专题3.10 判断点在圆内外,向量应用最厉害-2020届高考数学压轴题讲义(解答题)(解析版)
展开【题型综述】
点与圆的位置关系的解题策略一般有以下几种:①利用设而不求思想求出圆心坐标,然后计算圆心到点的距离并和半径比较得解;②向量法,通过判断数量积的正负来确定点和圆的位置关系:如已知是圆的直径,是平面内一点,则点在圆内;点在圆外;点在圆上.③方程法,已知圆的方程,点,则点在圆内;点在圆上;点在圆外.
四点共圆问题的解题策略:①利用四点构成的四边形的对角互补;②利用待定系数法求出过其中三点的圆的方程,然后证明第四点坐标满足圆的方程.
【典例指引】
类型一 向量法判定点与圆的位置关系
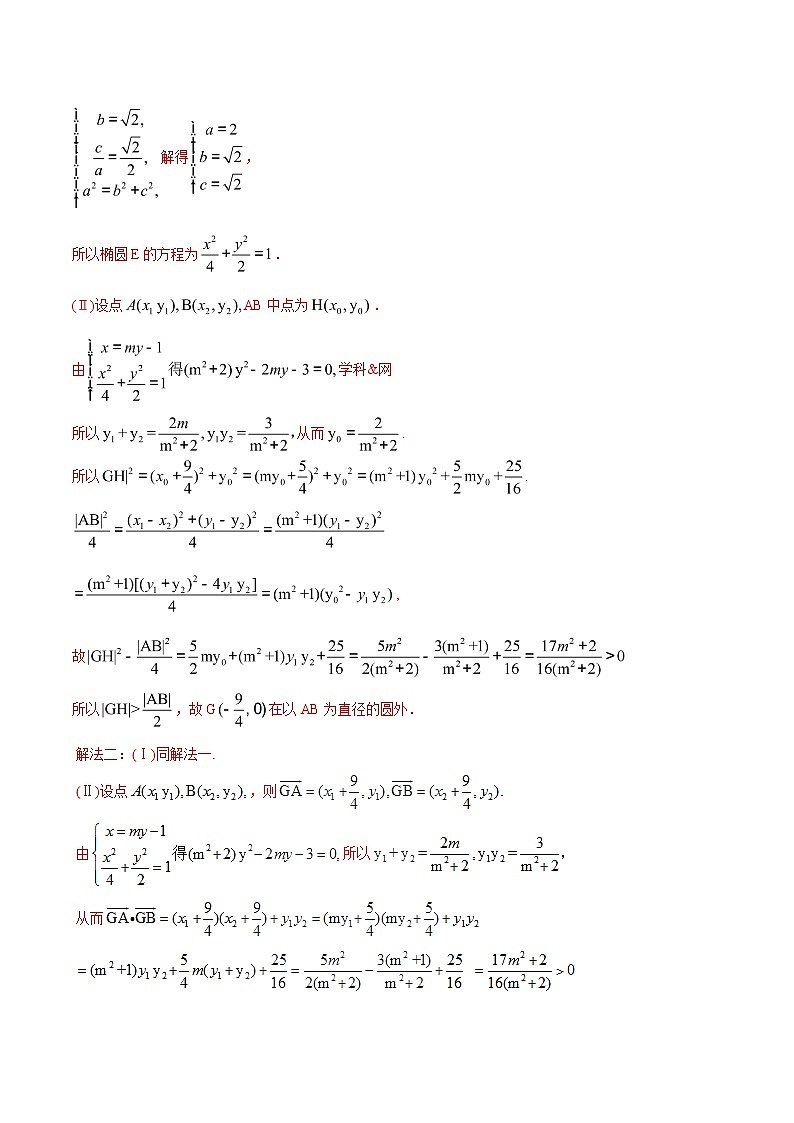
例1 【2015高考福建,理18】已知椭圆E:过点,且离心率为.
(Ⅰ)求椭圆E的方程;
(Ⅱ)设直线交椭圆E于A,B两点,
判断点G与以线段AB为直径的圆的位置关系,并说明理由.
【解析】解法一:(Ⅰ)由已知得
解得,
所以椭圆E的方程为.
(Ⅱ)设点AB中点为.
由学科&网
所以从而.
所以.
,
故
所以,故G在以AB为直径的圆外.
所以不共线,所以为锐角.
故点G在以AB为直径的圆外.学科&网
类型二 四点共圆应用问题
例2. (2014全国大纲21)已知抛物线C:的焦点为F,直线与y轴的交点为P,与C的交点为Q,且.
(I)求C的方程;
(II)过F的直线与C相交于A,B两点,若AB的垂直平分线与C相较于M,N两点,且A,M,B,N四点在同一圆上,求的方程.
类型三 动圆过定点问题
例3(2012福建理19)如图,椭圆的左焦点为,右焦点为,离心率。过的直线交椭圆于两点,且的周长为8。
(Ⅰ)求椭圆的方程。
(Ⅱ)设动直线与椭圆有且只有一个公共点,且与直线相交于点。试探究:
在坐标平面内是否存在定点,使得以为直径的圆恒过点?若存在,求出点的坐标;若不存在,说明理由。
(法2)由得,
∵动直线与椭圆有且只要一个交点,∴且△=0,学科&网
即,化简得 ①
此时==,==,∴(,),
由得(4,).学科&网
假设平面内存在定点满足条件,由图形对称性知,点必在轴上,
设(,0),则=0对满足①式的,恒成立.
∵=(-,),=(4-,),
∴=0,整理得, ②
∴,解得=1,
∴存在定点(1,0),使得以为直径的圆恒过点.
∵=(-1,),=(3,),
∴==0,学科&网
∴恒有, ∴存在定点(1,0),使得以为直径的圆恒过点.
类型四 证明四点共圆
例4. 已知O为坐标原点,F为椭圆在y轴正半轴上的焦点,过F且斜率为的直线与C交与A、B两点,点P满足
(Ⅰ)证明:点P在C上;
(Ⅱ)设点P关于点O的对称点为Q,证明:A、P、B、Q四点在同一圆上.
【扩展链接】
1.O为坐标原点,P、Q为椭圆上两动点,且.(1);(2)|OP|2+|OQ|2的最大值为;(3)的最小值是.
2.若椭圆方程为,半焦距为,焦点,设
过的直线 的倾斜角为,交椭圆于A、B两点,则有:①
;②
若椭圆方程为,半焦距为,焦点,设
过的直线 的倾斜角为,交椭圆于A、B两点,则有:①
;②
同理可求得焦点在y轴上的过焦点弦长为(a为长半轴,b为短半轴,c为半焦距)
结论:椭圆过焦点弦长公式:
3.设为过抛物线焦点的弦,,直线的倾斜角为,则
①.
②.
③.
④.;
⑤.;
⑥.;
【新题展示】
1.【2019陕西第二次质检】已知、为椭圆()的左右焦点,点为其上一点,且.
(1)求椭圆的标准方程;
(2)若直线交椭圆于、两点,且原点在以线段为直径的圆的外部,试求的取值范围.
【思路引导】
(1)由椭圆的定义及点在椭圆上,代入椭圆方程可求得a、b,进而得椭圆的标准方程。
(2)设出A、B的坐标,联立直线方程与椭圆方程,利用韦达定理表示出,代入得到关于k的不等式,解不等式即可得k的取值范围。
【解析】
(1)由题可知,解得,
所以椭圆的标准方程为:.
(2)设,由,得
,
由韦达定理得:,,
由 得或.
又因为原点在线段为直径的圆外部,则,
,
即,
综上所述:实数的取值范围为
2.【2019山西吕梁一模】设椭圆:的左顶点为,上顶点为,已知直线的斜率为,.
(1)求椭圆的方程;
(2)设直线:与椭圆交于不同的两点、,且点在以为直径的圆外(其中为坐标原点),求的取值范围.
【思路引导】
(1)由已知条件列出关于的二元一次方程组,求出的值,得到椭圆方程
(2)由题意中点在以为直径的圆外转化为为锐角,即,设出点、的坐标代入求出的取值范围
【解析】
(1)由已知得:,,
结合已知有,
可得,,
则椭圆的方程为.
(2)设,,由得
.
故,,
.
由题意得为锐角,
∴,
又
∴,解得.
∴的取值范围为.
3.【2019陕西汉中第一次质检】已知椭圆的右焦点F与抛物线焦点重合,且椭圆的离心率为,过轴正半轴一点 且斜率为的直线交椭圆于两点.
(1)求椭圆的标准方程;
(2)是否存在实数使以线段为直径的圆经过点,若存在,求出实数的值;若不存在说明理由.
【思路引导】
(1)根据抛物线焦点可得,又根据离心率可求,利用,即可写出椭圆的方程
(2)由题意可设直线的方程为,联立方程组,消元得一元二次方程,写出,利用根与系数的关系可求存在m.
【解析】
(1)抛物线的焦点是
,,又椭圆的离心率为,即
,,则
故椭圆的方程为.
(2)由题意得直线的方程为
由消去得.
由,解得.
又,.
设,,则,.
.
,,
若存在使以线段为直径的圆经过点,则必有,即,
解得.又,.
即存在使以线段为直径的圆经过点.
4.【2019四川成都高新区一诊】已知抛物线,过点的直线与抛物线相切,设第一象限的切点为.
(1)求点的坐标;
(2)若过点的直线与抛物线相交于两点,圆是以线段为直径的圆过点,求直线的方程.
【思路引导】
(1)根据题意由点斜式设出直线方程,联立后根据相切可知,再由切点在第一象限可求得P点坐标。
(2)设出直线方程,联立抛物线,根据两个交点可得;根据韦达定理用m表示出、、;根据圆是以线段为直径的圆过点,可知,代入坐标可解得或,则直线方程可得。
【解析】
(1)由题意知可设过点的直线方程为
联立得:,
又因为直线与抛物线相切,则,即
当时,直线方程为,则联立得点坐标为
(2)设直线的方程为:,,
联立得:,则恒成立,
,
则,
由于圆是以线段为直径的圆过点,则,[来源:学科网]
,则或
则直线的方程为或
【同步训练】
1. 已知椭圆的离心率,过点A(0,﹣b)和B(a,0)的直线与原点的距离为.
(1)求椭圆的方程;
(2)已知定点E(﹣1,0),若直线y=kx+2(k≠0)与椭圆交于C、D两点,问:是否存在k的值,使以CD为直径的圆过E点?请说明理由.
【思路点拨】(1)直线AB方程为bx﹣ay﹣ab=0,依题意可得:,由此能求出椭圆的方程.
(2)假设存在这样的值.,得(1+3k2)x2+12kx+9=0,再由根的判别式和根与系数的关系进行求解.
(2)假设存在这样的值.
,
得(1+3k2)x2+12kx+9=0,
∴△=(12k)2﹣36(1+3k2)>0…①,
设C(x1,y1),D(x2,y2),则[来源:Zxxk.Com]
而y1•y2=(kx1+2)(kx2+2)=k2x1x2+2k(x1+x2)+4,
要使以CD为直径的圆过点E(﹣1,0),
当且仅当CE⊥DE时,学科&网
则y1y2+(x1+1)(x2+1)=0,
∴(k2+1)x1x2+(2k+1)(x1+x2)+5=0…③
将②代入③整理得k=,学科&网
经验证k=使得①成立综上可知,存在k=使得以CD为直径的圆过点E.
2.已知椭圆的右焦点为,离心率为.
(1)若,求椭圆的方程;
(2)设直线与椭圆相交于两点,分别为线段的中点,若坐标原点在以为直径的圆上,且,求的取值范围.
【思路点拨】(1)结合所给的数据计算可得,,所以椭圆的方程为.
(2)联立直线与椭圆的方程,集合韦达定理和平面向量数量积的坐标运算法则可得 ,结合离心率的范围可知则的取值范围是.
因为,所以,.
所以,即.学科&网
3.已知椭圆: 过点,且离心率.
(Ⅰ)求椭圆的方程;
(Ⅱ)椭圆长轴两端点分别为,点为椭圆上异于的动点,直线:与直线分别交于两点,又点,过三点的圆是否过轴上不同于点的定点?若经过,求出定点坐标;若不存在,请说明理由.
【思路点拨】(1)运用椭圆的离心率公式和点代入椭圆方程,由a,b,c的关系,即可得到椭圆方程;
(2)设,由椭圆方程和直线的斜率公式,以及两直线垂直的条件,计算即可得证.
4.已知椭圆: 的焦点、在轴上,且椭圆经过,过点的直线与交于点,与抛物线: 交于、两点,当直线过时的周长为.
(Ⅰ)求的值和的方程;
(Ⅱ)以线段为直径的圆是否经过上一定点,若经过一定点求出定点坐标,否则说明理由。
【思路点拨】(1)由的周长为求得a,再根据椭圆经过求得m.
(2)设直线方程 ,与抛物线方程联立方程组,消x得关于y的一元二次方程,结合韦达定理,化简以线段为直径的圆方程,按参数n整理,根据恒等式成立条件求出定点坐标
5.已知抛物线顶点在原点,焦点在轴上,抛物线上一点到焦点的距离为3,线段的两端点, 在抛物线上.
(1)求抛物线的方程;
(2)若轴上存在一点,使线段经过点时,以为直径的圆经过原点,求的值;
(3)在抛物线上存在点,满足,若是以角为直角的等腰直角三角形,求面积的最小值.
【思路点拨】(1)根据抛物线的定义,丨QF丨=丨QQ1丨,即可求得p的值,即可求得抛物线方程;
(2)设AB的方程,代入椭圆方程,由,根据向量数量积的坐标运算及韦达定理,即可求得m的值;
(3)设, , ,根据抛物线关于轴对称,取,记, ,则有, ,所以, , ,由,即,进而化简求出,得: , ,即可求得△ABD面积的最小值.
(3)如图所示,
设, , ,根据抛物线关于轴对称,取,记, ,
则有, ,所以, , ,学科&网
又因为是以为顶点的等腰直角三角形,所以,
即,将代入得:
6.已知椭圆: ()经过点,且两焦点与短轴的一个端点的连线构成等腰直角三角形.
(1)求椭圆的方程;
(2)动直线: (, )交椭圆于、两点,试问:在坐标平面上是否存在一个定点,使得以为直径的圆恒过点.若存在,求出点的坐标;若不存在,请说明理由.
【思路点拨】(1)由题设知a= ,所以 ,椭圆经过点P(1, ),代入可得b=1,a=,由此可知所求椭圆方程.
(2)首先求出动直线过(0,﹣)点.当l与x轴平行时,以AB为直径的圆的方程:x2+(y+)2=;当l与y轴平行时,以AB为直径的圆的方程:x2+y2=1.由.由此入手可求出点T的坐标.
(2)首先求出动直线过点.
当与轴平行时,以为直径的圆的方程:
当与轴平行时,以为直径的圆的方程:
由解得学科&网
即两圆相切于点,因此,所求的点如果存在,只能是,事实上,点就是所求的点.
证明如下:
当直线垂直于轴时,以为直径的圆过点
当直线不垂直于轴,可设直线:
由消去得: [来源:Z_xx_k.Com]
7.如图,曲线由上半椭圆: (, )和部分抛物线: ()连接而成, 与的公共点为, ,其中的离心率为.
(1)求, 的值;
(2)过点的直线与, 分别交于点, (均异于点, ),是否存在直线,使得以为直径的圆恰好过点,若存在,求出直线的方程;若不存在,请说明理由.
【思路点拨】(1)在, 的方程中,令,可得,且, 是上半椭圆的左、右顶点,设半焦距为,由及,联立解得;(2)由(1)知,上半椭圆的方程为,由题意知,直线与轴不重合也不垂直,设其方程为(),代入的方程,整理得: ,设点的坐标为,由根公式,得点的坐标为,同理,得点的坐标为.由 ,即可得出的值,从而求得直线方程.
8.已知过点的椭圆的左右焦点分别为, 为椭圆上的任意一点,且成等差数列.
(1)求椭圆的标准方程;
(2)直线交椭圆于两点,若点始终在以为直径的圆外,求实数的取值范围.
【思路点拨】(1)由题意,利用等差数列和椭圆的定义求出的关系,再根据椭圆过点,求出的值,即可写出椭圆的标准方程;
(2)设,根据题意知,联立方程组,由方程的根与系数的关系求解,再由点在以为直径的圆外,得为锐角, ,由此列出不等式求出的取值范围.
(2)设, ,联立方程,消去得:
;
依题意直线恒过点,此点为椭圆的左顶点,∴, ,①
由方程的根与系数关系可得, ;②
可得 ;③
由①②③,解得, ;
由点在以为直径的圆外,得为锐角,即;
由, ,
∴;即,
整理得, ,解得: 或.
∴实数的取值范围是或.
9.已知动点M到点N(1,0)和直线l:x=﹣1的距离相等.
(1)求动点M的轨迹E的方程;
(2)已知不与l垂直的直线l'与曲线E有唯一公共点A,且与直线l的交点为P,以AP为直径作圆C.判断点N和圆C的位置关系,并证明你的结论.
【思路点拨】(1)利用抛物线的定义,即可求动点M的轨迹E的方程;
(2)由题意可设直线l':x=my+n,由可得y2﹣4my﹣4n=0,求出A,P的坐标,利用向量的数量积,即可得出结论.[来源:Zxxk.Com]
所以NA⊥NP,
所以点N在以PA为直径的圆C上.
10.已知抛物线C1:y2=2px(p>0)的焦点为F,抛物线上存在一点G到焦点的距离为3,且点G在圆C:x2+y2=9上.
(Ⅰ)求抛物线C1的方程;
(Ⅱ)已知椭圆C2:=1(m>n>0)的一个焦点与抛物线C1的焦点重合,且离心率为.直线l:y=kx﹣4交椭圆C2于A、B两个不同的点,若原点O在以线段AB为直径的圆的外部,求k的取值范围.
【思路点拨】(1)设点G的坐标为(x0,y0),列出关于x0,y0,p的方程组,即可求解抛物线方程.
(2)利用已知条件推出m、n的关系,设(x1,y1)、B(x2,y2),联立直线与椭圆方程,利用韦达定理以及判别式大于0,求出K的范围,通过原点O在以线段AB为直径的圆的外部,推出•>0,然后求解k的范围即可.
由△>0,即(﹣32k)2﹣4×16(4k2+3)>0,k>或k<﹣…①…(10分)
∵原点O在以线段AB为直径的圆的外部,则•>0,
∴•=x1x2+y1y2=x1x2+(kx1﹣4)•(kx2﹣4)=(k2+1)x1x2﹣4k(x1+x2)+16
=(k2+1)×﹣4k×+16
=>0,解得:﹣<k<…②
由①、②得实数k的范围是﹣<k<﹣或<k<,
∴k的取值范围(﹣,﹣)∪(,).…(12分)
11.已知双曲线渐近线方程为, 为坐标原点,点在双曲线上.
(Ⅰ)求双曲线的方程;
(Ⅱ)已知为双曲线上不同两点,点在以为直径的圆上,求的值.
【思路点拨】(1)根据渐近线方程得到设出双曲线的标准方程,代入点M的坐标求得参数即可;
(2)由条件可得,可设出直线的方程,代入双曲线方程求得点的坐标可求得。[来源:学§科§网]
12.已知点P是圆F1:(x﹣1)2+y2=8上任意一点,点F2与点F1关于原点对称,线段PF2的垂直平分线分别与PF1,PF2交于M,N两点.
(1)求点M的轨迹C的方程;
(2)过点G(0, )的动直线l与点的轨迹C交于A,B两点,在y轴上是否存在定点Q,使以AB为直径的圆恒过这个点?若存在,求出点Q的坐标;若不存在,请说明理由.
【思路点拨】(1)由圆的方程求出F1、F2的坐标,结合题意可得点M的轨迹C为以F1,F2为焦点的椭圆,并求得a,c的值,再由隐含条件求得b,则椭圆方程可求;
(2)直线l的方程可设为 ,设A(x1,y1),B(x2,y2),联立直线方程与椭圆方程,化为关于x的一元二次方程,利用根与系数的关系求出A,B横坐标的和与积,假设在y轴上是否存在定点Q(0,m),使以AB为直径的圆恒过这个点,可得 ,即 .利用向量的坐标运算即可求得m值,即定点Q得坐标.
【详细解析】(1)由圆F1:(x﹣1)2+y2=8,得F1(1,0),则F2(﹣1,0),
由题意得 ,
∴点M的轨迹C为以F1,F2为焦点的椭圆,
∵
∴点M的轨迹C的方程为;
高考数学压轴难题归纳总结培优专题3.10 判断点在圆内外向量应用最厉害 (含解析): 这是一份高考数学压轴难题归纳总结培优专题3.10 判断点在圆内外向量应用最厉害 (含解析),共26页。
专题3.5 参数范围与最值,不等建解不宜迟-2020届高考数学压轴题讲义(解答题)(解析版): 这是一份专题3.5 参数范围与最值,不等建解不宜迟-2020届高考数学压轴题讲义(解答题)(解析版),共36页。
专题3.15 探究向量关系式,几何意义先分析-2020届高考数学压轴题讲义(解答题)(解析版): 这是一份专题3.15 探究向量关系式,几何意义先分析-2020届高考数学压轴题讲义(解答题)(解析版),共30页。

