高中数学人教A版 (2019)选择性必修 第一册第二章 直线和圆的方程2.3 直线的交点坐标与距离公式背景图ppt课件
展开(1).掌握点到直线的距离公式的推导过程;
(2).能用点到直线的距离公式进行计算;
(3).能求有关平行线间的距离。
1.什么是点到直线的距离?
点P0到直线的距离是指:
从点P0 (如图所示)到直线l(如图所示)的垂线段P0Q的长度,其中Q为垂足.
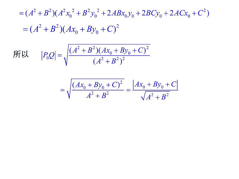
已知点 ,直线 ,如何求点 到直线 的距离?
以上两式相加,只整理分子得
1.此公式是在A、B≠0的前提下推导的;
2.如果A=0或B=0,此公式恰好也成立;
思考:我们知道,向量是解决距离、角度问题的有力工具,能否用向量的方法求点到直线的距离?
解:(1)根据点到直线的距离公式,得
(2)根据点到直线的距离公式,得
边所在直线的方程为:
点 到 的距离
解:由题意,设所求直线方程为:
练习:求过点M(-2, 1),且与A(-1, 2),B(3, 0)距离相等的直线方程.
由于所求直线与A(-1, 2),B(3, 0)距离相等,则有
2.两条平行直线间的距离
(1)两条平行直线间的距离
两条平行直线间的距离是指夹在两条平行直线间公垂线段的长。
能否将两条平行直线间的距离转化为点到直线的距离?
设 是直线 上的任意一点,则
注意:两条平行直线的方程必须化为一般式,即为
例2、求下列两条平行线间的距离。
高中2.3 直线的交点坐标与距离公式获奖ppt课件: 这是一份高中2.3 直线的交点坐标与距离公式获奖ppt课件,共22页。PPT课件主要包含了学习目标,自主学习,小试牛刀,经典例题,当堂达标等内容,欢迎下载使用。
数学选择性必修 第一册2.3 直线的交点坐标与距离公式教课内容课件ppt: 这是一份数学选择性必修 第一册2.3 直线的交点坐标与距离公式教课内容课件ppt,共33页。
高中数学人教A版 (2019)选择性必修 第一册2.3 直线的交点坐标与距离公式精品ppt课件: 这是一份高中数学人教A版 (2019)选择性必修 第一册2.3 直线的交点坐标与距离公式精品ppt课件,共19页。PPT课件主要包含了学习目标,新知学习,思路一直接法,思路简单运算繁琐,思路二向量法,典例剖析,跟踪训练,B31,还有其他方法吗,新知讲解等内容,欢迎下载使用。

