高中数学人教A版 (2019)必修 第一册2.2 基本不等式课前预习课件ppt
展开高中数学第二章 一元二次函数、方程和不等式2.2 基本不等式图片课件ppt: 这是一份高中数学第二章 一元二次函数、方程和不等式2.2 基本不等式图片课件ppt,共19页。PPT课件主要包含了答案×,答案√,答案C等内容,欢迎下载使用。
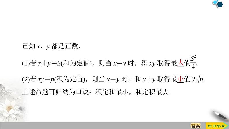
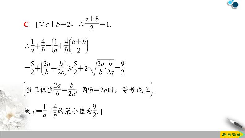
高中数学人教A版 (2019)必修 第一册2.2 基本不等式精品习题课件ppt: 这是一份高中数学人教A版 (2019)必修 第一册2.2 基本不等式精品习题课件ppt,共37页。PPT课件主要包含了内容索引,课前篇自主预习,课堂篇探究学习,课标阐释,思维脉络,答案D,答案4,答案1,答案A,答案10等内容,欢迎下载使用。
湘教版(2019)必修 第一册第2章 一元二次函数、方程和不等式2.1 相等关系与不等关系教课内容ppt课件: 这是一份湘教版(2019)必修 第一册第2章 一元二次函数、方程和不等式2.1 相等关系与不等关系教课内容ppt课件,共29页。

