2019届二轮复习求导法学案(全国通用)
展开求 导 法
一、内容概述
求导法之所以成为高中阶段必须掌握的基本办法和技能,是基于求导法在函数问题中应用广泛,许多函数不等式或相关的函数问题都需借助求导法,通过判断单调性,通过分析单调区间、最值、极值等函数性质加以解决。
评析:利用求导法判断函数单调性寻求最值,方法直接简洁。
评析:求函数值域是中学教学中的难点,一般可以通过观察图像或不等式性质来解,也可以通过函数单调性求最值,本题形式较为复杂,较难作出函数图像,可采用求导法判断函数的单调性来解。
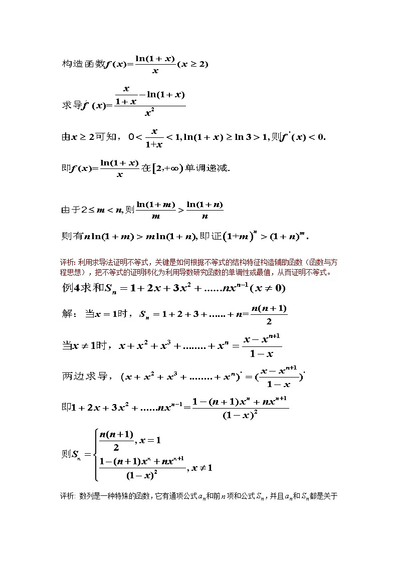
评析:利用求导法证明不等式,关键是如何根据不等式的结构特征构造辅助函数(函数与方程思想),把不等式的证明转化为利用导数研究函数的单调性或最值,从而证明不等式。
评析: 数列是一种特殊的函数,它有通项公式和前项和公式,并且和都是关于的函数,因此可以把看作是某个函数的导数,本题利用求导法解题有效的避开了错位相消的繁琐运算。
例5若命题“不等式”是真命题,则实数的取值范围是( )
评析:本题利用数形结合思想,运用求导法作出较为准确的函数图像,充分利用图像的直观体现,寻找不等式成立的临界条件,解答简洁明快。
练习题
1若函数在单调递增,则a的取值范围。
2.利用导数求和:
- 利用求导法证明下列不等式
(1)已知:,求证;
(2)已知:,求证:。
参考答案
- 解析:此题考察恒成立问题,对原函数求导可得,若原函数在R上单调递增,则恒成立,设,,分别带入和,解得.
2.解析:∵,
两边都是关于x的函数,求导得。
令x=1得
,
即证。
3.解析(1)令,由x>0,∴t>1,
原不等式等价于
令f(t)=t-1-lnt,
∵当时,有,∴函数f(t)在递增
∴f(t)>f(1) 即t-1<lnt
另令,则有
∴g(t)在上递增,∴g(t)>g(1)=0
∴
综上得
(2)由(1)令=1,2,……(n-1)并相加得
即得

