- 中考数学一元一次不等式与一元一次方程 其他 0 次下载
- 全国各省市中考数学压轴题精选精析 (2) 试卷 1 次下载
- 中考数学压轴题及答案40例第2部分 试卷 2 次下载
- 中考数学压轴题及答案40例第7部分 试卷 2 次下载
- 中考数学压轴题大集合 试卷 1 次下载
中考数学压轴题及答案40例第4部分
展开中考数学压轴题及答案40例(4)
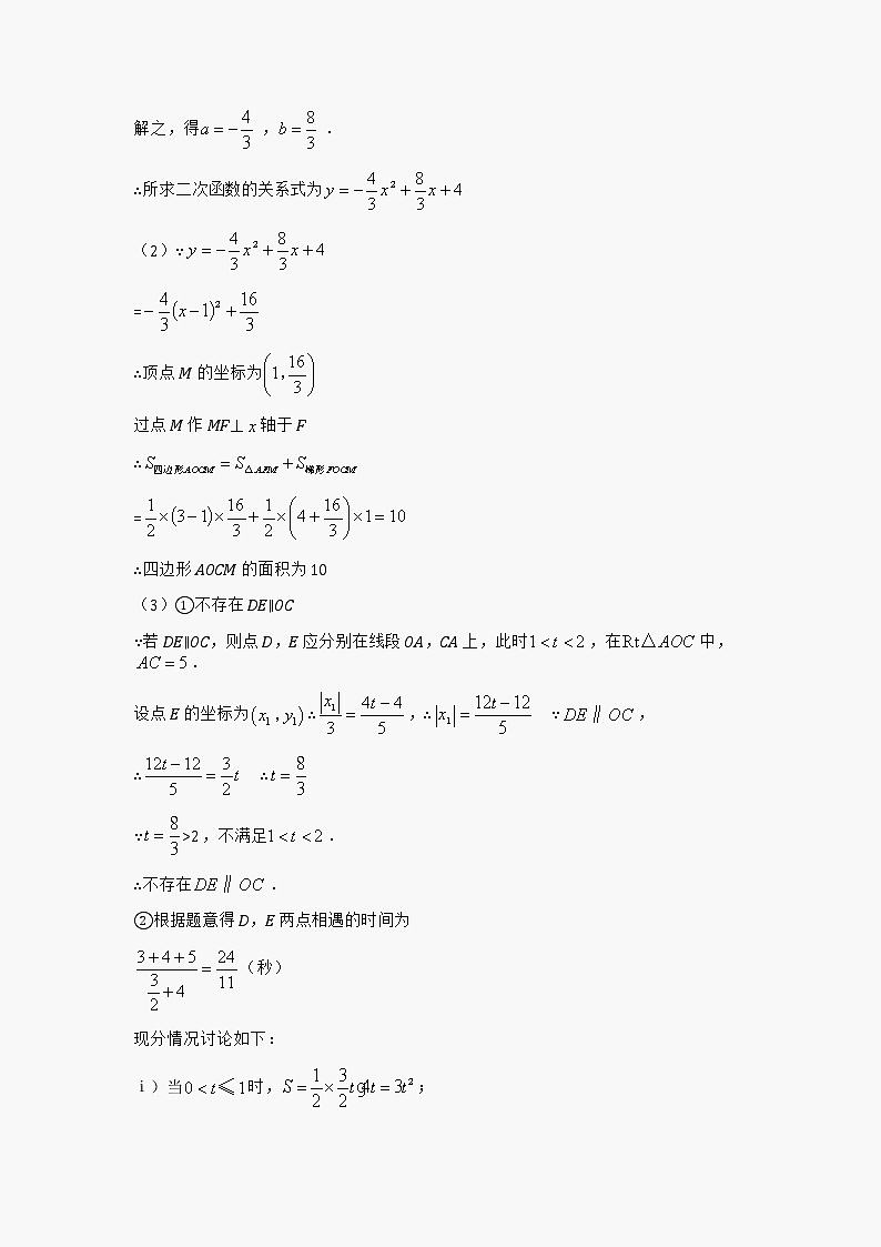
13.如图,直线与轴交于点,与轴交于点,已知二次函数的图象经过点、和点.
(1)求该二次函数的关系式;
(2)设该二次函数的图象的顶点为,求四边形的面积;
(3)有两动点、同时从点出发,其中点以每秒个单位长度的速度沿折线 按→→的路线运动,点以每秒个单位长度的速度沿折线按→→的路线运动,当、两点相遇时,它们都停止运动.设、同时从点出发秒时,的面积为S .
①请问、两点在运动过程中,是否存在∥,若存在,请求出此时的值;若不存在,请说明理由;
②请求出S关于的函数关系式,并写出自变量的取值范围;
③设是②中函数S的最大值,那么 = .
解:(1)令,则;
令则.∴.
∵二次函数的图象过点,
∴可设二次函数的关系式为
又∵该函数图象过点.
∴
解之,得,.
∴所求二次函数的关系式为
(2)∵
=
∴顶点M的坐标为
过点M作MF轴于F
∴
=
∴四边形AOCM的面积为10
(3)①不存在DE∥OC
∵若DE∥OC,则点D,E应分别在线段OA,CA上,此时,在中,.
设点E的坐标为∴,∴ ∵,
∴ ∴
∵>2,不满足.
∴不存在.
②根据题意得D,E两点相遇的时间为
(秒)
现分情况讨论如下:
ⅰ)当时,;
ⅱ)当时,设点E的坐标为
∴,∴
∴
ⅲ)当2 <<时,设点E的坐标为,类似ⅱ可得
设点D的坐标为
∴,
∴
∴
=
③
14.已知:如图,抛物线经过、、三点.
(1)求抛物线的函数关系式;
(2)若过点C的直线与抛物线相交于点E (4,m),请求出△CBE的面积S的值;
(3)在抛物线上求一点使得△ABP0为等腰三角形并写出点的坐标;
(4)除(3)中所求的点外,在抛物线上是否还存在其它的点P使得△ABP为等腰三角形?若存在,请求出一共有几个满足条件的点(要求简要说明理由,但不证明);若不存在这样的点,请说明理由.
解:(1)∵抛物线经过点、,
∴.
又∵抛物线经过点,
∴,.
∴抛物线的解析式为.
(2)∵E点在抛物线上,
∴m = 42–4×6+5 = -3.
∵直线y = kx+b过点C(0, 5)、E(4, –3),
∴ 解得k = -2,b = 5.
设直线y=-2x+5与x轴的交点为D,
当y=0时,-2x+5=0,解得x=.
∴D点的坐标为(,0).
∴S=S△BDC + S△BDE
=
=10.
(3)∵抛物线的顶点既在抛物线的对称轴上又在抛物线上,
∴点为所求满足条件的点.
(4)除点外,在抛物线上还存在其它的点P使得△ABP为等腰三角形.
理由如下:
∵,
∴分别以、为圆心半径长为4画圆,分别与抛物线交于点、、、、、、、,除去、两个点外,其余6个点为满足条件的点
15.如图,在直角坐标系中,点A的坐标为(-2,0),连接OA,将线段OA绕原点O顺时针旋转120°,得到线段OB.
(1)求点B的坐标;
(2)求经过A、O、B三点的抛物线的解析式;
(3)在(2)中抛物线的对称轴上是否存在点C,使△BOC的周长最小?若存在,求出点C的坐标;若不存在,请说明理由;
(4)如果点P是(2)中的抛物线上的动点,且在x轴的下方,那么△PAB是否有最大面积?若有,求出此时P点的坐标及△PAB的最大面积;若没有,请说明理由.
(注意:本题中的结果均保留根号)
解:(1)过点B作BD⊥x轴于点D,由已知可得:
OB=OA=2,∠BOD=60°
在Rt△OBD中,∠ODB=90°,∠OBD=30°
∴OD=1,DB=
∴点B的坐标是(1,)
(2)设所求抛物线的解析式为,由已知可得:
解得:
∴所求抛物线解析式为
(备注:a、b的值各得1分)
(3)存在
由 配方后得:
∴抛物线的对称轴为
(也可用顶点坐标公式求出)
∵点C在对称轴上,△BOC的周长=OB+BC+CO;
∵OB=2,要使△BOC的周长最小,必须BC+CO最小,
∵点O与点A关于直线对称,有CO=CA
△BOC的周长=OB+BC+CO=OB+BC+CA
∴当A、C、B三点共线,即点C为直线AB与抛物线对称轴的交点时,BC+CA最小,此时△BOC的周长最小。
设直线AB的解析式为,则有:
解得:
∴直线AB的解析式为
当时,
∴所求点C的坐标为(-1,)
(4)设P(),则 ①
过点P作PQ⊥y轴于点Q, PG⊥x轴于点G,过点A作AF⊥PQ轴于点F,过点B作BE⊥PQ轴于点E,则PQ=,PG=,由题意可得:
=
=
= ②
将①代入②,化简得:
=
∴当时,△PAB得面积有最大值,最大面积为。
此时
∴点P的坐标为

