条件概率与全概率公式PPT课件免费下载
展开一、【基础练习】
一、选择题(每小题5分,共20分,多选题全部选对的得5分,选对但不全的得3分,有选错的得0分)1.设某医院仓库中有10盒同样规格的X光片,已知其中有5 盒、3盒、2盒依次是甲厂、乙厂、丙厂生产的.且甲、乙、丙三厂生产该种X光片的次品率依次为 现从这10盒中任取一盒,再从这盒中任取一张X光片,则取得的X光片是次品的概率为( ) B.0.1 D.0.2
【解析】选A.以A1,A2,A3分别表示取得的这盒X光片是由甲厂、乙厂、丙厂生产的,B表示取得的X光片为次品,则由全概率公式,所求概率为
2.如果在上题中已知取得的X光片是次品,则该次品是由甲厂生产的概率为( ) 【解析】选C.以A1,A2,A3分别表示取得的这盒X光片是由甲厂、乙厂、丙厂生产的,B表示取得的X光片为次品,所以P(B)=0.08,P(A1|B)= =0.625.
3.设有5个袋子中放有白球,黑球,其中1号袋中白球占 ,另外2,3,4,5号4个袋子中白球都占 ,今从中随机取1个袋子,从所取的袋子中随机取1个球,结果是白球,则这个球是来自1号袋子中的概率为( )【解析】选A.设Ai:取到第i号袋子,i=1,2,3,4,5. B:取到白球,由贝叶斯公式得P(A1|B )= .
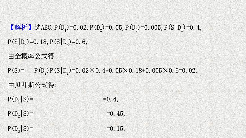
4.(多选题)在某一季节,疾病D1的发病率为2%,病人中40%表现出症状S,疾病D2的发病率为5%,其中18%表现出症状S,疾病D3的发病率为0.5%,症状S 在病人中占60%.则( )A.任意一位病人有症状S 的概率为0.02B.病人有症状S时患疾病D1的概率为0.4C.病人有症状S时患疾病D2的概率为0.45D.病人有症状S时患疾病D3的概率为0.25
【解析】选ABC.P(D1)=0.02,P(D2)=0.05,P(D3)=0.005,P(S|D1)=0.4,P(S|D2)=0.18,P(S|D3)=0.6,由全概率公式得P(S)= P(Di)P(S|Di)=0.02×0.4+0.05×0.18+0.005×0.6=0.02.由贝叶斯公式得:P(D1|S)= =0.4,P(D2|S)= =0.45,P(D3|S)= =0.15.
二、填空题(每小题5分,共10分)5.5张彩票中仅有1张中奖彩票,5个人依次摸奖,则第二个人摸到中奖彩票的概率为________,第三个人摸到中奖彩票的概率为________.
【解析】记“第i个人抽中中奖彩票”为事件Ai ,显然P(A1)= ,而P(A2)=P[A2∩(A1∪ )]=P(A2∩A1)+P(A2∩ )=P(A2A1)+P(A2 )=P(A1)P(A2|A1)+P( )P(A2| )= ×0+ × = ,P(A3)=P[A3∩(A1A2+A1 + A2+ )] =P(A1A2A3)+P(A1 A3)+P( A2A3)+P( A3)=0+0+0+P(A3 )=P( )P( | )P(A3| )= × × = .答案:
6.甲罐中有5个红球、2个白球和3个黑球,乙罐中有4个红球、3个白球和3个黑球,先从甲罐中随机取出一球放入乙罐,分别以A1,A2和A3表示由甲罐中取出的球是红球、白球和黑球的事件;再从乙罐中随机取出一球,以B表示由乙罐中取出的球是红球的事件.则P(B)=________.
【解析】由题意A1,A2,A3是两两互斥的事件,且A1∪A2∪A3=Ω,所以P(B)=P[B∩(A1∪A2∪A3)]=P(BA1)+P(BA2)+P(BA3) =P(A1)P(B|A1)+P(A2)P(B|A2)+P(A3)P(B|A3) = 答案:
三、解答题(每小题10分,共20分)7.某药厂用从甲、乙、丙三地收购而来的药材加工生产出一种中成药,三地的供货量分别占40%、35%和25%,且用这三地的药材能生产出优等品的概率分别为0.65、0.70和0.85,求从该厂产品中任意取出一件成品是优等品的概率.
【解析】设A1:药材来自甲地, A2:药材来自乙地,A3:药材来自丙地, B:抽到优等品;P(A1)=0.4,P(A2)=0.35,P(A3)=0.25,P(B|A1)=0.65,P(B|A2)=0.7,P(B|A3)=0.85,P(B)=P(B|A1)P(A1)+P(B|A2)P(A2)+P(B|A3)P(A3)=0.65×0.4+0.7×0.35+0.85×0.25=0.717 5.
8.某光学仪器厂制造的透镜,第一次落下时打破的概率为 ,第一次落下未打破,第二次落下打破的概率为 ,若前两次未打破,第三次落下时打破的概率为 ,求透镜落下三次未打破的概率.【解析】以Ai,i=1,2,3表示事件“透镜落下第i次时打破”,以B表示事件“透镜落下三次未打破”,因为B= ,所以P(B)=P( )=P( )P( )P( )= .
二、【能力提升】
1.(5分)某工厂生产的产品以100件为一批,假定每一批产品中的次品数最多不超过4件,且具有如下的概率:现进行抽样检验,从每批中随机取出10件来检验,若发现其中有次品,则认为该批产品不合格,则一批产品通过检验的概率为( )
【解析】选A.以Ai表示一批产品中有i件次品,i=0,1,2,3,4,B表示通过检验,则由题意得,P(A0)=0.1,P(B|A0)=1,P(A1)=0.2,P(B|A1)= =0.9,P(A2)=0.4,P(B|A2)= ≈0.809,P(A3)=0.2,P(B|A3)= ≈0.727,P(A4)=0.1,P(B|A4)= ≈0.652.由全概率公式,得P(B)= P(Ai)P(B|Ai)=0.1×1+0.2×0.9+0.4×0.809+0.2×0.727+0.1×0.652≈0.814.
2.(5分)某工厂有甲、乙、丙3个车间生产同一种产品,产量依次占全厂的45%,35%,20%,且各车间的次品率分别为4%,2%,5%,现从一批产品中检查出1个次品,则该次品由______车间生产的可能性最大( ) A.甲B.乙C.丙D.无法确定
【解析】选A.设A1,A2,A3表示产品来自甲、乙、丙车间,B表示产品为次品的事件,易知A1,A2,A3是样本空间Ω中的事件,且有P(A1)=0.45,P(A2)=0.35,P(A3)=0.2,P(B|A1)=0.04,P(B|A2)=0.02,P(B|A3)=0.05.由全概率公式得 P(B)=P(A1)P(B|A1)+P(A2)P(B|A2)+P(A3)P(B|A3)=0.45×0.04+0.35×0.02+0.2×0.05=0.035.由贝叶斯公式得P(A1|B)= ≈0.514,P(A2|B)= ≈0.200,P(A3|B)= ≈0.286,所以,该次品由甲车间生产的可能性最大.
3.(5分)盒中有a个红球,b个黑球,今随机地从中取出一个,观察其颜色后放回,并加上同色球c个,再从盒中第二次抽取一球,则第二次抽出的是黑球的概率为________.
【解析】设A:第一次抽出的是黑球,B:第二次抽出的是黑球,则B=AB+ B,由全概率公式,P(B)=P(A)P(B|A)+P( )P(B| ) , 由题意,P(A)= ,P(B|A)= ,P( )= ,P(B| )= ,所以P(B)= .答案:
4.(5分)设盒中有m只红球,n只白球,每次从盒中任取一只球,看后放回,再放入k只与所取颜色相同的球.若在盒中连取四次,则第一次,第二次取到红球,第三次,第四次取到白球的概率为________.
【解析】设Ri(i=1,2,3,4)表示第i次取到红球的事件, (i=1,2,3,4)表示第i次取到白球的事件.则有P(R1R2 )=P(R1)P(R2|R1)P( |R1R2)·P( |R1R2 )= 答案:
5.(10分)假定患有疾病{d1,d2,d3}中的某一个的人可能出现症状S= 中一个或多个,其中: S1=食欲不振 S2=胸痛 S3=呼吸急促 S4=发热现从20 000份患有疾病d1,d2,d3的病历卡中统计得到下列数据:
试问当一个具有S中症状的病人前来要求诊断时,在没有别的可依据的诊断手段情况下,推测该病人患有这三种疾病中哪一种较合适?
【解析】 以A表示事件“患者出现S中的某些症状”,Di表示事件“患者患有疾病di”(i=1,2,3),由于该问题数据很多,用事件的频率近似作为概率,由统计数据可知,P(D1)= =0.387 5,P(D2)= =0.262 5,P(D3)= =0.35,P(A|D1)= ≈0.967 7,P(A|D2)= =0.8,P(A|D3)= =0.5,所以P(A)=P(D1)P(A|D1)+P(D2)P(A|D2)+P(D3)P(A|D3)=0.387 5×0.967 7+0.262 5×0.8+0.35×0.5≈0.76.
由贝叶斯公式可得,P(D1|A)= ≈0.493 4,P(D2|A)= ≈0.276 3,P(D3|A)= ≈0.230 3.从而推测病人患有疾病d1较为合适.
三、【拓展培优】
1.盒中放有12个乒乓球,其中9 个是新的.第1次比赛时从中选取3个来用,比赛后仍放回盒中,第2次比赛时再从盒中任取3个.则第2次取出的球都是新球的概率为________;如果第2次取出的球都是新球,则第1次取到的都是新球的概率为________.
【解析】设Ai:第一次比赛时用了i个新球,i=0,1,2,3,B:第二次取出的球全是新球;所以 ≈0.146,因为第二次取出的全是新球,所以 ≈0.24.答案:0.146 0.24
2.袋中有n个球,其中n-1个红球,1个白球.n个人依次从袋中各取一球,每人取一球后不再放回袋中,求第i(i=1,2,…,n)人取到白球的概率.
人教A版 (2019)选择性必修 第三册7.1 条件概率与全概率公式精品ppt课件: 这是一份人教A版 (2019)选择性必修 第三册7.1 条件概率与全概率公式精品ppt课件,共46页。
数学选择性必修 第一册1.3 全概率公式优秀ppt课件: 这是一份数学选择性必修 第一册1.3 全概率公式优秀ppt课件,共18页。PPT课件主要包含了学习目标,新知学习,典例剖析,随堂小测,课堂小结等内容,欢迎下载使用。
高中数学人教A版 (2019)选择性必修 第三册7.1 条件概率与全概率公式教学演示ppt课件: 这是一份高中数学人教A版 (2019)选择性必修 第三册7.1 条件概率与全概率公式教学演示ppt课件,共35页。

