人教版高中数学必修4知识点总结
展开高中数学必修4知识点总结
第一章 三角函数
2、角的顶点与原点重合,角的始边与轴的非负半轴重合,终边落在第几象限,则称为第几象限角.
第一象限角的集合为
第二象限角的集合为
第三象限角的集合为
第四象限角的集合为
终边在轴上的角的集合为
终边在轴上的角的集合为
终边在坐标轴上的角的集合为
3、与角终边相同的角的集合为
4、长度等于半径长的弧所对的圆心角叫做弧度.
5、半径为的圆的圆心角所对弧的长为,则角的弧度数的绝对值是.
6、弧度制与角度制的换算公式:,,.
7、若扇形的圆心角为,半径为,弧长为,周长为,面积为,则,,.
8、设是一个任意大小的角,的终边上任意一点的坐标是,它与原点的距离是,则,,.
9、三角函数在各象限的符号:第一象限全为正,第二象限正弦为正,
第三象限正切为正,第四象限余弦为正.
10、三角函数线:,,.
11、角三角函数的基本关系:;.
12、函数的诱导公式:
,,.
,,.
,,.
,,.
口诀:函数名称不变,符号看象限.
,.,.
口诀:正弦与余弦互换,符号看象限.
13、①的图象上所有点向左(右)平移个单位长度,得到函数的图象;再将函数的图象上所有点的横坐标伸长(缩短)到原来的倍(纵坐标不变),得到函数的图象;再将函数的图象上所有点的纵坐标伸长(缩短)到原来的倍(横坐标不变),得到函数的图象.
②数的图象上所有点的横坐标伸长(缩短)到原来的倍(纵坐标不变),得到函数
的图象;再将函数的图象上所有点向左(右)平移个单位长度,得到函数的图象;再将函数的图象上所有点的纵坐标伸长(缩短)到原来的倍(横坐标不变),得到函数的图象.
14、函数的性质:
①振幅:;②周期:;③频率:;④相位:;⑤初相:.
函数,当时,取得最小值为 ;当时,取得最大值为,则,,.
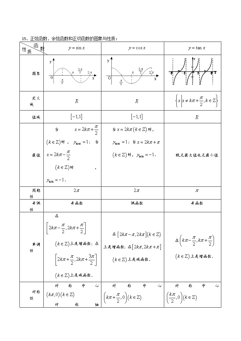
15、正弦函数、余弦函数和正切函数的图象与性质:
| |||
图象 | |||
定义域 | |||
值域 | |||
最值 | 当时,;当 时,. | 当时, ;当 时,. | 既无最大值也无最小值 |
周期性 | |||
奇偶性 | 奇函数 | 偶函数 | 奇函数 |
单调性 | 在 上是增函数;在 上是减函数. | 在上是增函数;在 上是减函数. | 在 上是增函数. |
对称性 | 对称中心 对称轴 | 对称中心 对称轴 | 对称中心 无对称轴 |
第二章 平面向量
16、向量:既有大小,又有方向的量. 数量:只有大小,没有方向的量.
有向线段的三要素:起点、方向、长度. 零向量:长度为的向量.
单位向量:长度等于个单位的向量.
平行向量(共线向量):方向相同或相反的非零向量.零向量与任一向量平行.
相等向量:长度相等且方向相同的向量.
17、向量加法运算:
⑴三角形法则的特点:首尾相连.
⑵平行四边形法则的特点:共起点.
⑶三角形不等式:.
⑷运算性质:①交换律:;
②结合律:;③.
⑸坐标运算:设,,则.
18、向量减法运算:
⑴三角形法则的特点:共起点,连终点,方向指向被减向量.
⑵坐标运算:设,,则.
设、两点的坐标分别为,,则.
19、向量数乘运算:
⑴实数与向量的积是一个向量的运算叫做向量的数乘,记作.
①;
②当时,的方向与的方向相同;当时,的方向与的方向相反;当时,.
⑵运算律:①;②;③.
⑶坐标运算:设,则.
20、向量共线定理:向量与共线,当且仅当有唯一一个实数,使.
设,,其中,则当且仅当时,向量、共线.
21、平面向量基本定理:如果、是同一平面内的两个不共线向量,那么对于这一平面内的任意向量,有且只有一对实数、,使.(不共线的向量、作为这一平面内所有向量的一组基底)
22、分点坐标公式:设点是线段上的一点,、的坐标分别是,,当时,点的坐标是.(当
23、平面向量的数量积:
⑴.零向量与任一向量的数量积为.
⑵性质:设和都是非零向量,则①.②当与同向时,;当与反向时,;或.③.
⑶运算律:①;②;③.
⑷坐标运算:设两个非零向量,,则.
若,则,或. 设,,则.
设、都是非零向量,,,是与的夹角,则.
第三章 三角恒等变换
24、两角和与差的正弦、余弦和正切公式:
⑴;⑵;
⑶;⑷;
⑸ ();
⑹ ().
25、二倍角的正弦、余弦和正切公式:
⑴.
⑵
升幂公式
降幂公式,.
⑶.
26、
(后两个不用判断符号,更加好用)
27、合一变形把两个三角函数的和或差化为“一个三角函数,一个角,一次方”的 形式。,其中.
28、三角变换是运算化简的过程中运用较多的变换,提高三角变换能力,要学会创设条件,灵活运用三角公式,掌握运算,化简的方法和技能.常用的数学思想方法技巧如下:
(1)角的变换:在三角化简,求值,证明中,表达式中往往出现较多的相异角,可根据角与角之间的和差,倍半,互补,互余的关系,运用角的变换,沟通条件与结论中角的差异,使问题获解,对角的变形如:
①是的二倍;是的二倍;是的二倍;是的二倍;
②;问: ; ;
③;④;
⑤;等等
(2)函数名称变换:三角变形中,常常需要变函数名称为同名函数。如在三角函数中正余弦是基础,通常化切为弦,变异名为同名。
(3)常数代换:在三角函数运算,求值,证明中,有时需要将常数转化为三角函数值,例如常数“1”的代换变形有:
(4)幂的变换:降幂是三角变换时常用方法,对次数较高的三角函数式,一般采用降幂处理的方法。常用降幂公式有: ; 。降幂并非绝对,有时需要升幂,如对无理式常用升幂化为有理式,常用升幂公式有: ; ;
(5)公式变形:三角公式是变换的依据,应熟练掌握三角公式的顺用,逆用及变形应用。
如:; ;
;;
;;
; ;
;
= ;
= ;(其中 ;)
; ;
(6)三角函数式的化简运算通常从:“角、名、形、幂”四方面入手;
基本规则是:见切化弦,异角化同角,复角化单角,异名化同名,高次化低次,无理化有理,特殊值与特殊角的三角函数互化。
如: ;
。

