余弦定理PPT课件免费下载
展开9.1.2 余弦定理
一、【学习目标】
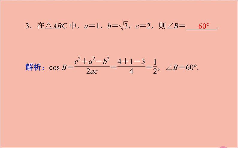
1、掌握余弦定理及其推论(重点);2、掌握正、余弦定理的综合应用(难点);3、能应用余弦定理判断三角形的形状(易错点)。
二、【课程的主要内容】
知识点一:余弦定理,(1)三角形任何一边的平方等于其他两边的平方和减去这两边与它们夹角的余弦的积的两倍,即a²=b²+c²-2bccosA,b²=a²+c²-2accosB,c²=a²+b²-2abcosC;(2)应用余弦定理我们可以解决两类解三角形问题;一直三边,求三角;已知两边和它们的夹角,求第三边和其他两个角;利用余弦定理只能解决以上两类问题吗?是。
向量的减法PPT课件免费下载: 北师大版 (2019)高中数学必修 第二册课文《向量的减法》,完整版PPT课件免费下载,优秀PPT背景图搭配,精美的免费ppt模板。轻松备课,欢迎免费下载使用。
余弦定理与正弦定理PPT课件免费下载: 北师大版 (2019)高中数学必修 第二册课文《余弦定理与正弦定理》,完整版PPT课件免费下载,优秀PPT背景图搭配,精美的免费ppt模板。轻松备课,欢迎免费下载使用。
φ)PPT课件免费下载: 人教A版 (2019)高中数学必修 第一册课文《φ)》,完整版PPT课件免费下载,优秀PPT背景图搭配,精美的免费ppt模板。轻松备课,欢迎免费下载使用。

