高三数学三角函数专题 方法7:图像法求三角函数最值或值域
展开方法7 图像法求三角函数最值或值域
一、单选题
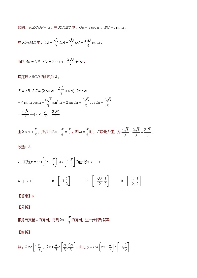
1.如图所示,扇形的半径为,圆心角为,是扇形弧上的动点,四边形是扇形的内接矩形,则的最大值是( )
A. B. C. D.
【答案】A
【分析】
如图先用所给的角将矩形的面积表示出来,建立三角函数模型,再根据建立的模型利用三角函数的性质求最值.
【解析】
如图,记,在中,,,
在中,,
所以,
设矩形的面积为,
由,所以当,即时,取最大值,为,
故选:A.
2.函数的值域为( )
A.[0,1] B. C. D.
【答案】B
【分析】
根据自变量的范围,得到的范围,进一步得到答案.
【解析】
解:,,所以.
故选:B.
3.已知集合,,则( )
A. B. C. D.以上答案都不对
【答案】D
【分析】
化简集合,再根据集合的交集运算求得结果.
【解析】
,集合A的元素代表是x,
,集合B的元素代表是y,
当时,,
故选:D
【小结】
本题考查求三角函数的定义域与值域及集合的交集运算,利用描述法描述集合时一定注意集合的元素代表,考查学生的分析与转化能力,属于基础题.
4.已知函数在它的一个最小正周期内的图像上,最高点与最低点的距离是5,则等于( ).
A.1 B.2 C. D.4
【答案】B
【分析】
根据正弦型函数图象性质确定函数的最小正周期,再根据最高点与最低点的距离是5,可列出方程,从而解得的值.
【解析】
解:函数的最小正周期
函数在它的一个最小正周期内的图像上,最高点与最低点的距离是5,
,解得.
故选:B.
【小结】
对于三角函数,求最小正周期和最值时可先把所给三角函数式化为或的形式,则最小正周期为,最大值为,最小值为;奇偶性的判断关键是解析式是否为或的形式.
5.已知向量,向量,则的最大值和最小值分别是( )
A.4,2 B.4,0 C.16,2 D.16,0
【答案】B
【分析】
利用向量的坐标运算得到,再利用三角函数求最值.
【解析】
向量,向量,则,,
所以,
所以的最大值,最小值分别是:16,0;
所以的最大值,最小值分别是4,0.
故选:B
【小结】
关键小结:解答本题的关键是把化简得到,后面利用三角函数的图象和性质解答就简单了.
6.已知函数)的图象在区间上恰有3个最高点,则的取值范围为
A. B. C. D.
【答案】C
【解析】
因为函数)的图象在区间上恰有3个最高点,
所以函数)的图象在区间上至少有两个周期加八分之一周期,少于三个周期加八分之一周期,
所以,
所以
本题选择C选项.
二、多选题
7.关于函数,则下列结论正确的是( )
A.是偶函数
B.是周期函数
C.在区间上单调递减
D.的最大值为1
【答案】ACD
【分析】
利用奇偶性和周期性的定义可判断选项AB,求出再的单调性即可判断C,求出的最大值即可判断选项D,进而可得正确选项.
【解析】
对于选项A: ,所以是偶函数,故选项A正确;
对于选项D:因为是偶函数,只考虑时的性质,此时,
当时,,
当时,,
所以的值域为,最大值为1,故选项D正确;
对于选项B:由选项D以及是偶函数可得图象如图所示:
所以不是周期函数.故选项B不正确;
对于选项C: 当时, ,此时,函数为减函数,故选项C正确;
故选:ACD
【小结】
本题的突破口是利用是偶函数,研究时的性质,即可判断整个定义域内的性质,对于含绝对值的要分象限讨论去绝对值.
8.已知函数(,)的最小正周期为,且图象过点,则( )
A.直线是函数图象的一条对称轴
B.的图象可由的图象向左平移个单位长度得到
C.在上的值域为
D.在区间上单调递减
【答案】AC
【分析】
先利用两角和的正弦公式化简,利用已知条件求出,得到,再利用三角函数的图象与性质逐一判断即可.
【解析】
,
由,
解得,
又函数的图象过点,
所以,
结合,
得,
所以.
当时,,
故直线是函数图象的一条对称轴,选项A正确;
,
将其图象向左平移个单位长度后,
得到函数的图象,
该解析式不能化为,故选项B错误;
当时,,
此时,选项C正确;
当时,,
结合正弦函数的图象可知,
在该区间上有增有减,故选项D错误.
故选:AC.
【小结】
关键小结:熟练掌握三角函数的图象与性质是解决本题的关键.
9.在现代社会中,信号处理是非常关键的技术,我们通过每天都在使用的电话或者互联网就能感受到.而信号处理背后的“功臣”就是正弦型函数.函数的图象就可以近似的模拟某种信号的波形,则( )
A.函数为周期函数,且最小正周期为
B.函数的图象关于点对称
C.函数的图象关于直线对称
D.函数的导函数的最大值为4
【答案】BCD
【分析】
利用周期的定义可判断A选项的正误;根据 可判断B选项的正误;利用函数的对称性可判断C选项的正误;求得函数的导数,求出的最大值,可判断D选项的正误.
【解析】
,
,
所以,不是函数的最小正周期,A选项错误;
,
,
所以,故函数的图象关于点对称,B选项正确;
,
所以,函数的图象关于直线对称,C选项正确;
,
,,,,
则,又,
所以函数的最大值为,D选项正确.
故选:BCD.
【小结】
本题考查正弦、余弦型函数基本性质的判断,涉及正弦型函数的周期性、对称性以及余弦型函数最值的判断,考查计算能力,属于中等题.
10.已知函数,则( )
A.的图象关于点对称 B.的图象的一条对称轴是
C.在上递减 D.在值域为
【答案】BC
【分析】
首先根据求导公式得到,再利用三角函数的性质依次判断选项即可.
【解析】
,所以.
对选项A,,故A错误;
对选项B,,所以为图象的一条对称轴,
故B正确.
对选项C,因为,所以,
所以函数在为增函数,
即在为减函数,故C正确.
对选项D,,所以,
所以,,故D错误.
故选:BC
11.若函数f(x)= sin2x的图象向右平移个单位得到的图象对应的函数为g(x),则下列说法中正确的是( )
A.g(x)的图象关于x=对称
B.当x[0,]时,g(x)的值域为[-,]
C.g(x) 在区间,上单调递减
D.当x∈[0,]时,方程g(x)=0有3个根.
【答案】AC
【分析】
先由已知求出函数的解析式.
选项:因为,所以正确;
选项:当时,则,所以错误;
选项: ,由正弦函数的单调递减区间可得:正确;
选项:满足方程的的值分别为:,共两个根,所以错误.
【解析】
由已知可得函数,
选项:因为,所以正确,
选项:当时,,
则,所以错误,
选项:当时,,
由正弦函数的单调递减区间可得:正确,
选项:令,,解得,,
又,,所以满足方程的的值分别为:,共两个根,所以错误,
故选:AC
【小结】
求函数的单调区间,一般利用复合函数的单调性原理解答:首先是对复合函数进行分解,接着是根据复合函数的单调性原理分析出分解出的函数的单调性,最后根据分解函数的单调性求出复合函数的单调区间.
12.已知函数([]表示不超过实数的最大整数部分),则( )
A.的最小正周期为 B.是偶函数
C.在单调递减 D.的值域为
【答案】AB
【分析】
根据正、余弦函数的图象性质及题目条件分析判断即可.
【解析】
因为,所以函数为偶函数,所以B正确;
根据正弦、余弦函数的图象性质可知的最小正周期为,故A正确;
又因为当和时,
,所以,,且在上无单调性,故C错;
当时,,所以,
;
当时,,所以,则,
所以函数的值域为,故D错.
故选:AB.
【小结】
本题考查三角函数图象性质的综合运用问题,较简单,解答时根据函数解析式的特点及奇偶性、周期性的概念判断即可.
13.函数的部分图象如图所示,且满足,现将图象沿轴向左平移个单位,得到函数的图象.下列说法正确的是( )
A.在上是增函数
B.的图象关于对称
C.是奇函数
D.在区间上的值域是
【答案】BCD
【分析】
根据三角函数的图象求出,根据图象变换求出,根据可知不正确;根据,可知正确;根据可知正确;利用正弦函数的图象求出的值域,可知正确.
【解析】
设的最小正周期为,由题图可知,所以,,当时,,即,
所以,因为,所以,,
所以,又,所以,
所以,
所以,
因为,所以不正确;
因为,所以正确;
因为,所以是奇函数,故正确;
当时,,,,故正确.
故选:BCD.
【小结】
本题考查了由三角函数的图象求解析式,考查了根据图象变换求解析式,考查了正弦型函数的单调性、对称轴、奇偶性、值域,属于中档题.
三、解答题
14.已知函数.
(I)求函数的最小正周期;
(II)求函数的单调增区间;
(III)当时,求函数的最小值.
【答案】(Ⅰ)最小正周期为;(Ⅱ),;(Ⅲ)-1.
【分析】
(I)先将解析式化为,然后利用正弦型函数的周期公式可计算出该函数的最小正周期;
(II)根据正弦函数的单调区间,利用整体法得出,,,即可求出该函数的单调增区间;
(III)由可计算出的取值范围,再根据正弦函数的性质,即可求出函数的最大值和最小值.
【解析】
解:(Ⅰ)因为,
则,
所以函数最小正周期为;
(Ⅱ)因为,,
所以,,
函数的单调增区间为,;
(Ⅲ)因为,所以,
而,,所以,
所以的最小值为.
【小结】
本题考查正弦型函数的最小正周期,利用整体法求正弦型函数的单调增区间,以及正弦型函数在给定区间的最值,熟练掌握正弦函数的图像和性质是解题的关键,属于常考题型.
15.若函数,的图象经过点,且相邻的两个零点差的绝对值为6.
(1)求函数的解析式;
(2)若将函数的图象向右平移3个单位后得到函数的图象,当时,求的值域.
【答案】(1);(2).
【分析】
(1)求出函数的周期,求解,利用函数经过的点,求解,然后得到函数的解析;
(2)利用函数的图象的平移变换推出函数的解析式,求解相位的范围,然后求解函数的最值,即可得的值域.
【解析】
(1)因为相邻的两个零点差的绝对值为6,
记的周期为,则,
所以,所以,
所以;
因为的图象经过点,所以,
所以,又,所以 ,
所以函数的解析式为.
(2)由(1)知,
因为将函数的图象向右平移3个单位后得到函数的图象,
所以函数的解析式为,
当时,,所以,
综上,当时,的值域为.
【小结】
由函数的部分图象确定解析式关键在于确定参数,的值.
(1)一般可由图象上的最大值、最小值来确定.
(2)因为,所以往往通过求周期来确定,可通过已知曲线与轴的交点从而确定,即相邻的最高点与最低点之间的距离为;相邻的两个最高点(或最低点)之间的距离为;相邻的两个零点之间的距离为.
16.已知函数
(1)求函数的最小正周期;
(2)求函数在上的值域.
【答案】(1);(2).
【分析】
(1)根据降幂公式与辅助角公式化简得,进而根据最小正周期公式即可得答案;
(2)由得,进而根据正弦函数的性质即可得值域.
【解析】
解:
故函数的最小正周期
当时,
则
所以
即函数在上的值域是.
【小结】
本题解题的关键是利用降幂公式和辅助角公式化简得,进而结合正弦函数的性质求解,考查运算求解能力,是基础题.
17.已知函数的图象关于直线对称,且图象上相邻两个最高点的距离为.
(1)求和的值;
(2)当时,求函数的最大值和最小值.
【答案】(1),;(2),.
【分析】
(1)由图象上相邻两个最高点的距离为得的最小正周期,故,由函数图象关于直线对称得,,再结合范围得;
(2)由(1)得,进而得,再结合正弦函数的性质即可得答案.
【解析】
(1)因为的图象上相邻两个最高点的距离为,
所以的最小正周期,从而.
又因为的图象关于直线对称,所以,,
又,
所以.
综上,,.
(2)由(1)知.
当时,可知.
故当,即时,.
当,即时,.
【小结】
本题解题的关键在于先根据得,进而结合正弦函数的性质,采用整体思想求解,考查运算求解能力,是中档题.
18.已知函数的图象的相邻两条对称轴间的距离为.
(1)求函数的单调增区间;
(2)当时,求的取值范围.
【答案】(1);(2).
【分析】
(1)由对称轴间距离的两倍得到周期,求得,得到函数的解析式,根据正弦函数的性质求得的单调增区间;
(2)由的取值范围得到的取值范围,利用正弦函数的性质求得函数的值域.
【解析】
解:(1)由题意知,
∵,∴,
∴,
由得,
∴的单调增区间为.
(2)当时,,
∴,
∴.
【小结】
本题考查正弦函数的图象和性质,属基础题,注意相邻对称轴间的距离为半个周期,的单调区间是将看成一个整体,代入正弦函数的相应的单调区间,通过解不等式求得;函数的值域也是将看成一个整体,利用正弦函数的图象和性质或者利用单位圆得到其值域.
19.已知函数.
(1)求的最小正周期;
(2)求在区间上的最小值及单调减区间.
【答案】(1)最小正周期为;(2);的单调递减区间为.
【分析】
(1)利用降幂公式、诱导公式及逆用正弦二倍角公式将函数化为一个角的正弦函数,再利用周期公式,即可求出的最小正周期;
(2)先求出内层函数的值域,再结合正弦函数的图象和性质,即可求出结果.
【解析】
(1)
.
所以的最小正周期为.
(2)因为,所以,
所以当,即时,函数取得最小值.
由,得,所以函数的单调递减区间为.
【小结】
本题的关键是根据式子结构,将函数化为的形式.
20.已知函数.
(1)若,,求的值域;
(2)若,,的最大值是,求的值.
【答案】(1);(2).
【分析】
(1)时,先利用三角恒等变换公式化简函数,再利用三角函数的性质求出的值域;
(2)化简函数,根据三角函数的图象与性质求出的值.
【解析】
(1)
,
,,,
所以函数的值域为;
(2)由题意得:,
由于函数的最大值为,,
即,
得,又,故.
【小结】
对三角函数考查是近几年高考考查的一类热点问题,一般难度不大,但综合性较强.解答这类问题,两角和与差的正余弦公式、诱导公式以及二倍角公一定要熟练掌握并灵活应用,特别是二倍角公式的各种变化形式要熟记于心,在研究三角函数的图象和性质问题时,一般先运用三角恒等变形,将表达式转化为一个角的三角函数的形式求解.
21.已知,是函数(>0)的两个相邻的零点.
(1)若对任意,恒成立,求实数m的取值范围;
(2)若关于x的方程在上有两个不同的解,求实数n的取值范围.
【答案】(1);(2).
【分析】
(1)首先利用降幂公式化简函数,再利用周期求,将恒成立问题转化为,转化为求函数的最大值;(2)将方程化简为,,若方程有两个不同的解,转化为,与有两个交点,求的取值范围.
【解析】
(1)
.
由题意得,的最小正周期,,∴
∴
∵对任意,恒成立,
∴
∵,∴
∴
∴,
∴,即实数m的取值范围为
(2)原方程可化为
即,.
令,
∵,∴
∵关于x的方程在上有两个不同的解,
首先画出的图象,
若与有两不同的交点,转化为,与有两个交点,
∴,解得,即n的取值范围为.
【小结】
根据方程实数根的个数求参数的取值范围,一般可采用1.直接法:直接求解方程得到方程的根,再通过解不等式确定参数范围;(2)分离参数法:先将参数分离,转化成求函数值域问题加以解决;(3)数形结合:先对解析式变形,在同一平面直角坐标系中,画出函数的图象,然后观察求解,此时需要根据零点个数合理寻找“临界”情况,特别注意边界值的取舍.
22.已知函数
(I)求的最小正周期及对称轴方程;
(Ⅱ)求在区间上的最值.
【答案】(I);,.(Ⅱ)最大值为,最小值为
【分析】
(I)利用辅助角公式化为一个角的三角函数,即的形式,然后由正弦函数的性质可求解.
(Ⅱ)由,求得,由正弦函数的性质可得最值即可.
【解析】
(I)由,
得的最小正周期;
的对称轴方程,
即,.
所以的最小正周期为,
对称轴方程为:,.
(Ⅱ),
,
,
∴ 当时,
即时,
,
当时,
即时,
;
所以在区间上的最大值为,最小值为.
【小结】
三角函数问题一般都要利用两角和与差的正弦(余弦)公式、二倍角公式、诱导公式等化为一个角的三角函数,即的形式,然后利用正弦函数性质求解.
23.已知向量,,函数.
(1)若,求的取值范围;
(2)在中,角A,B,C的对边分别是a,b,c,若,,,求的面积.
【答案】(1);(2).
【分析】
(1)根据向量数量积公式与三角恒等变换公式,化简得,再由利用正弦函数的图象与性质,可得的取值范围;
(2)根据的表达式化简(B),算出.再根据已知条件利用正弦定理算出,结合得出,由三角形内角和定理算出,得到是以为直角顶点的直角三角形,可得的面积.
【解析】
(1)向量,
.
由此可得函数,
又,得.
,即的取值范围是;
,(B),
又,,,可得.
,
根据正弦定理,可得,
由得,所以,
因此,可得是以为直角顶点的直角三角形,
的面积.
【小结】
三角恒等变换方法:三看(看角、看名、看式)→三变(变角、变名、变式)
(1)“变角”主要指把未知的角向已知的角转化,把未知的角变成已知角的和差,
或者变成已知角与特殊角的和差.是变换的主线,如, ,,等.
(2)“变名”指的是“切化弦”(正切余切化成正弦余弦.
(3)“变式”指的是利用升幂公式和降幂公式升幂降幂,利用和角和差角公式、辅助角公式展开和合并等.
.
24.已知函数
(1)求的最小正周期;
(2)若方程在有实根,求实数m的取值范围.
【答案】(1) ;(2).
【分析】
(1)化简函数得,即得的最小正周期;
(2)由题得的值域为,即得解.
【解析】
解:(1)函数
,
最小正周期为.
(2)在区间上,,
故当时,函数取得最小值为-2,
当时,函数取得最大值为,故的值域为,
若方程在有实根,则实数的取值范围为.
【小结】
求三角函数在区间上的最值,一般先求出的范围,再利用三角函数的图象和性质分析得解.
25.补充问题中横线上的条件,并解答问题.
问题:已知,a=____,b=_____,写出函数的一个周期,并求在上的最大值.
【答案】答案见解析.
【分析】
提供两种思路:
补充一:取,,结合二倍角公式和辅助角公式可得,再利用正弦函数的图象与性质即可得解;
补充二:取,,结合二倍角公式和配方法可得,再证明得周期,利用二次函数的性质得最大值.
【解析】
补充一:
取,,则,
的一个周期为,
,,,
当,即时,取得最大值,最大值为.
补充二:
取,,则,
,
的一个周期为,
,
,,,
当,取得最大值,为.
【小结】
结论小结:本题属于条件不良题型,需补全条件,三角函数求最值时,一般包含两种常见题型,一种是能化简为类型的函数,这种求最值,需将看成一个整体,利用正弦函数的图象求最值,另一种是能化简为关于或的二次函数,利用二次函数求最值.
26.已知函数,先将的图象向左平移个单位长度后,再将所得图象上各点的横坐标伸长到原来的2倍(纵坐标不变),得到函数的图象.
(1)当时,求函数的值域;
(2)求函数在上的单调递增区间.
【答案】(1);(2)单调递增区间为和.
【分析】
(1)根据的范围求出的范围,再结合三角函数的性质求出的值域.
(2)根据函数的图形变换的规则,可写出的解析式,再根据的性质求出满足定义域的单调递增区间.
【解析】
(1)当时,,,.
(2)由题意得,将的图像向左平移个单位长度后,得到的图像,再将所得图像上各点的横坐标伸长到原来的2倍,得到.
令,,解得,,函数的单调递增区间为.
又,故所求单调递增区间为和.
【小结】
(1)对于,可设
当,再根据的性质求出,的值域.
(2)三角函数图像变换:
,
当函数在方向上压缩为原来的;当时,函数在方向上扩大为原来的倍.
当时,函数在方向上扩大为原来的倍;当,函数在方向上压缩为原来的.
,函数图像向左平移个单位.
27.已知函数,,直线()与函数,的图象分别交于M、N两点.
(Ⅰ)当时,求的值;
(Ⅱ)求在时的值域.
【答案】(Ⅰ);(Ⅱ).
【分析】
(Ⅰ)直接根据计算可得解;
(Ⅱ)写出的解析式,利用两角和的余弦公式和正弦公式化简可得,再根据的范围求出,根据正弦函数的图象可得结果.
【解析】
(Ⅰ)直线()与函数,的图象分别交于M、N两点.
当有,.
(Ⅱ)
,,
所以,所以,
的值域为.
【小结】
本题考查了两角和的余弦公式和正弦公式,考查了正弦函数的图象的应用,属于中档题.
28.已知函数(,,)的部分图象如图所示.
(1)求函数的解析式;
(2)将函数的图象向右平移个单位得到函数,当时,求函数的值域.
【答案】(1);(2)
【分析】
(1)由图象先求周期可得,再利用过可以求出,利用与轴的交点坐标可以求,从而可得函数的解析式;
(2)先根据图象的平移变换求出解析式,可得解析式,利用辅助角公式化简,再利结合正弦函数图象即可求值域.
【解析】
由图知:,
所以,
又因为,且,令,得:,
由,得,所以,
(2),
所以
,
因为 ,所以 ,所以,
所以,
【小结】
本题主要考查了由部分图象求函数解析式,以及求三角函数指定区间的值域,属于中档题.
29.已知函数,将曲线向右平移个单位,得到的曲线关于原点对称.
(1)求;
(2)求在上的值域.
【答案】(1);(2).
【分析】
(1)先化简得,由题得到,即得解;
(2)根据的范围逐步求出函数在上的值域.
【解析】
(1)由题得,
将曲线向右平移个单位,得到.
由题得,,所以,.
因为,所以.
(2)由(1)知:,
因为,所以.
从而,
故在上的值域为.
【小结】
本题主要考查三角恒等变换,考查三角函数图象的变换和性质,考查三角函数的值域的求法,意在考查学生对这些知识的理解掌握水平.
30.函数f(x)=2sin(2x+φ) 部分图象如图所示.
(1)求f(x)的最小正周期及图中x0的值;
(2)求f(x)在区间上的最大值和最小值.
【答案】(1)π;x0=π;(2)最大值2,最小值-1.
【分析】
(1)利用函数解析式求出最小正周期;利用点在图象上,求出φ,再利用五点作图法可得x0的值;
(2)由(1)得出函数解析式,由0≤x≤,结合正弦函数的性质求出函数的最大值和最小值.
【解析】
(1)由题意得T==π.
因为点(0,1)在f(x)=2sin(2x+φ)图象上,
所以2sin(2×0+φ)=1.
又因为|φ|<,所以φ=.
所以2x0+=π,即x0=π.
(2)由(1)知f(x)=2sin,
因为0≤x≤,所以≤2x+≤.
当2x+=,即x=时,f(x)取得最大值2;
当2x+=,即x=时,f(x)取得最小值-1.
【小结】
本题考查正弦函数的图象和性质,考查五点作图法的应用,考查学生数形结合能力,属于基础题.
31.已知函数
(1)求函数的单调区间
(2)若函数的图象向右平移个单位,再向下平移个单位后得到函数的图象,当,求函数的值域
【答案】(1)增区间:,,减区间:,;(2)
【分析】
(1)首先根据题意得到,再求函数的单调区间即可.
(2)首先根据题意得到,根据得到,即可得到函数的值域.
【解析】
(1)
.
,解得,.
,解得,.
所以函数的增区间:,,
减区间:,.
(2).
因为,所以.
所以,即.
【小结】
本题第一问考查三角函数的单调区间,第二问考查三角函数的平移变换,同时考查了三角函数的值域问题,属于简单题.
32.设,,函数,且已知函数在区间上的最大值为.
(1)求实数的值;
(2)求使得成立的的取值集合.
【答案】(1);(2).
【分析】
(1)由已知化简得,根据定义域得到的正弦值的范围,找到最大值可得答案;
(2)根据求定义域解不等式即可.
【解析】
(1)
当时, 则有最大值1,
的最大值为,得.
(2)令得,
有,
解得的取值集合.
【小结】
本题考查正弦型三角函数的化简、三角函数的最值、值域对应的定义域等性质,属于基础题.
33.已知函数满足如下条件:①函数的最小值为,最大值为9;②且;③若函数在区间上是单调函数,则的最大值为2.试探究并解决如下问题:
(1)求的解析式;
(2)设,是函数的零点,求的取值集合.
【答案】(1);(2).
【分析】
(1)由题意利用三角恒等变换,正弦函数的图象和性质,求得的解析式.
(2)由题意利用正弦函数的图象和性质,求得的值,可得的取值集合.
【解析】
解:(1)因为,,
所以,,,
所以,.
所以,
.
因为,若在区间上是单调函数,
则的最大值为2,所以,
所以,所以,即,
所以.
因为,所以.
因为,所以,或.
∵,所以,.
所以,.
(2)令,则,
所以,函数的零点都满足:
,或.
因为,是函数的零点,
所以或,
即或或.
故的值的集合为.
【小结】
本题考查了利用三角函数的图象和性质求解析式,考查了三角函数图象的综合应用,属于中档题.
34.已知的三个内角的对边分别为,若角成等差数列,且,
(1)求的外接圆直径;
(2)求的取值范围.
【答案】(1)1;(2).
【分析】
(1)由角、、成等差数列,及三角形内角和定理可求,根据正弦定理得的外接圆直径的值;
(2)由(1)知,,,由正弦定理,三角函数恒等变换的应用可求,结合范围,利用正弦函数的性质可求的取值范围.
【解析】
(1)由角、、成等差数列,
所以,
又因为,
所以,
根据正弦定理得,的外接圆直径.
(2)由(1)知,,
所以,所以,
由(1)知的外接圆直径为1,根据正弦定理得,,
.
,,
,
从而,
所以的取值范围是,
【小结】
本题主要考查了正弦定理、三角函数恒等变换的应用,考查正弦函数的图象和性质,意在考查学生对这些知识的理解掌握水平.
35.已知,,.
(1)求关于x的表达式,并求的最小正周期;
(2)若时的最小值为5,求m的值.
【答案】(1);(2).
【分析】
(1)首先化简函数,根据公式求周期;(2)由(1)可知先求的范围,再求函数值域,根据最小值为5,求的值.
【解析】
(1)
,
函数的最小正周期;
(2)当时,,
的值域是,
由题意可知,解得:.
【小结】
本题考查三角函数的性质,三角恒等变形,重点考查转化与化归的思想,属于基础题型.
36.已知函数,.
(1)求函数的最小正周期;
(2)当时,求函数的最大值与最小值及相应的值.
【答案】(1);(2)时,;时,.
【分析】
(1)利用两角和的正弦公式及二倍角公式化为一个角的三角函数得最小正周期;
(2)求得结合三角函数性质求解最值即可
【解析】
(1)解:.
故函数的最小正周期.
(2)解:当时,,
当,即时,函数取得最大值;
当,即时,函数取得最小值.
【小结】
本题考查三角恒等变换的化简问题,考查三角函数的图像及性质,考查三角公式的运用,是中档题.
37.已知函数,.
(1)求的最小正周期和值域;
(2)若()为的一个零点,求的值.
【答案】(1)最小正周期为,;(2).
【分析】
(1)利用二倍角公式及辅助角公式将化简,根据正弦函数图象及性质即可求得的最小正周期和值域;
(2)由,求得,由的取值范围,即可求得的取值范围,由同角三角函数的基本关系,求得的值,,根据两角和的正弦公式即可求得的值.
【解析】
解:(1),
,
,
,
所以的最小正周期为,
由,
,
∴的值域为.
(2)由,
得,
又由,得,
∴,
∴,
则,
,
,
.
【小结】
本题考查二倍角公式、同角三角函数的基本关系、两角和的正弦公式、辅助角公式、正弦函数图象及性质,是中档题.
38.已知函数的部分图象如图所示.
(1)求函数的解析式;
(2)求函数在上的值域.
【答案】(1);(2).
【分析】
(1)由图可知,,所以,,再把点和均代入函数中,结合,,可求得函数解析式为;
(2)先根据(1)中函数的解析式分别求得,求出的解析式,再结合正弦的两角和公式与辅助角公式可将函数化简为,最后结合正弦函数的图象即可求出其值域.
【解析】
(1)由图可知,,
∴,,
∵函数的图象经过点和,
∴,
∴,
∵,,
∴,.
∴函数的解析式为.
(2)由(1)可知,,
,
∴
,
∵,
∴,
,
∴函数的值域为.
【小结】
本题主要考查了利用图象求函数的解析式、正弦函数的值域和三角恒等变换公式,考查学生的数形结合能力和运算能力,属于中档题.
39.已知函数.
(1)求的单调递增区间;
(2)求在区间上的最小值.
【答案】(1);(2).
【分析】
(1)根据二倍角的正弦公式、降幂公式以及两角和的正弦公式化简解析式,再根据正弦函数的递增区间列式可解得结果;
(2)由的范围得到的范围,再根据正弦函数的图象可得结果.
【解析】
(1),
∴,
由得,
则的单调递增区间为.
(2)∵,∴,
当,即时,.
【小结】
本题考查了二倍角的正弦公式、降幂公式以及两角和的正弦公式,考查了利用正弦函数的图象求最值,属于中档题.
40.已知满足,若其图像向左平移个单位后得到的函数为奇函数.
(1)求的解析式;
(2)在锐角中,角A、B、C的对边分别为a、b、c,且满足,求的取值范围.
【答案】(1);(2).
【分析】
(1)根据周期求出,利用图象变换求出,即可求的解析式;
(2)由正弦定理得:,进而求出,用表示出,代入已知的等式,利用诱导公式及两角和的正弦函数公式化为一个角的正弦函数,根据的范围求出这个角的范围,由正弦函数的值域即可得到所求式子的取值范围.
【解析】
(1),可得,的周期为
,,
图像向左平移个单位可得,函数为奇函数
则,解得,又,
(2)即
化简得
∵,即
∵是锐角三角形, ,
∴,∴,∴,∴.
【小结】
本题考查三角函数的性质,考查三角恒等变换的应用,考查正弦函数的奇偶性和值域,属于中档题.
41.函数在一个周期内的图象如图所示.已知,.
(1)求函数的解析式;
(2)将函数的图象向左平移个单位,再将得到的图象上各点的横坐标伸长为原来的2倍(纵坐标不变),得到函数的图象,求在上的最小值.
【答案】(1);(2).
【分析】
(1)首先根据函数图象得到,根据周期得到,再根据得到,从而得到函数解析式.
(2)根据函数的变换得到,再求最小值即可.
【解析】
(1)由图可得.
因为,所以,即.
又,所以,.
因为,所以.
所以.
(2)的图象向左平移个单位得到:
,
再将得到的图象上各点的横坐标伸长为原来的2倍(纵坐标不变)得到:
,
因为,所以.
当,即时,取得最小值.
【小结】
本题主要考查三角函数的图象变换,同时考查了的图象和三角函数的最值问题,属于中档题.
高三数学三角函数专题 方法8:换元法求三角函数最值或值域: 这是一份高三数学三角函数专题 方法8:换元法求三角函数最值或值域,文件包含方法8换元法求三角函数最值或值域原卷版docx、方法8换元法求三角函数最值或值域解析版docx等2份试卷配套教学资源,其中试卷共55页, 欢迎下载使用。
高三数学三角函数专题 方法2:齐次式法求三角函数值: 这是一份高三数学三角函数专题 方法2:齐次式法求三角函数值,文件包含方法2齐次式法求三角函数值原卷版docx、方法2齐次式法求三角函数值解析版docx等2份试卷配套教学资源,其中试卷共44页, 欢迎下载使用。
高三数学三角函数专题 方法20:利用三角函数值域求范围问题: 这是一份高三数学三角函数专题 方法20:利用三角函数值域求范围问题,文件包含方法20利用三角函数值域求范围问题原卷版docx、方法20利用三角函数值域求范围问题解析版docx等2份试卷配套教学资源,其中试卷共57页, 欢迎下载使用。

