还剩2页未读,
继续阅读
人教版七年级上册第一章 有理数综合与测试练习
展开
这是一份人教版七年级上册第一章 有理数综合与测试练习,共3页。
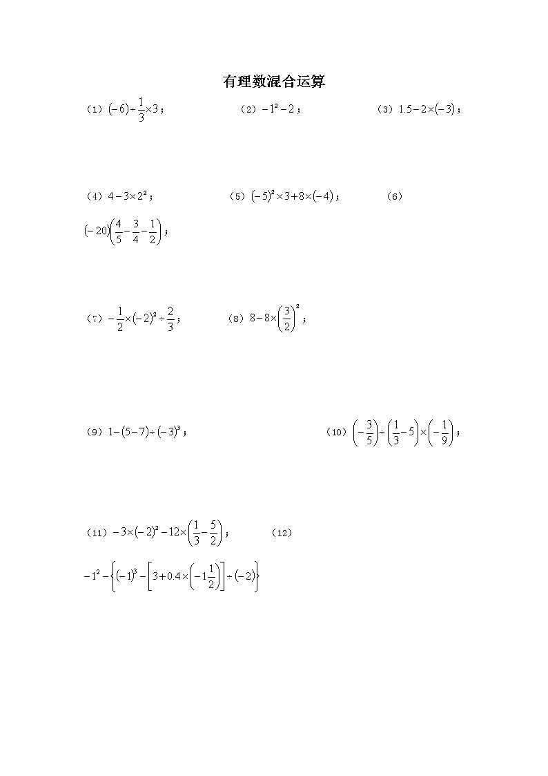
; (2); (3);
; (5); (6);
; (8);
; (10);
; (12)
(13)-23÷×(-)2÷()2 (14)-22÷(-1)3×(-5)
(15)5×(-6)-(-4)2÷(-8) (16)-24-(-3+7)2-(-1)2×(-2)
(17).1-×[3×(-)2-(-1)4]+ ÷(-)2.
(18).(-)2÷(-1)5×(-3)2-(1+2-3)×(-24).
-54 (2)-3 (3)7.5 (4)-8 (5)43 (6)9 (7)-3 (8)-10 (9)25/27 (10)-1/70 (11)14 (12)-1.2
(13)-8 (14)-20 (15)-28 (16)-30 (17).1 (18).-2
相关试卷
数学七年级上册第一章 有理数综合与测试课后练习题:
这是一份数学七年级上册第一章 有理数综合与测试课后练习题,共8页。试卷主要包含了选择题,填空题,解答题等内容,欢迎下载使用。
初中数学人教版七年级上册第一章 有理数综合与测试课后复习题:
这是一份初中数学人教版七年级上册第一章 有理数综合与测试课后复习题,共3页。试卷主要包含了有理数的加减,有理数的乘除,加减乘除等内容,欢迎下载使用。
七年级上册第一章 有理数综合与测试课时作业:
这是一份七年级上册第一章 有理数综合与测试课时作业,共3页。试卷主要包含了计算题等内容,欢迎下载使用。

