专题1.1 初识极值点偏移-2020届高考数学压轴题讲义(解答题)(解析版)
展开一、极值点偏移的含义
众所周知,函数满足定义域内任意自变量都有,则函数关于直线对称;可以理解为函数在对称轴两侧,函数值变化快慢相同,且若为单峰函数,则必为的极值点. 如二次函数的顶点就是极值点,若的两根的中点为,则刚好有,即极值点在两根的正中间,也就是极值点没有偏移.
若相等变为不等,则为极值点偏移:若单峰函数的极值点为,且函数满足定义域内左侧的任意自变量都有或,则函数极值点左右侧变化快慢不同. 故单峰函数定义域内任意不同的实数满足,则与极值点必有确定的大小关系:学科*网
若,则称为极值点左偏;若,则称为极值点右偏.[来源:学_科_网Z_X_X_K]
如函数的极值点刚好在方程的两根中点的左边,我们称之为极值点左偏.
二、极值点偏移问题的一般题设形式:
1. 若函数存在两个零点且,求证:(为函数的极值点);
2. 若函数中存在且满足,求证:(为函数的极值点);
3. 若函数存在两个零点且,令,求证:;
4. 若函数中存在且满足,令,求证:.
三、新题展示
【2019江苏无锡高三上学期期末】已知函数 f(x) = -ax(a > 0).
(1) 当 a = 1 时,求证:对于任意 x > 0,都有 f(x) > 0 成立;
(2) 若函数 y = f(x) 恰好在 x = x1 和 x = x2 两处取得极值,求证:< ln a.
【答案】(1)见解析; (2)见解析.
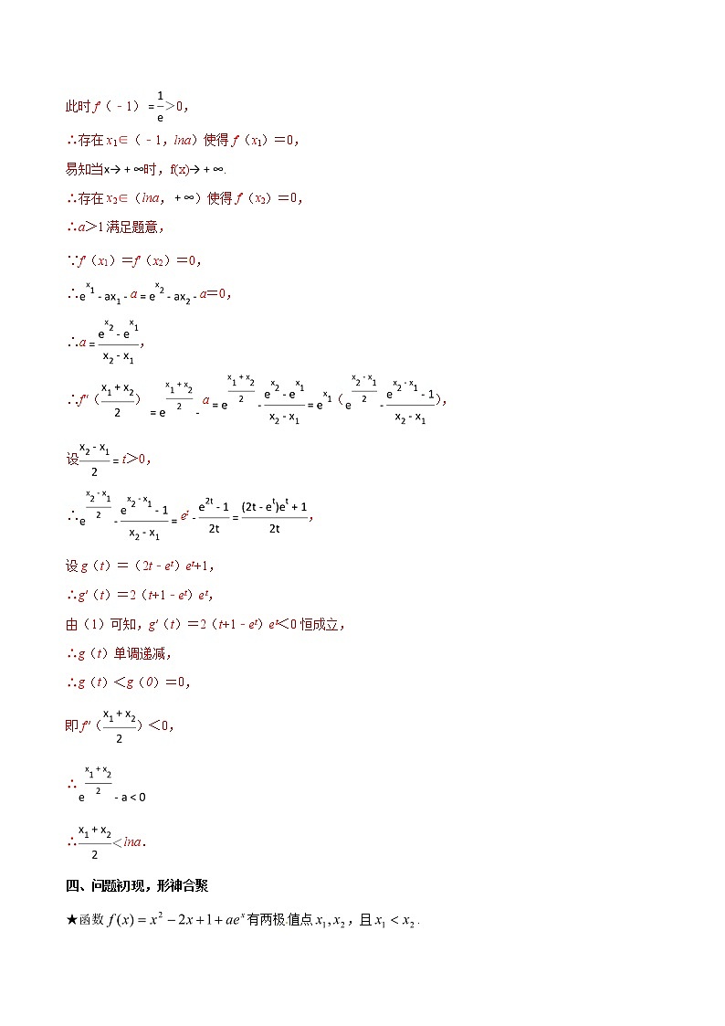
(2)∵函数y=f(x)恰好在x=x1和x=x2两处取得极值
∴x1,x2是方程f′(x)=0的两个实数根,不妨设x1<x2,[来源:学_科_网]
∵f′(x)=ex﹣ax﹣a,f″(x)=ex﹣a,
当a≤0时,f″(x)>0恒成立,∴f′(x)单调递增,f′(x)=0至多有一个实数解,不符合题意,
当a>0时,f″(x)<0的解集为(﹣∞,lna),f″(x)>0的解集为(lna,+∞),
∴f′(x)在(﹣∞,lna)上单调递减,在(lna,+∞)上单调递增,学科.网
∴f′(x)min=f′(lna)=﹣alna,
由题意,应有f′(lna)=﹣alna<0,解得a>1,
此时f′(﹣1)0,
∴存在x1∈(﹣1,lna)使得f′(x1)=0,
易知当时,f(x).
∴存在x2∈(lna,)使得f′(x2)=0,
∴a>1满足题意,
设g(t)=(2t﹣et)et+1,
∴g′(t)=2(t+1﹣et)et,
由(1)可知,g′(t)=2(t+1﹣et)et<0恒成立,
∴g(t)单调递减,
∴g(t)<g(0)=0,
即f″()<0,
∴
∴lna.
四、问题初现,形神合聚[来源:学科网ZXXK]
★函数有两极值点,且.
证明:.
所以,
所以,
因为,,在上单调递减
所以,即.学科&网[来源:学*科*网]
★已知函数的图象与函数的图象交于,过的中点作轴的垂线分别交,于点,问是否存在点,使在处的切线与在处的切线平行?若存在,求出的横坐标;若不存在,请说明理由.
五、招式演练[来源:学科网][来源:Zxxk.Com]
★过点作曲线的切线.
(1)求切线的方程;
(2)若直线与曲线交于不同的两点,,求证:.
【答案】(1)(2)见解析
【解析】
试题分析:(1)先根据导数几何意义求切线斜率,再根据点斜式求切线方程.
因为,不妨设,.学科@网
设,则,
当时,,在单调递增,[来源:学*科*网Z*X*X*K]
所以,所以当时,.
因为,所以,
从而,因为,在单调递减,所以,即.学科&网
极值点偏移问题在近几年高考及各种模考,作为热点以压轴题的形式给出,很多学生对待此类问题经常是束手无策,而且此类问题变化多样,有些题型是不含参数的,而更多的题型又是含有参数的. 其实,此类问题处理的手段有很多,方法也就有很多,下面我们来逐一探索![来源:Z。xx。k.Com]
专题1.4 极值点偏移第二招——含参数的极值点偏移问题-2020届高考数学压轴题讲义(解答题)(解析版): 这是一份专题1.4 极值点偏移第二招——含参数的极值点偏移问题-2020届高考数学压轴题讲义(解答题)(解析版),共17页。试卷主要包含了已知是函数的两个零点,且,已知函数,若存在,使,求证等内容,欢迎下载使用。
专题1.8 极值点偏移第六招——极值点偏移终极套路-2020届高考数学压轴题讲义(解答题)(解析版): 这是一份专题1.8 极值点偏移第六招——极值点偏移终极套路-2020届高考数学压轴题讲义(解答题)(解析版),共19页。试卷主要包含了变换函数能妙解,构造函数现实力,巧引变量等内容,欢迎下载使用。
专题1.6 极值点偏移第四招——含指数式的极值点偏移问题-2020届高考数学压轴题讲义(解答题)(解析版): 这是一份专题1.6 极值点偏移第四招——含指数式的极值点偏移问题-2020届高考数学压轴题讲义(解答题)(解析版),共10页。

