2022版高考人教版数学一轮练习:练案【18理】 定积分与微积分基本定理(理)
展开一、选择题
1. eq \i\in(1,0,)exdx=( C )
A.e B.1-e
C.e-1 D.eq \f(1,2)(e-1)
[解析] eq \i\in(1,0,)exdx=ex|eq \\al(1,0)=e-1,选C.
2.(2020·西北工大附中期中)若函数f(x)=x2+2x+m(m,x∈R)的最小值为-1,则eq \i\in(1,2,)f(x) dx=( B )
A.2 B.eq \f(16,3)
C.6 D.7
[解析] f(x)=(x+1)2+m-1,∵f(x)的最小值为-1,∴m-1=-1,即m=0,∴f(x)=x2+2x.∴eq \i\in(1,2,)f(x)dx=eq \i\in(1,2,)(x2+2x)dx=eq \b\lc\ \rc(\a\vs4\al\c1(\b\lc\(\rc\)(\a\vs4\al\c1(\f(1,3)x3+x2))))eq \b\lc\|\rc\ (\a\vs4\al\c1(2,1))=eq \f(1,3)×23+22-eq \f(1,3)-1=eq \f(16,3).故选B.
3.eq \a\vs4\al(\i\in(-eq \f(π,2), eq \f(π,2),)) (1+cs x)dx等于( D )
A.π B.2
C.π-2 D.π+2
[解析] eq \a\vs4\al(\i\in(-eq \f(π,2), eq \f(π,2),)) (1+cs x)dx=2eq \a\vs4\al(\i\in(0, eq \f(π,2),)) (1+cs x)dx=2(x+sin x) eq \b\lc\|\rc\ (\a\vs4\al\c1(\f(π,2),0))=2eq \b\lc\(\rc\)(\a\vs4\al\c1(\f(π,2)+1))=π+2.
4.一质点运动时速度与时间的关系为v(t)=t2-t+2,质点做直线运动,则此质点在时间[1,2]内运行的路程为( A )
A.eq \f(17,6) B.eq \f(14,3)
C.eq \f(13,6) D.eq \f(11,6)
[解析] 质点在时间[1,2]内的位移为eq \i\in(1,2,)(t2-t+2)dt=eq \b\lc\ \rc(\a\vs4\al\c1(\b\lc\(\rc\)(\a\vs4\al\c1(\f(1,3)t3-\f(1,2)t2+2t))))eq \b\lc\|\rc\ (\a\vs4\al\c1(2,1))=eq \f(17,6).
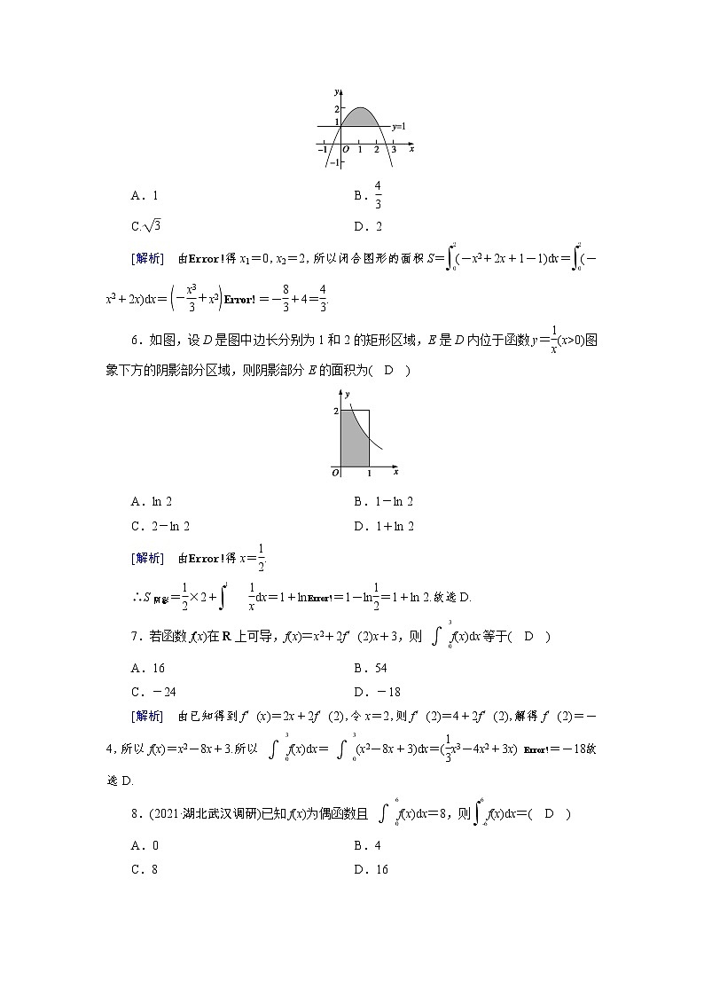
5.(2020·辽宁丹东适应性测试)如图,函数y=-x2+2x+1与y=1的图象相交,形成一个闭合图形(图中的阴影部分),则该闭合图形的面积是( B )
A.1 B.eq \f(4,3)
C.eq \r(3) D.2
[解析] 由eq \b\lc\{\rc\ (\a\vs4\al\c1(y=-x2+2x+1,,y=1,))得x1=0,x2=2,所以闭合图形的面积S=eq \i\in(0,2,)(-x2+2x+1-1)dx=eq \i\in(0,2,)(-x2+2x)dx=eq \b\lc\(\rc\)(\a\vs4\al\c1(-\f(x3,3)+x2))eq \b\lc\|\rc\ (\a\vs4\al\c1(2,0))=-eq \f(8,3)+4=eq \f(4,3).
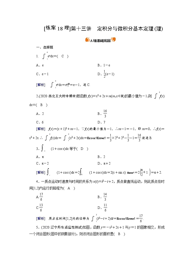
6.如图,设D是图中边长分别为1和2的矩形区域,E是D内位于函数y=eq \f(1,x)(x>0)图象下方的阴影部分区域,则阴影部分E的面积为( D )
A.ln 2 B.1-ln 2
C.2-ln 2 D.1+ln 2
[解析] 由eq \b\lc\{\rc\ (\a\vs4\al\c1(y=2,,y=\f(1,x),))得x=eq \f(1,2).
∴S阴影=eq \f(1,2)×2+eq \a\vs4\al(\i\in(eq \f(1,2), 1,))eq \f(1,x)dx=1+lneq \b\lc\|\rc\ (\a\vs4\al\c1(1,\f(1,2))))eq \f(1,2)))=1-lneq \f(1,2)=1+ln 2.故选D.
7.若函数f(x)在R上可导,f(x)=x2+2f′(2)x+3,则eq \i\in(0,3,)f(x)dx等于( D )
A.16 B.54
C.-24 D.-18
[解析] 由已知得到f′(x)=2x+2f′(2),令x=2,则f′(2)=4+2f′(2),解得f′(2)=-4,所以f(x)=x2-8x+3.所以eq \i\in(0,3,)f(x)dx=eq \i\in(0,3,)(x2-8x+3)dx=(eq \f(1,3)x3-4x2+3x) eq \b\lc\|\rc\ (\a\vs4\al\c1(3,0))=-18.故选D.
8.(2021·湖北武汉调研)已知f(x)为偶函数且eq \i\in(0,6,)f(x)dx=8,则eq \i\in(-6,6,)f(x)dx=( D )
A.0 B.4
C.8 D.16
[解析] 因为函数f(x)为偶函数,所以eq \i\in(-6,6,)f(x)dx=2eq \i\in(0,6,)f(x)dx=2×8=16.故选D.
9.(2021·江西九江十校联考)M=eq \i\in(0,1,)eq \r(1-x2)dx,T=eq \i\in(0,M,)sin 2xdx,则T=( A )
A.eq \f(1,2) B.-eq \f(1,2)
C.-1 D.1
[解析] 由题意得M=eq \i\in(0,1,)eq \r(1-x2)dx表示单位圆面积的四分之一,且圆的面积为π,∴M=eq \f(π,4),∴T=eq \a\vs4\al(\i\in(0, eq \f(π,4),))sin 2xdx=eq \b\lc\ \rc(\a\vs4\al\c1(\b\lc\(\rc\)(\a\vs4\al\c1(-\f(1,2)cs 2x))))eq \b\lc\|\rc\ (\a\vs4\al\c1(\f(π,4),0))=-eq \f(1,2)eq \b\lc\(\rc\)(\a\vs4\al\c1(cs \f(π,2)-1))=eq \f(1,2),故选A.
10.(2020·福建宁德六校期中联考)a=eq \i\in(0,1,)xdx,b=eq \i\in(0,1,)sin xdx,c=eq \i\in(0,1,)(ex-1)dx,则a,b,c的大小关系( B )
A.aC.c[解析] a=eq \i\in(0,1,)xdx=eq \f(1,2)x2eq \b\lc\|\rc\ (\a\vs4\al\c1(1,0))=eq \f(1,2),b=eq \i\in(0,1,)sin xdx=-cs xeq \b\lc\|\rc\ (\a\vs4\al\c1(1,0))=1-cs 1<1-cs eq \f(π,3)=eq \f(1,2),c=eq \i\in(0,1,)(ex-1)dx=(ex-x) eq \b\lc\|\rc\ (\a\vs4\al\c1(1,0))=e-2>eq \f(1,2),∴a,b,c的大小关系是b二、填空题
11.(2021·丽水模拟)曲线y=x2和曲线y2=x围成的图形面积是 eq \f(1,3) .
[解析] 由eq \b\lc\{\rc\ (\a\vs4\al\c1(y=x2,,y2=x,))得eq \b\lc\{\rc\ (\a\vs4\al\c1(x=0,,y=0))或eq \b\lc\{\rc\ (\a\vs4\al\c1(x=1,,y=1,))则所求面积为
eq \i\in(0,1,)(eq \r(x)-x2)dx=eq \b\lc\(\rc\)(\a\vs4\al\c1(\f(2,3)x\f(3,2)-\f(1,3)x3))eq \b\lc\|\rc\ (\a\vs4\al\c1(1,0))=eq \f(1,3).故填eq \f(1,3).
12.(2021·安徽蚌埠摸底)eq \i\in(,1,)-1(|x|+sin x)dx=__1__.
[解析] eq \i\in(-1,1,)(|x|+sin x)dx=eq \i\in(-1,1,)|x|dx+eq \i\in(-1,1,)sin xdx.根据定积分的几何意义可知,函数y=|x|在[-1,1]上的图象与x轴,直线x=-1,x=1围成的曲线图形的面积为1.y=sin x为奇函数,根据定积分的几何意义,eq \i\in(-1,1,)sin xdx=0,所以eq \i\in(-1,1,)(|x|+sin x)dx=1.
13.(2021·广东七校联考) eq \i\in(0,2,) (eq \r(4-x2)+x)dx的值等于__π+2__.
[解析] eq \i\in(0,2,) (eq \r(4-x2)+x)dx=eq \i\in(0,2,)eq \r(4-x2)dx+eq \i\in(0,2,)xdx,其中eq \i\in(0,2,)eq \r(4-x2)dx表示半径为2的圆的面积的eq \f(1,4),eq \i\in(0,2,)eq \r(4-x2)dx=eq \f(1,4)π×22=π,eq \i\in(0,2,)xdx=eq \f(1,2)x2eq \b\lc\|\rc\ (\a\vs4\al\c1(2,0))=2,因此原式等于π+2.
14.(2020·安徽师大附中期中,13)若f(x)+eq \i\in(0,1,)f(x)dx=x,则eq \i\in(0,1,)f(x)dx= eq \f(1,4) .
[解析] eq \i\in(0,1,)f(x)dx是一个常数,设为c,则有f(x)=x-c,所以x-c+eq \i\in(0,1,)(x-c)dx=x,解得c=eq \f(1,4).故eq \i\in(0,1,)f(x)dx=eq \f(1,4).
B组能力提升
1.求曲线y=x2+2与直线y=x+2所围成的封闭图形的面积,其中正确的是( B )
A.S=eq \i\in(0,1,)(x2-x)dx B.S=eq \i\in(0,1,)(x-x2)dx
C.S=eq \i\in(0,1,)(y2-y)dy D.S=eq \i\in(0,1,)(y-eq \r(y))dy
[解析] 依题意,在同一坐标系下画出曲线y=x2+2与直线y=x+2的图象(图略),注意到它们的交点坐标分别为(0,2)与(1,3),结合图形及定积分的几何意义可知,所围成的封闭图形的面积可用定积分表示为eq \i\in(0,1,) (x-x2)dx,故选B.
2.下列积分值为1的是( B )
A.eq \i\in(0,5,)(2x2-4)dx B.eq \i\in(0,π,)eq \f(1,2)sin xdx
C. eq \i\in(1,3,)eq \f(1,x)dx D.eq \a\vs4\al(\i\in(0, eq \f(π,2),))2cs xdx
[解析] eq \i\in(0,5,) (2x2-4)dx=eq \b\lc\ \rc(\a\vs4\al\c1(\b\lc\(\rc\)(\a\vs4\al\c1(\f(2,3)x3-4x))))eq \b\lc\|\rc\ (\a\vs4\al\c1(5,0))=eq \f(2,3)×125-20≠1,eq \i\in(0,π,)eq \f(1,2)sin xdx=eq \b\lc\ \rc(\a\vs4\al\c1(-\f(1,2)cs x))eq \b\lc\|\rc\ (\a\vs4\al\c1(π,0))=-eq \f(1,2)×(-1-1)=1,eq \i\in(1,3,)eq \f(1,x)dx=eq \b\lc\ \rc(\a\vs4\al\c1(ln x\(\s\up7( ),\s\d5( ))))eq \b\lc\|\rc\ (\a\vs4\al\c1(3,1))=ln 3≠1,eq \a\vs4\al(\i\in(0, eq \f(π,2),))2cs xdx=2sin xeq \b\lc\|\rc\ (\a\vs4\al\c1(\f(π,2),0))=2.故选B.
3.(2020·皖中名校第二次联考,5)二次函数f(x)=x2-nx+m(n,m∈R)的图象如图所示,则定积分eq \i\in(0,1,)f(x)dx=( B )
A.eq \f(2,3) B.eq \f(5,6)
C.2 D.3
[解析] 由图象可知,n=3,m=2.所以eq \i\in(0,1,)f(x)dx=eq \i\in(0,1,)(x2-3x+2)dx=eq \b\lc\ \rc(\a\vs4\al\c1(\b\lc\(\rc\)(\a\vs4\al\c1(\f(1,3)x3-\f(3,2)x2+2x))))eq \b\lc\|\rc\ (\a\vs4\al\c1(1,0))=eq \f(5,6).
4.(2020·福建省福清市华侨中学期中,8)如图所示,正弦曲线y=sin x,余弦曲线y=cs x与两直线x=0,x=π所围成的阴影部分的面积为( D )
A.1 B.eq \r(2)
C.2 D.2eq \r(2)
[解析] ∵y=sin x与y=cs x的图象在(0,π)内的交点为(eq \f(π,4),eq \f(\r(2),2)),∴阴影部分面积为eq \a\vs4\al(\i\in(0, eq \f(π,4),)) (cs x-sin x)dx+eq \a\vs4\al(\i\in(π, eq \f(π,4),)) (sin x-cs x)dx=(sin x+cs x) eq \b\lc\|\rc\ (\a\vs4\al\c1(\f(π,4),0))+(-cs x-sin x) eq \b\lc\|\rc\ (\a\vs4\al\c1(π,eq \f(π,4)))=eq \b\lc\(\rc\)(\a\vs4\al\c1(\f(\r(2),2)+\f(\r(2),2)-1))+eq \b\lc\(\rc\)(\a\vs4\al\c1(1+\f(\r(2),2)+\f(\r(2),2)))=2eq \r(2),故选D.
5.(2019·四川成都一中期中)若f(x)=eq \b\lc\{\rc\ (\a\vs4\al\c1(fx-5,x>0,,2x+eq \a\vs4\al(\i\in(0, eq \f(π,6),))cs 3tdt,x≤0,))则f(2019)=( C )
A.eq \f(1,3) B.eq \f(1,6)
C.eq \f(5,6) D.eq \f(1,2)
[解析] f(2019)=f(2019-5×403)=f(4)=f(4-5)=f(-1)=2-1+eq \a\vs4\al(\i\in(0, eq \f(π,6),))cs 3tdt.因为eq \b\lc\(\rc\)(\a\vs4\al\c1(\f(1,3)sin 3t))′=cs 3t,所以eq \a\vs4\al(\i\in(0, eq \f(π,6),))cs 3tdt=eq \f(1,3)sin 3teq \b\lc\|\rc\ (\a\vs4\al\c1(\f(π,6),0))=eq \f(1,3)eq \b\lc\(\rc\)(\a\vs4\al\c1(sin\f(π,2)-sin 0))=eq \f(1,3),所以f(2019)=2-1+eq \f(1,3)=eq \f(5,6).故选C.
广西专用高考数学一轮复习考点规范练18定积分与微积分基本定理含解析新人教A版理: 这是一份广西专用高考数学一轮复习考点规范练18定积分与微积分基本定理含解析新人教A版理,共7页。试卷主要包含了若0π2dx=2,则实数a等于,01dx= 等内容,欢迎下载使用。
2022版高考人教版数学一轮练习:练案【36理】【35文】 数列求和: 这是一份2022版高考人教版数学一轮练习:练案【36理】【35文】 数列求和,共7页。试卷主要包含了选择题,填空题,解答题等内容,欢迎下载使用。
2022版高考人教版数学一轮练习:练案【12理】【12文】 函数与方程: 这是一份2022版高考人教版数学一轮练习:练案【12理】【12文】 函数与方程,共6页。试卷主要包含了选择题,填空题等内容,欢迎下载使用。

