在两角和的三角函数公式时,就可得到二倍角的三角函数公式,它们的内在联系如下:
要点二:二倍角公式的逆用及变形
1.公式的逆用
;.
.
.
2.公式的变形
;
降幂公式:
升幂公式:
要点三:两角和与差的三角函数公式能够解答的三类基本题型
求值题、化简题、证明题
1.对公式会“正着用”,“逆着用”,也会运用代数变换中的常用方法:因式分解、配方、凑项、添项、换元等;
2.掌握“角的演变”规律,寻求所求结论中的角与已知条件中的角的关系,如
等等,把握式子的变形方向,准确运用公式,也要抓住角之间的规律(如互余、互补、和倍关系等等);
【典型例题】
类型一:利用二倍角公式的简单应用
例1.求下列各式的值:
(1); ; (3).
【解析】
(3).
举一反三:
【变式1】求值:(1); (2); (3)
【解析】(1)原式=;
(2)原式=;
(3)原式=.
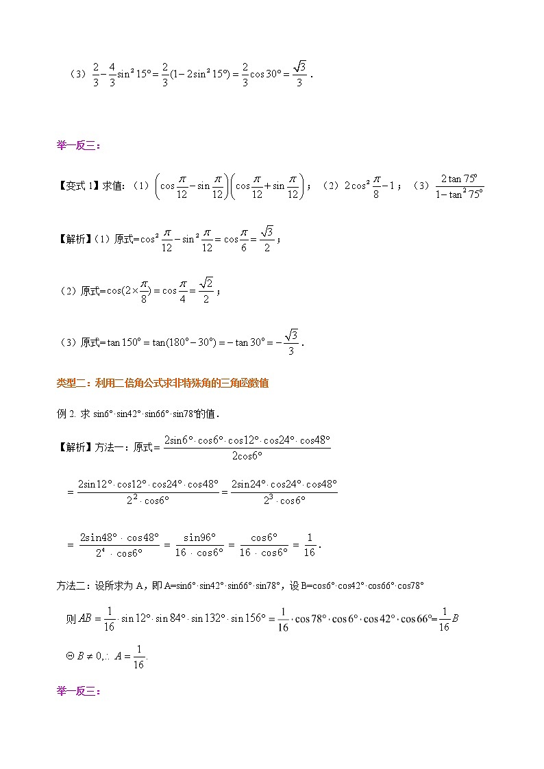
类型二:利用二倍角公式求非特殊角的三角函数值
例2. 求sin6°·sin42°·sin66°·sin78°的值.
【解析】方法一:原式
方法二:设所求为A,即A=sin6°·sin42°·sin66°·sin78°,设B=cos6°·cos42°·cos66°·cos78°
则=
举一反三:
【变式1】
【解析】
例3.求值:.
【解析】原式
举一反三:
【变式1】求值:
【解析】原式= ===4
【变式2】求值:
【解析】原式==
= = =1
类型三:利用二倍角公式化简三角函数式
例4.化简:.
【解析】 方法一:原式
.
方法二:原式
举一反三:
【变式1】化简下列各式:
(1)(2)
【解析】(1)
(2) 原式= =
= = =
【变式2】(1)化简:;(2)若,求的值.
【解析】(1);
(2).
类型四:二倍角公式在三角函数式给值求值题目中的应用
例5.求值:(1)已知,求.
(2)已知,求.
【解析】(1)===
(2)===
举一反三:
【变式1】已知,且,求的值.
【解析】 原式
.
∵,∴.∵,∴.
∴,
∴.
又∵,
∴.
【变式2】 已知:tanθ=2,求的值.
解法一:=(转化成了齐次式)
=
解法二: ∵tan=2,∴sin=2k,cos=k
原式
又∵sin2+cos2=1即(2k)2+k2=1
∴
例6.已知,,且、都是锐角,求.
【解析】 由,得,即.
由,得.
.
∵0°<<90°,0°<<90°,∴0°<<270°.
在0°与270°之间只有90°的余弦值为0,故.
类型五:二倍角公式的综合应用
例7.已知函数f(x)=asin x+cos x的图象经过点.
(1)求函数f(x)的最小正周期与单调递增区间.
(2)若,且,求sin2的值.
【解析】(1)∵函数的图象经过点,
∴,即,解得:a=-1,
,,∴函数f(x)的最小正周期为2π.
∵函数y=cos x的单调递增区间为[2kπ-π,2kπ],k∈Z,
∴,解得:
∴函数f(x)的单调递增区间为,k∈Z
(2)∵,∴,∴.
∴.
【变式1】已知函数,a为常数,a∈R,且.
(1)求函数f(x)的最小正周期.
(2)当时,求函数f(x)的最大值和最小值.
【解析】(1)由已知得,即,
∴a=-2,∴
∴函数f(x)的最小正周期为π
(2)由,得,则
∴
∴函数y=f(x)的最大值为;最小值为.
例8.已知A、B、C为三个锐角,且A+B+C=π,若向量=(2-2sinA,cosA+sinA)与
向量=(sinA-cosA,1+sinA)是共线向量.
(1)求角A;
(2)求函数y=2sin2B+cos的最大值.
【解析】(1)∵、共线,∴(2-2sinA)(1+sinA)=(cosA+sinA)(sinA-cosA),则sin2A=,
又A为锐角,所以sinA=,则A=.
(2)y=2sin2B+cos=2sin2B+cos,
=2sin2B+cos(-2B)=1-cos2B+cos2B+sin2B
=sin2B-cos2B+1=sin(2B-)+1.
∵B∈(0,),∴2B-∈(-,),∴2B-=,解得B=,ymax=2.
举一反三:
【变式1】已知向量m=(sinA,cosA),,m·n=1,且A为锐角.
(1)求角A的大小;
(2)求函数(x∈R)的值域.
【解析】(1)由题意,得,
,.
由A为锐角得,.
(2)由(1)知,∴.
∵x∈R,所以sinx∈[-1,1].
因此,当时,有最大值,当sin x=-1时,有最小值-3,
∴所求函数的值域是.
【巩固练习】
1.已知,则函数的最小值是( )
A.-1 B. C. D.1
1.【答案】A【解析】∵,
又,∴,∴,
∴,∴函数的最小值是―1.
2.化简的结果是( )
A.-cos1 B.cos1 C. D.
2.【答案】C 【解析】 2+cos2―sin21=2+2cos21―1―sin21=2cos21+1―sin21=3cos21,∴原式
3.化简得( )
A. B. C.1 D.―1
3.【答案】C 【解析】
4.已知,则的值为( )
A. B. C. D.
4.【答案】B【解析】,所以,所以
5.函数是( )
A.最小正周期为π的奇函数 B.最小正周期为π的偶函数
C.最小正周期为的奇函数 D.最小正周期为的偶函数
5.【答案】A【解析】,为奇函数,最小正周期为
6.已知α为第二象限角,且,则的值为( )
A. B. C. D.
6.【答案】B.【解析】∵α为第二象限角,∴cosα-sinα<0,
∵,∴
7.若则
A. B. C. D.
7.【答案】D
8.若,则( )
A.3―cos2x B.3―sin2x C.3+cos2x D.3+sin2x
8.【答案】C 【解析】,∴,
∴.
9.若,则sin2=________.
9.【答案】【解析】若,则
10.的取值范围是 .
10. 【答案】
11.已知,则tan2α=________.
11.【答案】【解析】由,
可得:tanα=4,那么:
12.的三个内角为、、,当为 时,取得最大值,且这个最大值为 .
12.【答案】 【解析】
当,即时,得
13.已知,,求.
13.【解析】原式==,
,, 是第三象限角,
,.
14.在△ABC中,cosA=,tanB=2,求tan(2A+2B)的值.
14.【解析】由题意知,,,
.
15.已知,为的最小正周期,向量,,且,求的值.
15.【解析】因为为的最小正周期,故β=π.
因为a·b=m,又,
故.
由于,所以
.
16.已知是第二象限角,且,
(1)求cos2的值;
(2)求的值.
16.【解析】(1)因为是第二象限角,,
.
(2)又是第二象限角,故.
.

