人教版中考数学二轮复习专题练习上反比例函数与几何
展开(1)求的值;
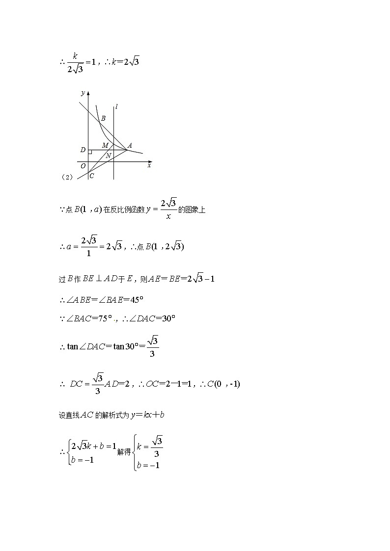
(2)求的值及直线的解析式;
(3)如图2,是线段上方反比例函数图象上一动点,过作直线轴,与相交于点,连接,求面积的最大值.
解析:(1)
∵反比例函数()的图象经过点
∴,∴
(2)
∵点在反比例函数的图象上
∴,∴点
过作于,则
∴
∵,∴
∴
∴,∴,∴
设直线的解析式为
∴解得
∴直线的解析式为
(3)设(),则
则
∴
当时,的面积有最大值,最大值为
2.如图,点,在反比例函数图象上,轴于点,轴于点,.
(1)求反比例函数的表达式;
(2)连接,在轴上是否存在一点,使的面积等于,若存在,求出点坐标;若不存在,请说明理由.
解析:(1)由题意,得解得
∴,
设反比例函数的表达式为
将代入,得
∴反比例的表达式为
(2)
∵,,轴,轴
∴,,
∴,,
∵,∴在线段上和线段的延长线上必存在满足条件的点;在线段的延长线上不存在满足条件的点
设
①当点在线段上时
,
,∴
∴
②当点在线段的延长线上时
,
,∴
∴
综上所述,轴上存在点,使的面积等于,点坐标为,
3.如图,已知反比例函数,是常数)的图象经过点和点,点的横坐标大于点的横坐标,轴,垂足为,轴,垂足为,与相交于点.
(1)若点的纵坐标为,点的横坐标为,,求反比例函数的解析式;
(2)求证:.
解析:(1)∵点的纵坐标为,
∴点的纵坐标为
∵点的横坐标为,∴
∵反比例函数的图象经过点
∴,∴
∴反比例函数的解析式为
(2)设,,其中
∴,,,
∴,
∴
又∵,∴
∴,∴
4.如图,直线与双曲线(,)交于点,将直线向上平移个单位长度后,与轴交于点,与双曲线(,)交于点,且.
(1)求的值;
(2)连接,求四边形的面积.
解析:(1)
作轴于,交于,轴于
则
∵,∴四边形是平行四边形
∴,
∵,∴
∴,
∵点在直线上,∴设
则,,∴
∵、两点在双曲线(,)上
∴
解得(舍去)或
∴,
∴
(2)
5.如图,点在双曲线()上,直线交双曲线()于点,点的坐标为,直线交双曲线()于点,直线交双曲线()于点,直线交双曲线()于点,连接、.
(1)求证:;
(2)与是否相等,请说明理由
(3)若,求点的坐标.
解析:(1)
设直线的解析式为
可得,
∴是的中点
同理可证是的中点
∴是的中位线
∴
(2)
当点在点下方时,点在点下方,连接
∵,∴
∵是的中点,∴
∴
当点在点上方时,点在点上方,连接BE
∵,∴
∵是的中点,∴
∴
(3)①当点A在点E下方时,点B在点D下方
∵,
∴
∴点的纵坐标是点纵坐标的倍
∴点的纵坐标是点纵坐标的倍
作于,于
则,∴
∴
设,则
∵,∴,
∴,解得
∴,∴
②当点在点上方时,点在点上方
∵,
∴
∴点的纵坐标是点纵坐标的倍
∴点的纵坐标是点纵坐标的倍
作于,于
则,∴
∴
设,则
∵,∴,
∴,解得
∴,∴
综上所述,点的坐标为或
6.如图①,直角三角形中,,平行于x轴,,,反比例函数()的图象经过点A.
(1)直接写出反比例函数的解析式;
(2)如图②,在(1)中的反比例函数图象上,其中,连接,过作,且,连接.设点坐标为,其中,,求与的函数解析式,并直接写出自变量m的取值范围;
(3)在(2)的条件下,若Q坐标为,求的面积.
解析:
(1)
提示:设交轴于点,易证
由,,得,
∴,,
∴,∴
(2)作轴于,轴于
则,
∵,∴
∴,∴
∴
∴,∴,
∴
∴()
(3)
∵坐标为,∴,∴
∴,,∴
∴
∴
7.如图,双曲线与两直线、(,且)分别相交于、、、四点.
(1)证明:以、、、为顶点的四边形是平行四边形;
(2)当为何值时,平行四边形是矩形,请说明理由.
解析:
(1)
∵反比例函数的图象关于原点对称,过原点的直线也关于原点对称
∴
同理,
∴四边形是平行四边形
(2)当时,平行四边形是矩形
理由如下:
当时,
∴平行四边形是矩形
易得:,
由得:
解得:,
∵,∴
∴当时,平行四边形是矩形
8.如图,一次函数(为常数,且)的图象与反比例函数的图象交于,两点.
(1)求一次函数的表达式;
(2)若将直线向下平移()个单位长度后与反比例函数的图象有且只有一个公共点,求的值.
解析:(1)∵点在反比例函数的图象上
∴,即点的坐标为
将点的坐标代入,得,解得
∴一次函数的表达式是
(2)直线向下平移个单位长度后的表达式为
联立消去,整理得
∵平移后的直线与反比例函数的图象有且只有一个公共点
∴
解得或
9.如图,已知矩形的一个顶点的坐标是,反比例函数()的图象经过矩形的对称中心,且与边交于点.
(1)求反比例函数的解析式和点的坐标;
(2)若过点的直线将矩形的面积分成的两部分,求此直线的解析式.
解析:
(1)
∵矩形的顶点的坐标是,是矩形的对称中心
∴点的坐标为
∵反比例函数()的图象经过点
∴,∴
∴反比例函数的解析式为
∵点在边上,∴点的纵坐标为
∵反比例函数()的图象经过点
∴,∴
∴点的坐标为
(2)
设直线与轴交于点
矩形的面积
∵直线将矩形的面积分成的两部分
∴
设,则或
解得或
∴点的坐标为或
∴解得
或解得
∴直线的解析式为或
10.如图,一次函数的图象l与坐标轴分别交于点、,与双曲线()交于点,且是的中点.
(1)求直线的解析式;
(2)若直线与交于点,与双曲线交于点(不同于),问为何值时,?
解析:
(1)
由在上,得,∴
∵为中点,∴,∴
又∵点、在上
∴解得
∴直线的解析式为
(2)过作,垂足为点
∵,∴点为中点
由题意知,点纵坐标为,点纵坐标为,
点纵坐标为,
∴,解得,(舍去)
∴当时,
中考数学二轮复习核心考点专题专题26反比例函数与几何综合题型归纳含解析答案: 这是一份中考数学二轮复习核心考点专题专题26反比例函数与几何综合题型归纳含解析答案,共76页。试卷主要包含了如图,矩形的边,,动点在边上等内容,欢迎下载使用。
2023学年中考二轮复习专题十五:反比例函数与几何图形结合: 这是一份2023学年中考二轮复习专题十五:反比例函数与几何图形结合,文件包含2023年中考二轮复习专题四反比例函数与几何图形结合原卷版docx、2023年中考二轮复习专题四反比例函数与几何图形结合解析版docx等2份试卷配套教学资源,其中试卷共139页, 欢迎下载使用。
2023中考数学重难点练习 专题02 反比例函数与几何综合问题 (学生版+解析版): 这是一份2023中考数学重难点练习 专题02 反比例函数与几何综合问题 (学生版+解析版),共53页。

